Thermal Stability of the Al–2.3%V Powder Compared with That of Al Used on 3D Printers Depending on the Heating Rate
- Autores: Shevchenko V.G.1, Eselevich D.A.1, Popov N.A.1, Baklanov M.N.1, Vinokurov Z.S.2, Kim G.A.3
-
Afiliações:
- Institute of Solid State Chemistry, Ural Branch, Russian Academy of Sciences
- SKIF Multiaccess Center, Institute of Catalysis, Siberian Branch, Russian Academy of Sciences
- Postovskii Institute of Organic Synthesis, Ural Branch, Russian Academy of Sciences
- Edição: Volume 97, Nº 10 (2023)
- Páginas: 1528-1534
- Seção: ФИЗИЧЕСКАЯ ХИМИЯ ПРОЦЕССОВ ГОРЕНИЯ И ВЗРЫВА
- ##submission.dateSubmitted##: 18.10.2023
- ##submission.datePublished##: 01.10.2023
- URL: https://bakhtiniada.ru/0044-4537/article/view/140338
- DOI: https://doi.org/10.31857/S0044453723100199
- EDN: https://elibrary.ru/GRKKCT
- ID: 140338
Citar
Texto integral
Resumo
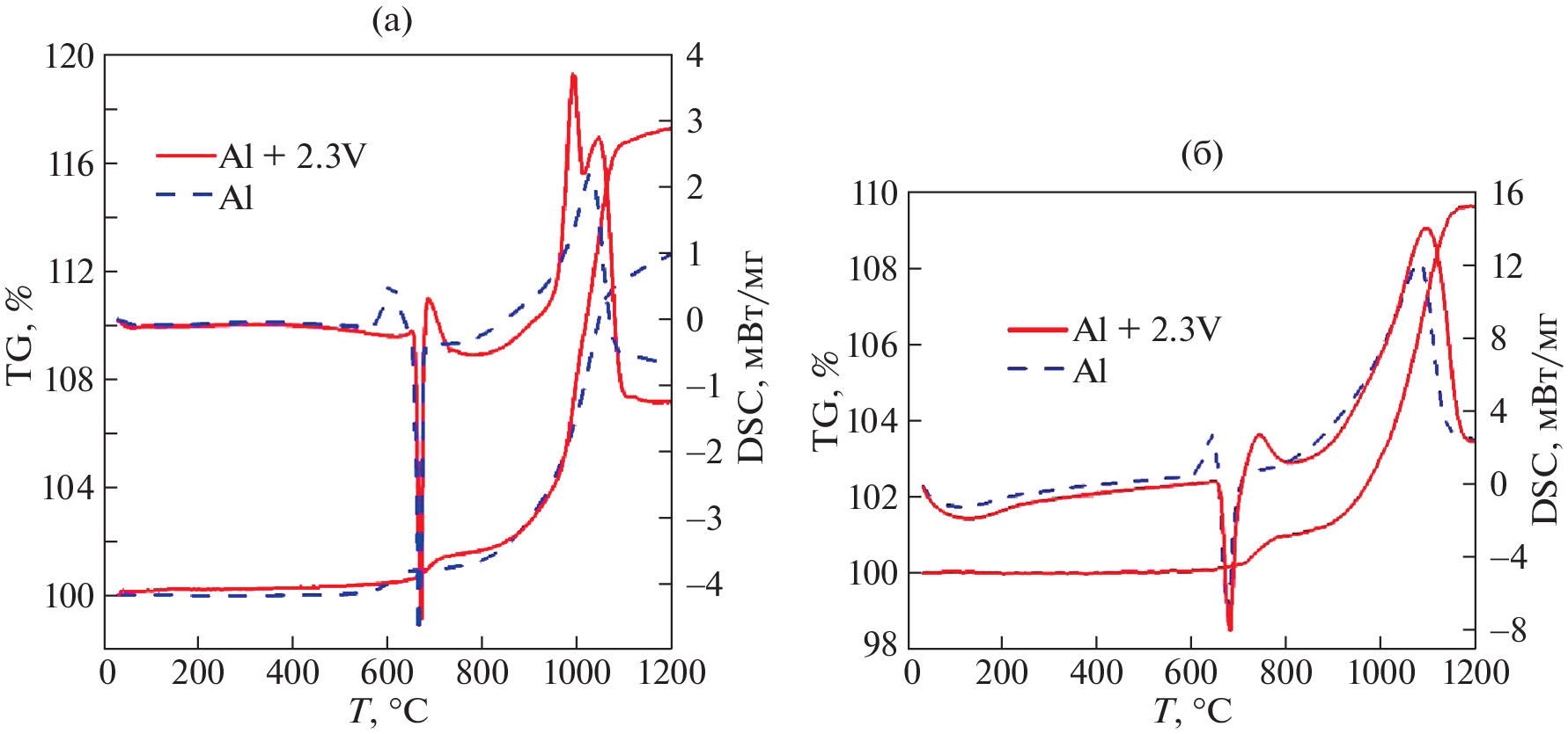
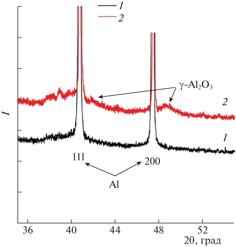
The oxidation stability and phase formation sequence for pure aluminum APK and Al–2.3%V alloy heated in air at rates of up to 100°C/min were analyzed by thermogravimetry with differential scanning calorimetry and X-ray diffraction using synchrotron radiation. It was established that an increase in the heating rate from 10 to 100°C/min does not significantly change the thermal stability of the modified Al powder. The presence of Al3V and Al10V intermetallic compounds, as well as a small amount of γ-Al2O3, in the structure of the alloy should favor consolidation of metal particles and reduce the porosity of the resulting product during selective laser melting (SLM).
Palavras-chave
Sobre autores
V. Shevchenko
Institute of Solid State Chemistry, Ural Branch, Russian Academy of Sciences
Email: shevchenko@ihim.uran.ru
620108, Yekaterinburg, Russia
D. Eselevich
Institute of Solid State Chemistry, Ural Branch, Russian Academy of Sciences
Email: shevchenko@ihim.uran.ru
620990, Yekaterinburg, Russia
N. Popov
Institute of Solid State Chemistry, Ural Branch, Russian Academy of Sciences
Email: shevchenko@ihim.uran.ru
620108, Yekaterinburg, Russia
M. Baklanov
Institute of Solid State Chemistry, Ural Branch, Russian Academy of Sciences
Email: shevchenko@ihim.uran.ru
620108, Yekaterinburg, Russia
Z. Vinokurov
SKIF Multiaccess Center, Institute of Catalysis, Siberian Branch, Russian Academy of Sciences
Email: shevchenko@ihim.uran.ru
630090, Koltsovo Science City, Russia
G. Kim
Postovskii Institute of Organic Synthesis, Ural Branch, Russian Academy of Sciences
Autor responsável pela correspondência
Email: shevchenko@ihim.uran.ru
620108, Yekaterinburg, Russia
Bibliografia
- Зленко М.А. Аддитивные технологии в машиностроении. Пособие для инженеров. М.: ГНЦ РФ ФГУП “НАМИ”. 2015. 220 с.
- Осокин Е.Н. Процессы порошковой металлургии. Версия 1.0 [Электронный ресурс]: курс лекций / Е.Н. Осокин, О.А. Артемьева. – Электрон. дан. Красноярск: ИПК СФУ. 2008. 421 с.
- Гопиенко В.Г. Металлические порошки алюминия, магния, титана и кремния. Потребительские свойства и области применения. СПб.: Изд-во Политехн. ун-та. / Под ред. А.И. Рудского. 2012. 356 с.
- Вол А.Е. Строение и свойства двойных металлических систем. М.: Физматгиз. Наука. 1959. 3306 с.
- Omran A.M. // Al-Azhar University Eng. J. Jaues. 2007. V. 2. № 6. P. 36.
- Stolecki B., Borodziuk-Kulpa A., Zahorowski W. // J. of Materials Science. 1987. V. 22. № 8. P. 2933.
- Woo K.D., Lee H.B. // Met. Mater. Int. 2010. V. 16. № 2. P. 213.
- Omran A.M. // E3 J. of Scientific Research. 2014. V. 2. № 2. P. 026.
- Okamoto H. // J. of Phase Equilibria and Diffusion. 2012. V. 33. № 6. P. 491.
- Simchi A. // Metall Mater Trans B, 2004. 35B. P. 937.
- Louvis E., Fox P., Sutcliffe C.J. // J. Mater Process Technol. 2011. V. 211. P. 275-84.
- Dadbakhsh S., Hao L. // J. Alloy Comp. 2012. V. 541. P. 328.
- Piminov P.A., Baranov G.N., Bogomyagkov A.V. et al. // Physics Procedia. 2016. V. 84. P. 19.
- Aulchenko V.M., Evdokov O.V., Kutovenko V.D. et al. // Nuclear Instruments Methods Physics Research A. 2009. V. 603. P. 76.
- Gates-Rector S., Blanton T. // Powder diffraction. 2019. V. 34. № 4. P. 1.
- Rietveld H.A. // J. Appl. Crystallogr. 1969. V. 2. P. 65.
- Popa N.C., Balzar D. // J. of Applied Crystallography. 2002. V. 35. P. 338-46.
- Safarik D.J., Klimczuk T., Llobet A. et al. // Phys. Rev. B. 2012. V. 85. № 1. P. 1.
- Maas J., Bastin G., Van Loo F., Metselaar R. // Intern. J. of Materials Research. 1983. V. 74. № 5. P. 294.
- Шевченко В.Г., Еселевич Д.А., Попов Н.А., Красильников В.Н. и др. // Физика горения и взрыва. 2018. Т. 54. № 1. С. 65.
- Шевченко В.Г., Кононенко В.И. Физикохимия активации дисперсных систем на основе алюминия. Екатеринбург: УрО РАН, 2006. 238 с.
- Акашев Л.А., Попов Н.А., Шевченко В.Г., Ананьев А.И. // Изв. вузов. Порошковая металлургия и функциональные материалы. 2019. № 2. С. 23.
- Olakanmi E.O., Cohrane R.F., Dalgarno K.W. // Progress in Materials Science, 2015. V. 74. P. 401.
Arquivos suplementares










