Influence of Composition of Shungite on Its Reaction with Unsymmetrical Dimethylhydrazine
- Authors: Ulyanov A.V.1, Polunin K.E.1, Polunina I.A.1, Buryak A.K.1
-
Affiliations:
- Frumkin Institute of Physical Chemistry and Electrochemistry, Russian Academy of Sciences
- Issue: Vol 97, No 12 (2023)
- Pages: 1763-1768
- Section: PHYSICAL CHEMISTRY OF DISPERSED SYSTEMS AND SURFACE PHENOMENA
- Submitted: 26.12.2023
- Published: 01.12.2023
- URL: https://bakhtiniada.ru/0044-4537/article/view/233070
- DOI: https://doi.org/10.31857/S0044453723120294
- EDN: https://elibrary.ru/RSJFCQ
- ID: 233070
Cite item
Full Text
Abstract
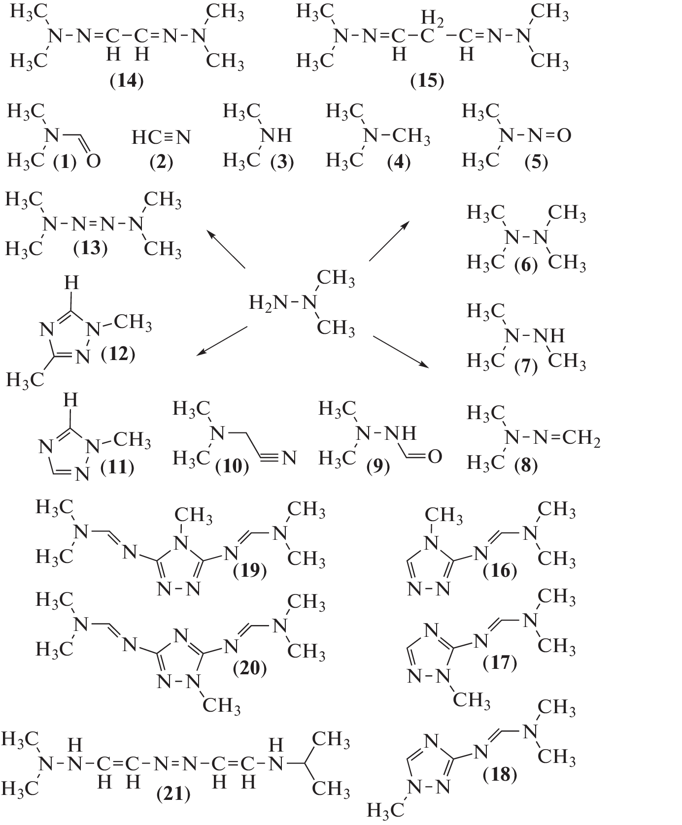
Chromatography and mass spectrometry have been used to study the effect of shungite composition on its reaction with 1,1-dimethylhydrazine and its oxidative transformation products. Compounds contained in aqueous solutions of 1,1-dimethylhydrazine before and after its contact with shungite, as well as on the surface of shungite with different ratios of organic and inorganic components, have been analyzed qualitatively and quantitatively depending on the contact time. It has been found that the composition of shungite affects the products of its reaction with 1,1-dimethylhydrazine.
Keywords
About the authors
A. V. Ulyanov
Frumkin Institute of Physical Chemistry and Electrochemistry, Russian Academy of Sciences
Email: akburyak@mail.ru
119071, Moscow, Russia
K. E. Polunin
Frumkin Institute of Physical Chemistry and Electrochemistry, Russian Academy of Sciences
Email: akburyak@mail.ru
119071, Moscow, Russia
I. A. Polunina
Frumkin Institute of Physical Chemistry and Electrochemistry, Russian Academy of Sciences
Email: akburyak@mail.ru
119071, Moscow, Russia
A. K. Buryak
Frumkin Institute of Physical Chemistry and Electrochemistry, Russian Academy of Sciences
Author for correspondence.
Email: akburyak@mail.ru
119071, Moscow, Russia
References
- Березкин В.И. Углерод. Замкнутые наночастицы, макроструктуры, материалы. СПб.: АтрЭрго, 2013.
- Рожкова Н.Н. Наноуглерод шунгитов. Петрозаводск: КарНЦ РАН, 2011.
- Калинин А.И., Королева Е.Б. Доочистка сточных вод с использованием природного минерала шунгита. Л.: Стройиздат, 1989.
- Буряк А.К., Сердюк Т.М. // Успехи химии. 2013. Т. 82. С. 369 [Buryak A.K., Serdyuk T.M. // Russ. Chem. Rev. 2013. V. 82. № 4. P. 369].
- Smolenkov A.D., Shpigun O.K. // Talanta. 2012. V. 102. P. 93.
- Смоленков А.Д., Попутникова Т.О., Смирнов Р.С. и др. // Теоретическая и прикладная экология. 2013. № 2. С. 63.
- Schmidt W.E. Hydrazine and its derivatives. 2nd Ed. New York: John Wiley & Sons Inc., 2001.
- Полунина И.А., Гончарова И.С., Высоцкий В.В. и др. // Материаловедение. 2016. № 9. С 36.
- Лебедев А.Т. Масс-спектрометрия в органической химии. М.: Бином, 2003.
- Терентьев П.Б., Станкявичус П.Б. Масс-спектры биологически активных азотистых оснований. Вильнюс: Мокслас, 1987.
- Справочник по токсикологии и гигиеническим нормативам (ПДК) потенциально опасных химических веществ / Под ред. В.С. Кушневой, Р.Б. Горшковой. М.: ИздАТ, 1999.
- Polunina I.A., Goncharova I.S., Polunin K.E, Buryak A.K. // Inorganic Materials: Applied Research. 2018. V. 9. № 4. P. 772.
Supplementary files






