Structure and Kinetic Properties of a Molten FLiBe Mixture with Tritium
- Авторлар: Galashev A.E.1,2, Anisimov A.F.1, Vorob’ev A.S.1
-
Мекемелер:
- Institute of High-Temperature Electrochemistry, Russian Academy of Sciences, Ural Branch
- Ural Federal University
- Шығарылым: Том 97, № 12 (2023)
- Беттер: 1690-1698
- Бөлім: CHEMICAL KINETICS AND CATALYSIS
- ##submission.dateSubmitted##: 26.12.2023
- ##submission.datePublished##: 01.12.2023
- URL: https://bakhtiniada.ru/0044-4537/article/view/233053
- DOI: https://doi.org/10.31857/S0044453723120099
- EDN: https://elibrary.ru/EXVLAT
- ID: 233053
Дәйексөз келтіру
Толық мәтін
Аннотация
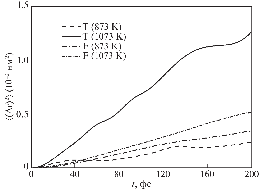
A study is performed of the self-diffusion of tritium and fluorine atoms, and the change in the structure of molten FLiBe upon raising the temperature of the system from 873 to 1073 K. The interaction between neutrons and both lithium and beryllium in molten-salt reactors (MSR) using FLiBe as a fuel salt results in the formation of large amounts of tritium. Tritium, which easily penetrates metallic structural materials at high temperatures, is a radionuclide hazard. Predictive models for the behavior of tritium in a molten fluoride salt must therefore be developed to solve the problem of MSR safety. The emergence of tritium in the system increases the average energy of interatomic bonds upon raising the temperature and concentration of tritium in the system. A rise in temperature is also accompanied by fluorine atoms creating a closer short-range order in the environment of tritium atoms. This is expressed in the formation of a high first peak of radial distribution function gT-F(r), an increase in the number of probable geometric neighbors, which is shown by Voronoi polyhedra, and fluorine atoms giving priority to fourth-order rotational symmetry in the environment of tritium atoms.
Негізгі сөздер
Авторлар туралы
A. Galashev
Institute of High-Temperature Electrochemistry, Russian Academy of Sciences, Ural Branch; Ural Federal University
Email: galashev@ihte.uran.ru
620137, Yekaterinburg, Russia; 620075, Yekaterinburg, Russia
A. Anisimov
Institute of High-Temperature Electrochemistry, Russian Academy of Sciences, Ural Branch
Email: galashev@ihte.uran.ru
620137, Yekaterinburg, Russia
A. Vorob’ev
Institute of High-Temperature Electrochemistry, Russian Academy of Sciences, Ural Branch
Хат алмасуға жауапты Автор.
Email: galashev@ihte.uran.ru
620137, Yekaterinburg, Russia
Әдебиет тізімі
- Yu S.H., Liu Y.F., Yang P. et al. // NUCL. SCI. TECH. 2021. V. 32. № 9. https://doi.org/10.1007/s41365-020-00844-0
- Nasser S.A., Shayan M.E., Ghasemzadeh F. et al. Nuclear Power Plants – The Processes from the Cradle to the Grave, 2021, 166 c. https://doi.org/10.5772/intechopen.90939
- Shishido H., Yusa N., Hashizume H. et al. // Fussion Sci. Technol. 2017. V. 68. P. 669–673. https://doi.org/10.13182/FST14-975
- Redkin A., Khudorozhkova A., Il’ina E. et al. // J. Mol. Liq. 2021. V. 341. P. 117215. https://doi.org/10.1016/j.molliq.2021.117215
- Tkacheva O.Yu., Rudenko A.V., Kataev A.A. et al. // RUSS J NON-FERR MET+. 2022. V. 63. P. 272–283. https://doi.org/10.3103/S1067821222030117
- Dolan K., Zheng G., Sun K. et al. // Prog. Nucl. Energy. 2021. V. 131. P. 103576. https://doi.org/10.1016/j.pnucene.2020.103576
- Wang H., Yue B., Yan L. et al. // J. Mol. Liquids 2022. V. 345. № 117027. https://doi.org/10.1016/j.molliq.2021.117027
- Stempien J.D., Ballinger R.G., Forsberg C.W. // Nucl. Eng. Design 2016. V. 310. P. 258–272. https://doi.org/10.1016/j.nucengdes.2016.10.051
- Qin H., Wang C., Zhang D. et al. // Prog. Nucl. Energy 2019. V. 117. № 103064. https://doi.org/10.1016/j.pnucene.2019.103064
- Cantor S., Ward W.T., Moynihan C.T. // J. Chem. Phys. 1969. V. 50. P. 2874.
- Soler J.M., Artacho E., Gale J.D. et al. // J. Phys. Condens. Matter. 2002. V. 14. P. 2745. https://doi.org/10.1088/0953-8984/14/11/302
- Perdew J.P., Burke K., Ernzerhof M. // Phys. Rev. Lett. 1996. V. 77. P. 3865.
- Nose S. // J. Chem. Phys. 1984. V. 81. P. 511.
- Karki B.B., Bhattari D., Stixrude L. // Phys. Rev. 2006. V. 73. № 174208.
- Галашев А.Е. // ЖФХ 2022. Т. 96. № 12. С. 1815. [Galashev A.E. Rus. J. Phys. Chem. A, 2022. V. 96. P. 2748.]
- Galashev A.Y., Zaikov Yu.P. // J. Appl. Electrochem. 2019. V. 49. P. 1027–1034.
- Philippi F., Welton T. // Phys. Chem. Chem. Phys. 2021. V. 23. P. 6993–7021. https://doi.org/10.1039/D1CP00216C
- Galashev A.Y. // Appl. Sci. 2023. V. 13. P. 1085. https://doi.org/10.3390/app13021085
- Calderoni P., Sharpe P., Hara M. et al. // Fusion Eng. Design 2008. V. 83. P. 1331–1334. https://doi.org/10.1016/j.fusengdes.2008.05.016
- Lam S.T., Li Q.-J., Mailoa J. et al. // J. Mater. Chem. A. 2021. V. 9. P. 1784–1794. https://doi.org/10.1039/D0TA10576G
- Pekar M. // ChemPhysChem. 2015. V. 16. P. 884–885. https://doi.org/10.1002/cphc.201402778
- Galashev A.Y. // Nucl. Eng. Technol. 2023. https://doi.org/10.1016/j.net.2022.12.029
Қосымша файлдар












