Parametric Evaluation of the Energy of Tetrel Bonds in Complexes of Tetrahedral Molecules with Ammonia and Halide Anions
- Authors: Bartashevich E.V.1, Mukhitdinova S.E.1, Klyuev I.V.1, Tsirelson V.G.1,2
-
Affiliations:
- South Ural State University (National Research University)
- Mendeleev University of Chemical Technology of Russia
- Issue: Vol 97, No 11 (2023)
- Pages: 1611-1619
- Section: STRUCTURE OF MATTER AND QUANTUM CHEMISTRY
- Submitted: 26.12.2023
- Published: 01.11.2023
- URL: https://bakhtiniada.ru/0044-4537/article/view/233066
- DOI: https://doi.org/10.31857/S0044453723110043
- EDN: https://elibrary.ru/KWPBDF
- ID: 233066
Cite item
Full Text
Abstract
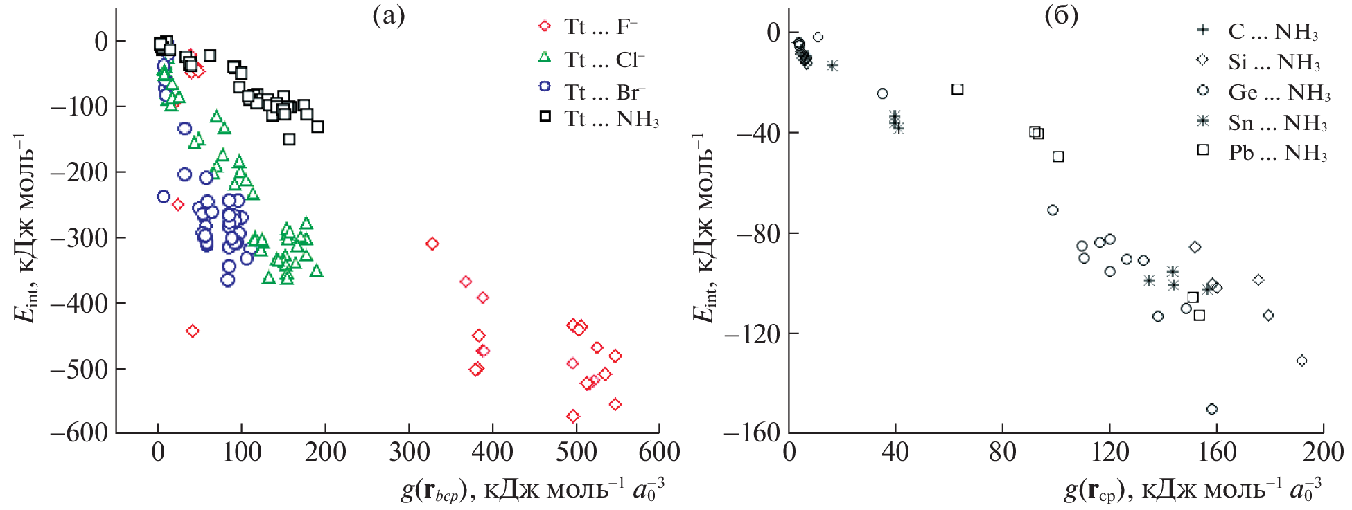
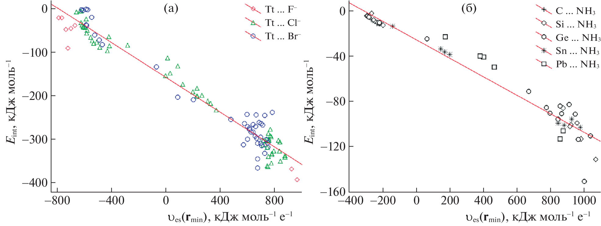
The electronic properties of weak and strong tetrel bonds (TtBs) formed by the elements of the carbon subgroup Tt = C, Si, Ge, Sn, Pb, which provide their subatomic electrophilic site for noncovalent interactions, have been studied. Generalized quantitative models for evaluating the energy of tetrel bonds were obtained for a large sample of molecular complexes formed by halide anions or ammonia molecule with tetrahedral molecules used as an example. The replacement of the nucleophilic fragment in the complexes leads to different trends for the dependences of the interaction energy on the electronic characteristic of the bond. The minimum of the electrostatic potential on the line of the tetrel bond proved to be the most universal factor suitable for quantitative comparison of both weak and relatively strong bonds within a single parametric model.
About the authors
E. V. Bartashevich
South Ural State University (National Research University)
Email: muhitdinova.s.e@gmail.com
454080, Chelyabinsk, Russia
S. E. Mukhitdinova
South Ural State University (National Research University)
Email: muhitdinova.s.e@gmail.com
454080, Chelyabinsk, Russia
I. V. Klyuev
South Ural State University (National Research University)
Email: muhitdinova.s.e@gmail.com
454080, Chelyabinsk, Russia
V. G. Tsirelson
South Ural State University (National Research University); Mendeleev University of Chemical Technology of Russia
Author for correspondence.
Email: muhitdinova.s.e@gmail.com
454080, Chelyabinsk, Russia; 125047, Moscow, Russia
References
- Politzer P., Murray J.S. // Theor. Chem. Accounts Theory, Comput. Model. (Theoretica Chim. Acta). 2002. V. 108. № 3. P. 134.
- Bartashevich E.V., Matveychuk Y.V., Mukhitdinova S.E. et al. // Theor. Chem. Acc. 2020. V. 139. № 2. P. 26.
- Legon A.C. // Phys. Chem. Chem. Phys. 2017. V. 19. № 23. P. 14884.
- Alkorta I., Elguero J., Frontera A. // Crystals. 2020. V. 10. № 3. P. 180.
- Grabowski S.J. // Phys. Chem. Chem. Phys. 2014. V. 16. № 5. P. 1824.
- Daolio A., Scilabra P., Terraneo G. et al. // Coord. Chem. Rev. 2020. V. 413. P. 213265.
- Scilabra P., Kumar V., Ursini M. et al. // J. Mol. Model. 2018. V. 24. № 1. P. 37.
- Scheiner S. // J. Phys. Chem. A. 2018. V. 122. № 9. P. 2550.
- Hou M., Liu Z., Li Q. // Int. J. Quantum Chem. 2020. V. 120. № 15. P. e26251.
- Scheiner S. // Phys. Chem. Chem. Phys. 2021. V. 23. № 10. P. 5702.
- Zierkiewicz W., Michalczyk M., Scheiner S. // Molecules. 2018. V. 23. № 6. P. 1416.
- Grabowski S. // Molecules. 2018. V. 23. № 5. P. 1183.
- Scheiner S. // Ibid. 2018. V. 23. № 5. P. 1147.
- Liu M., Li Q., Cheng J. et al. // J. Chem. Phys. 2016. V. 145. № 22. P. 224310.
- Frontera A., Bauzá A. // Chem. – A Eur. J. 2018. V. 24. № 62. P. 16582.
- Бейдер Р. Атомы в молекулах: Квантовая теория. М.: Мир, 2001. 533 с.
- Bader R.F.W. // J. Phys. Chem. A. 1998. V. 102. № 37. P. 7314.
- Tsirelson V.G. // The Quantum Theory of Atoms in Molecules. Weinheim, Germany: Wiley-VCH Verlag GmbH & Co. KGaA. 2007. P. 257.
- Pendás A.M., Francisco E., Blanco A.M. et al. // Chem. – A Eur. J. 2007. V. 13. № 33. P. 9362.
- Espinosa E., Molins E., Lecomte C. // Chem. Phys. Lett. 1998. V. 285. № 3–4. P. 170.
- Mata I., Alkorta I., Espinosa E. et al. // Ibid. 2011. V. 507. № 1–3. P. 185.
- Espinosa E., Alkorta I., Elguero J. et al. // J. Chem. Phys. 2002. V. 117. № 12. P. 5529.
- Vener M.V., Egorova A.N., Churakov A.V. et al. // J. Comput. Chem. 2012. V. 33. № 29. P. 2303.
- Bushmarinov I.S., Lyssenko K.A., Antipin M.Y. // Russ. Chem. Rev. 2009. V. 78. № 4. P. 283.
- Ananyev I.V., Karnoukhova V.A., Dmitrienko A.O. et al. // J. Phys. Chem. A. 2017. V. 121. № 23. P. 4517.
- Bartashevich E.V., Tsirelson V.G. // Russ. Chem. Rev. 2014. V. 83. № 12. P. 1181.
- Kuznetsov M.L. // Molecules. 2019. V. 24. № 15. P. 2733.
- Kuznetsov M.L. // Int. J. Quantum Chem. 2019. V. 119. № 8. P. e25869.
- Bartashevich E.V., Tsirelson V.G. // Phys. Chem. Chem. Phys. 2013. V. 15. № 7. P. 2530.
- Alkorta I., Legon A. // Molecules. 2017. V. 22. № 10. P. 1786.
- Granovsky A.A. Firefly version 8, http://classic.chem.msu.su/gran/firefly/index.html.
- Adamo C., Barone V. // J. Chem. Phys. 1999. V. 110. № 13. P. 6158.
- Jorge F.E., Neto A.C., Camiletti G.G. et al. // Ibid. 2009. V. 130. № 6. P. 064108.
- Bartashevich E.V., Mukhitdinova S.E., Klyuev I.V. et al. // Molecules. 2022. V. 27. № 17. P. 5411.
- Lu T., Chen F. // J. Comput. Chem. 2012. V. 33. № 5. P. 580.
- Colombant D., Manheimer W., Ott E. // Phys. Rev. Lett. 1984. V. 53. № 5. P. 446.
- Statistica: 13. TIBCO Software Inc, http://statsoft.ru/#tab-STATISTICA-link
- Vener M.V., Shishkina A.V., Rykounov A.A. et al. // J. Phys. Chem. A 2013. V. 117. № 35. P. 8459.
- Mata I., Alkorta I., Espinosa E. et al. // Chem. Phys. Lett. V. 508. № 4–6. P. 332.
Supplementary files






