Luminescence Properties of Mixed-Ligand Neodymium(III) Quinaldinates
- Autores: Kalinovskaya I.V.1
-
Afiliações:
- Institute of Chemistry, Far Eastern Branch, Russian Academy of Sciences, 690022, Vladivostok, Russia
- Edição: Volume 97, Nº 11 (2023)
- Páginas: 1620-1626
- Seção: STRUCTURE OF MATTER AND QUANTUM CHEMISTRY
- ##submission.dateSubmitted##: 26.12.2023
- ##submission.datePublished##: 01.11.2023
- URL: https://bakhtiniada.ru/0044-4537/article/view/233068
- DOI: https://doi.org/10.31857/S0044453723110146
- EDN: https://elibrary.ru/GUCWRL
- ID: 233068
Citar
Texto integral
Resumo
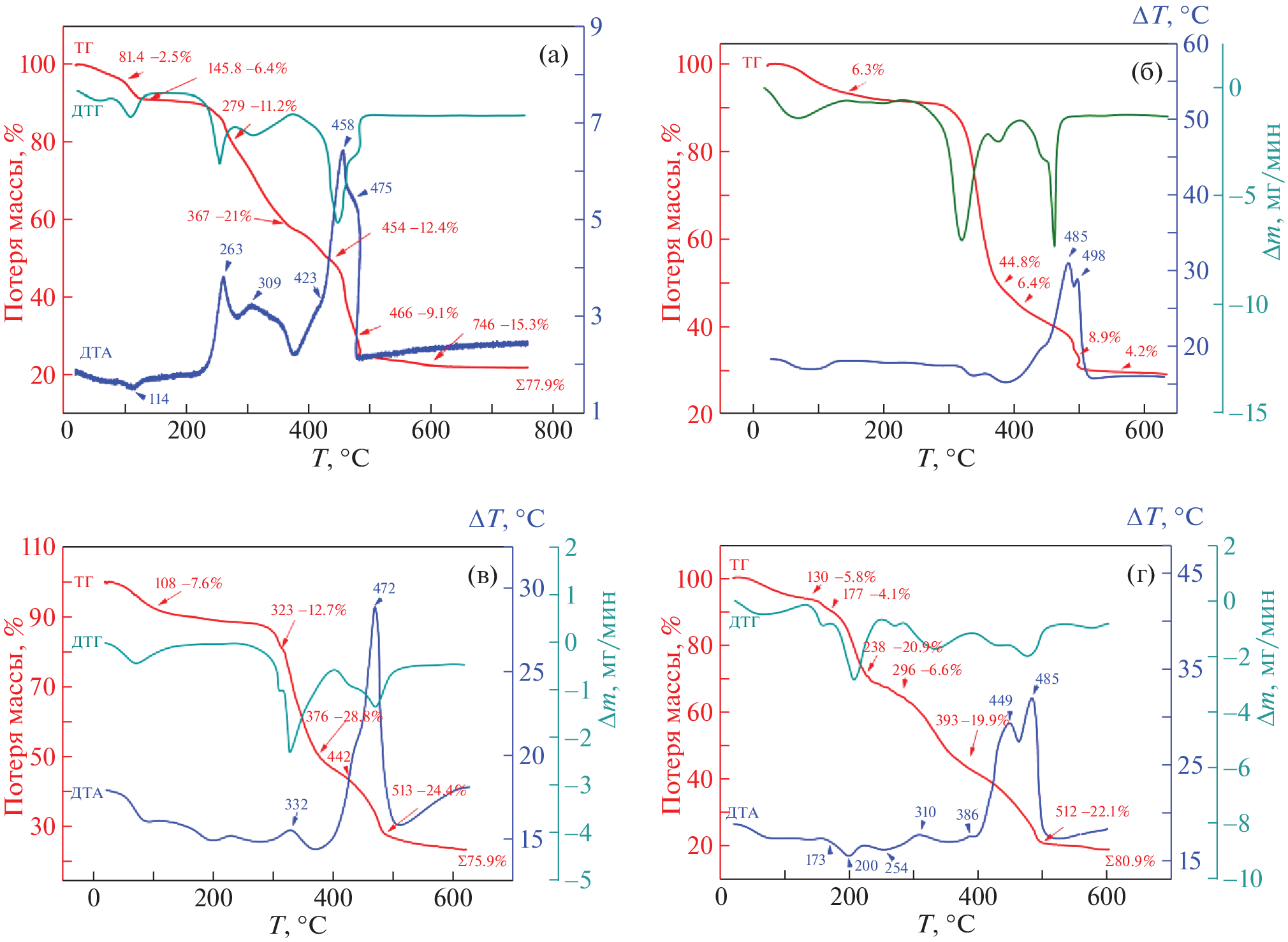
Complex compounds of neodymium(III) with a quinaldic acid anion and nitrogen- and phosphorus-containing neutral ligands have been synthesized. The mixed-ligand compounds were characterized by elemental and X-ray diffraction analysis and IR spectroscopy. The thermal behavior of the obtained compounds was studied by thermal analysis in air in the temperature range 25–700°C. During the thermolysis of the complexes, the neutral ligand molecule is eliminated in one stage with an endothermic effect; the compounds are thermally stable up to 250°C. It was established by IR spectroscopy that in mixed-ligand neodymium(III) quinaldinates, the acid anion is coordinated to the central neodymium(III) ion as a bridging bidentate ligand. The luminescence properties of neodymium(III) quinaldinates were studied.
Palavras-chave
Sobre autores
I. Kalinovskaya
Institute of Chemistry, Far Eastern Branch, Russian Academy of Sciences, 690022, Vladivostok, Russia
Autor responsável pela correspondência
Email: acjournal.nauka.nw@yandex.ru
Россия, 690022, Владивосток
Bibliografia
- Smola S., Rusakova N., Korovin Yu. // J. Coord. Chem. 2011. V. 64. № 5. P. 863.
- Werts M.H.V., Woudenberg R.H., Emmerink P.G. et al. // Angew. Chem. Int. Ed. 2000. V. 39. № 24. P. 4542.
- Петроченкова Н.В., Мирочник А.Г. // Оптика и спектр. 2020. Т. 128. № 1. С. 140.https://doi.org/10.21883/OS.2020.01.48851.246-19
- Binnemans K. // Chem. Rev. 2020. V. 109. № 9. P. 4283.https://doi.org/10.1021/cr8003983
- Каплин В.С., Копылов А.С., Зархина Т.С. и др. // Оптика и спектр. 2020. Т. 128. № 7. С. 869.https://doi.org/10. 21883/ OS.2020.07.
- Kuchmizhak A., Vitrik O., Kulchin Y. et al. // Nanoscale. 2016. V. 8. № 24. P. 12352. https://doi.org/10.1039/c6nr01317a
- Мартынов А.Г., Cафонова Е.А., Горбунова Ю. и др. // ЖНХ. 2010. Т. 55. С. 389.https://doi.org/10.1134/S0036023610030083
- Калиновская И.В., Николенко Ю.М. // Оптика и спектроскопия, 2018. Т. 125. № 3. С. 344. https://doi.org/10.1134/S0030400X18090126
- Коровин Ю.В., Шевчук С.В., Бачериков В.А. и др. // ЖНХ. 2000. Т. 45. № 9. С. 1513.
- Мешкова С.Б., Дога П.Г. // ЖАХ. 2020. Т. 75. № 3. С. 209–229.https://doi.org/10.31857/S0044450220030147
- Коровин Ю.В. // Укр. хим. журн. 2000. Т. 66. № 10. С. 101.
- Калиновская И.В., Задорожная А.Н., Николенко Ю.М. и др. // ЖНХ. 2006. Т. 51. № 3. С. 505.https://doi.org/10.1134/S0036023606030181
- Калиновская И.В., Задорожная А.Н. // Оптика и спектр. 2019. Т. 127. № 5. С. 765.https://doi.org/10.21883/OS.2019.11.48512
- Lam A.W.H., Wong W.T., Gao S. et al. // Eur. J. Inorg. Chem. 2003. № 1. P. 149.https://doi.org/10.1002/ejic.200390021
- Kataoka H., Kitano T., Takizawa T. et al. // J. Alloys Compd. 2014. V. 601. P. 293. https://doi.org/10.1016/j.jallcom.2014.01.165
- Zhang J., Wang R., Bai J., and Wang S. // J. Rare Earths. 2002. V. 20. № 5. P. 449.
- Utochnikova V., Kovalenko A., Burlov A. et al. // Dalton Trans 2015, 44:12660-12669. https://doi.org/10.1039/C5DT01161B
- Zhang J., Wang R., Liu H.-M. // J. Therm. Anal. Cal. 2001. V. 66. P. 431.https://doi.org/10.1023/A:1013186600293
- Starynowicz P. // Acta Cryst. 1990. V. 46. P. 2068.
- Bukvetskii B.V., Kalinovskaya I.V. // J. Fluoresc. 2017. V. 27. № 3. P. 773.https://doi.org/10.1007/s10895-016-2009-7
- Калиновская И.В., Карасев В.Е. // ЖНХ. 2003. Т. 48. № 8. С. 1307.
- Калиновская И.В., Карасев В.Е., Зайцева Н.Н. // Там же. 1989. Т. 34. № 3. С. 1515.
- Zolin V.F. // J. Alloys Compd. 2004. V. 380. № 1–2. P. 101.https://doi.org/10.1016/j.jallcom.2004.03.006
- Золин В.Ф., Коренева Л.Г. Редкоземельный зонд в химии и биологии. М.: Наука, 1980. 350 с.
Arquivos suplementares





