Size and Content Effects of Copper Nanoparticles in the Ion-Exchange Matrix for Intense Steady-State Electroreduction of Oxygen Dissolved in Water
- Autores: Kravchenko T.A.1, Fertikova T.E.1, Golovin I.A.1, Martynov A.E.1
-
Afiliações:
- Voronezh State Medical University
- Edição: Volume 97, Nº 12 (2023)
- Páginas: 1729-1738
- Seção: PHYSICAL CHEMISTRY OF NANOCLUSTERS, SUPRAMOLECULAR STRUCTURES, AND NANOMATERIALS
- ##submission.dateSubmitted##: 26.12.2023
- ##submission.datePublished##: 01.12.2023
- URL: https://bakhtiniada.ru/0044-4537/article/view/233061
- DOI: https://doi.org/10.31857/S0044453723120154
- EDN: https://elibrary.ru/BRAWUF
- ID: 233061
Citar
Texto integral
Resumo
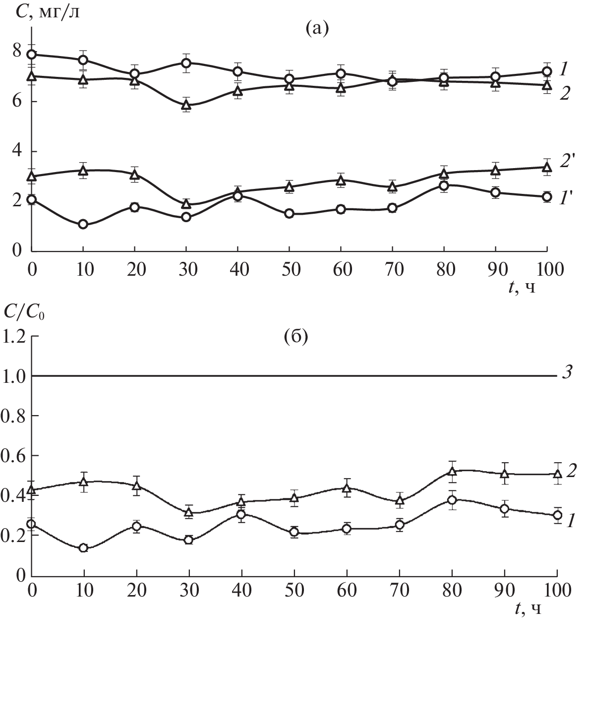
The behavior of copper ion-exchange composites with metal particles of various sizes and contents in the electroreduction of oxygen dissolved in water have been studied. The primary size effect is significant for samples with low metal capacity: the smaller the metal particle size, the higher the process rate. At the same time, for samples with high metal capacity, the process occurs at approximately the same rate on copper particles obtained using different reducing agents due to the comparable size. A secondary size effect is observed due to the collective interaction of metal particles. The size effect was taken into account along with the effect of the content of metal particles using the proposed nanosized complex, which represents the ratio of capacity and size. At the level of electronic conductivity percolation, the nanosized complex reaches the limiting value corresponding to the highest degree of development of the reaction surface, which makes it possible to increase the current to the maximum current capacity. The reduction of oxygen occurs along several routes: electroreduction on copper particles, mainly on the surface of nanocomposite grains; and autocatalytic chemical reaction with electroregenerated metal nanoparticles in the nanocomposite grains. The electroreduction of oxygen generally reaches an intense steady-state mode.
Palavras-chave
Sobre autores
T. Kravchenko
Voronezh State Medical University
Email: krav280937@yandex.ru
394036, Voronezh, Russia
T. Fertikova
Voronezh State Medical University
Email: krav280937@yandex.ru
394036, Voronezh, Russia
I. Golovin
Voronezh State Medical University
Email: krav280937@yandex.ru
394036, Voronezh, Russia
A. Martynov
Voronezh State Medical University
Autor responsável pela correspondência
Email: krav280937@yandex.ru
394036, Voronezh, Russia
Bibliografia
- Сергеев Г.В. Нанохимия: учебное пособие М.: КДУ, 2007. 333 с.
- Крылов О.В. Гетерогенный катализ: учебное пособие для вузов М.: ИКЦ “Академкнига”, 2004. 679 с.
- Ролдугин В.И. Физикохимия поверхности М.: Интеллект, 2008. 568 с.
- Суздалев И.П. Нанотехнология: физико-химия нанокластеров, наноструктур, наноматериалов М.: КомКнига, 2006. 532 с.
- Пул Ч., Оуэнс Ф. Нанотехнологии М.: Техносфера, 2006. 336 с.
- Мелихов И.В. Физико-химическая эволюция твердого тела М.: БИНОМ, Лаборатория знаний, 2009. 309 с.
- Помогайло А.Д., Розенберг А.С., Уфлянд И.Е. Наночастицы металлов в полимерах М.: Химия, 2000. 672 с.
- Сергеева О.В., Рахманов С.К. Введение в нанохимию: пособие для студ. хим. фак. Минск: БГУ, 2009. 175 с.
- Чоркендорф И., Наймантсведрайт Х. Современный катализ и химическая кинетика: научное издание. Долгопрудный: Издательский Дом “Интеллект”, 2010. 504 с.
- Трипачев О.В., Тарасевич М.Р. // Журн. физ. химии. 2013. Т. 87. С. 835 [Tripachev O.V. and Tarasevich M.R. // Russ. J. Phys. Chem. A, 2013. V. 87. P. 820].
- Lu Y. and Chen W. // J. Power Sources, 107 (2012). P. 107.
- Cuenya B.R., Behafarid F. // Surface Science Reports, 70 (2015). P. 135.
- Sarkar S., Guibal E., Quignard F. et al. // J. Nanopart Res (2012) 14: P. 715.
- Erikson H., Lusi M., Sarapuu A. et al. // Electrochimica Acta. V. 188 (2016). P. 301.
- Selvaraju T., Ramaraj R. // PRAMANA – Indian Academy of Sciences V. 65. № 4. J. of October 2005 Physics. P. 713.
- Ting Ch.-Ch., Liu Ch.-Hs., Tai Ch.-Y. et al. // J. of Power Sources. 2015. № 280. P. 166.
- Reske R., Mistry H., Behafarid F. et al. // J. Am. Chem. Soc. 2014. № 136. P. 6978.
- Nesselberger M., Roefzaad M., Hamou R F. et al. // Nature Materials. 2013. № 12. P. 919.
- Proch S., Wirth M., White H.S. et al. // J. Am. Chem. Soc. 2013. № 135. P. 3073.
- Чернавский П.А., Панкина Г.В., Иванцов М.И. и др. // Журн. физич. химии. 2013. Т. 87. № 8. С. 1356–1360 [Chernavsky P.A., Pankina G.V., Ivantsov M.I. et al. // Russ. J. Phys. Chem. A, 2013. V. 87. № 8. P. 1356–1360].
- Leontyev I.N., Belenov S.V., Guterman V.E. et al. // J. Phys. Chem. C. 2011. № 115. P. 5429–5434.
- Ярославцев А.Б. // Российские нанотехнологии. 2012. Т. 7. № 9–10. С. 8–18 [Yaroslavtsev A.B. // Nanotechnologies in Russia, 2012. V. 7. Nos. 9–10. P. 437.]
- Кравченко Т.А., Полянский Л.Н., Калиничев А.И., Конев Д.В. Нанокомпозиты металл-ионообменник. М.: Наука, 2009. 391 с.
- Кравченко Т.А., Золотухина Е.В., Чайка М.Ю., Ярославцев А.Б. Электрохимия металл-ионообменных нанокомпозитов. М.: Наука; 2013. 365 с.
- КравченкоТ.А., Вахнин Д.Д., Придорогина В.Е. и др. // Электрохимия. 2019. Т. 55. № 12. С. 1524. [Kravchenko T.A., Vakhnin D.D., Pridorogina V.E. et al. // Russ. J. of Electrochemistry, 2019. V. 55. № 12. P. 1251].
- Вахнин Д.Д., Полянский Л.Н., Кравченко Т.А. и др. // Журн. физ. химии. 2019. Т. 93. № 5. С. 749 [Vakhnin D.D., Polyanskii L.N., Kravchenko T.A. et al. // Russ. J. Phys. Chem. A, 2019. V. 93. № 5. P. 793].
- Фертикова Т.Е., Фертиков С.В., Исаева Е.М. и др. // Конденсированные среды и межфазные границы. 2021. Т. 23. № 43. С. 614 [Fertikova T.E., Fertikov S.V., Isaeva E.M., et al. // Condensed Matter and Interphases (in Russian), 2021. V. 23. № 4. P. 614].
- Вахнин Д.Д. Полянский Л.Н., Козадеров О.А. и др. // Российские нанотехнологии, 2022. Т. 17. № 6. С. 799 [Vakhnin D.D., Fertikova T.E., Polyanskii L.N. et al. // Nanobiotechnology Reports, 2022. V. 17. № 6. Р. 811].
- . СанПиН 2.1.3684-21 “Санитарно-эпидемиологические требования к содержанию территорий городских и сельских поселений, к водным объектам, питьевой воде и питьевому водоснабжению, атмосферному воздуху, почвам, жилым помещениям, эксплуатации производственных, общественных помещений, организации и проведению санитарно-противоэпидемических (профилактических) мероприятий”. 66 с.
- СанПиН 1.2.3685-21 “Гигиенические нормативы и требования к обеспечению безопасности и (или) безвредности для человека факторов среды обитания”. 1143 с.
- Кравченко Т.А., Шевцова Е.А., Крысанов В.А. // Сорбционные и хроматографические процессы. 2021. Т. 21. № 5. С. 630 [Kravchenko T.A., Shevtsova E.A., Krysanov V.A. // Sorption and Сhromatographic Рrocesses, 2021. V. 21. № 5. P. 630].
- Кравченко Т.А., Полянский Л.Н., Крысанов В.А. и др. // 16-е Совещание с международным участием “Фундаментальные проблемы ионики твердого тела”. Московская обл., г. Черноголовка, 27 июня–03 июля 2022 г. С. 171–173. web-site: http://fpssi16.altes.su/
- Миркин Л.И. Рентгеноструктурный анализ. Справочное руководство: Получение и измерение рентгенограмм. М.: Наука, 1976. 326 с.
- Muraviev D.N., Domenech B., Bastos-Arrieta J. et al. // Ion Exchange Technologies. 2012. P. 35–72.
Arquivos suplementares








