Electrical Conductivity and Thermodynamics of Ion Association of Ammonium Ionic Liquids in Acetone
- Autores: Zhuravlev O.E.1, Kaftanov A.D.1, Yulmasov G.S.1
-
Afiliações:
- Tver State University
- Edição: Volume 97, Nº 12 (2023)
- Páginas: 1683-1689
- Seção: CHEMICAL THERMODYNAMICS AND THERMOCHEMISTRY
- ##submission.dateSubmitted##: 26.12.2023
- ##submission.datePublished##: 01.12.2023
- URL: https://bakhtiniada.ru/0044-4537/article/view/233049
- DOI: https://doi.org/10.31857/S0044453723120324
- EDN: https://elibrary.ru/BRTYNE
- ID: 233049
Citar
Texto integral
Resumo
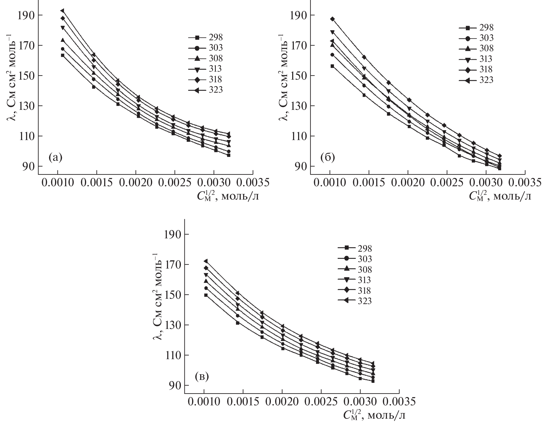
The electrical conductivity of a number of tetraalkylammonium ionic liquids with tetrafluoroborate anion has been studied in acetone in the temperature range 298–313 K. Based on the obtained conductometric data for the compounds under study, the Lee–Wheaton method has been used to calculate the ion association constants (Ka), limiting molar electrical conductivities (λ0), and Gibbs association energy (ΔG0) in solutions. From the temperature dependence of equivalent electrical conductivity, the values of association enthalpy (ΔH0) and entropy (ΔS0) have been calculated. For all studied compounds, the Walden–Pisarzhevsky product has been calculated. Conclusions are drawn about the influence of the structure of the studied ionic liquids on the thermodynamic parameters of association in acetone solutions.
Palavras-chave
Sobre autores
O. Zhuravlev
Tver State University
Email: pifchem@mail.ru
Tver, Russia
A. Kaftanov
Tver State University
Email: pifchem@mail.ru
Tver, Russia
G. Yulmasov
Tver State University
Autor responsável pela correspondência
Email: pifchem@mail.ru
Tver, Russia
Bibliografia
- Welton T. // Chem. Rev. 1999. V. 99. P. 2071. https://doi.org/10.1021/cr980032t
- Ohno H. Electrochemical Aspects of Ionic Liquids. New York: John Wiley and Sons, 2005. 408 p.
- Hapiot P., Lagrost C. // Chem. Rev. 2008. V. 108. P. 2238. https://doi.org/10.1021/cr0680686
- Lagrost C., Hapiot P., Vaultier M. // Green Chem. 2005. V. 7. P. 468. https://doi.org/10.1039/B500839E
- Galinski M., Lewandowski A., Stepniak I. // Electrochim. Acta. 2006. V. 51. P. 5567. https://doi.org/10.1016/j.electacta.2006.03.016
- Hagiwara R., Hirashige T., Tsuda T., Ito Y. // J. Electrochem. Soc. 2002. V. 149. P. 1. https://doi.org/10.1149/1.1421606
- Tian W., Gao Q., Tan Y., Li Z. // Carbon. 2017. V. 119. P. 287. https://doi.org/10.1016/j.carbon.2017.04.050
- Dong X.-L., Wang S.-Q., He B., Li W.-C. // Microporous Mesoporous Mater. 2017. V. 259. P. 229. https://doi.org/10.1016/j.micromeso.2017.06.011
- Padilha J.C., Basso J., Trindade L.G. et al.// J. Power Sources. 2010. V. 195. P. 6483. https://doi.org/10.1016/j.jpowsour.2010.04.035
- Borra E.F., Seddiki O., Angel R. et al.// Nature. 2007. V. 447. P. 979. https://doi.org/10.1038/nature05909
- Ventura S.P.M., Silva F.A., Quental M.V. et al.// Chem. Rev. 2017. V. 117. P. 6984. https://doi.org/10.1021/acs.chemrev.6b00550
- Borun A., Bald A. // Ionics. 2016. V. 22. P. 859. https://doi.org/10.1007/s11581-015-1613-x
- Papovic S., Gadz S., Bester-rogac M., Vranes M. // J. Chem. Thermodyn. 2016. V. 102. P. 367. https://doi.org/10.1016/j.jct.2016.07.039
- Lam P.H., Tran A.T., Walczyk D.J. et al. // J. Mol. Liq. 2017. V. 246. P. 215. https://doi.org/10.1016/j.molliq.2017.09.070
- Timperman L., Galiano H., Lemordant D., Anouti M. // Electrochem. Commun. 2011. V. 13. P. 1112. https://doi.org/10.1016/j.elecom.2011.07.010
- Kalugin O.N., Voroshylova I.V., Riabchunova A.V. et al. // Electrochim. Acta. 2013. V. 105. P. 188. https://doi.org/10.1016/j.electacta.2013.04.140
- Журавлев О.Е., Никольский В.М., Ворончихина Л.И. // ЖПХ. 2013. Т. 86. № 6. С. 881; Zhuravlev O.E., Nikol’skii V.M., Voronchikhina L.I. // Russ. J. Appl. Chem. 2013. V. 86. P. 824. https://doi.org/10.1134/S1070427213060062
- Safonova L.P., Kolker A.M. // Russ. Chem. Rev. 1992. V. 61. № 9. P. 959. https://doi.org/10.1070/RC1992v061n09ABEH001009
- Lee W.H., Wheaton R.J. // J. Chem. Soc. Faraday Trans. 1978. Part 2. V. 74. № 4. P. 743. https://www.doi.org/10.1039/F29787400743
- Lee W.H., Wheaton R.J. // Ibid.1978. Part 2. V. 74. № 8. P. 1456. https://www.doi.org/10.1039/F29787401456
- Lee W.H., Wheaton R.J. // Ibid.1979. Part 2. V. 75. № 8. P. 1128. https://www.doi.org/10.1039/f29797501128
- Pethybridge A.D., Taba S.S. // Ibid.1980. Part 1. V. 76. № 9. P. 368. https://www.doi.org/10.1039/F19807600368
- Короткова Е.Н. Электропроводность и термодинамические характеристики ассоциации двух ионных жидкостей в ацетонитриле и диметилсульфоксиде и закономерности нагрева растворов микроволновым излучением: Дис. … канд. хим. наук. М.: Российский химико-технологический университет имени Д.И. Менделеева, 2016. 164 с.
- Журавлев О.Е. // Журн. физ. химии. 2021. Т. 95. № 2. С. 226; Zhuravlev O.E. // Russ. J. Phys. Chem. A. 2021. V. 95. № 2. P. 298. https://www.doi.org/10.1134/S0036024421020308
- Журавлев О.Е. // Там же. 2021. Т. 95. № 12. С. 1922; Zhuravlev O.E. // Ibid. 2021. V. 95. № 12. P. 2503. https://www.doi.org/10.1134/S0036024421120244
- Чумак В.Л., Максимюк М.Р., Нешта Т.В. и др. // Восточно-Европейский журнал передовых технологий. 2013. Т. 62. № 2/5. С. 59.
- Краткий справочник физико-химических величин / Под ред. К.П. Мищенко, А.А. Равделя. Л.: Химия, 1974. 200 с.
Arquivos suplementares









