Nitrodibenzoyl Methanates of Boron Difluoride: Luminescence and TD-DFT Modeling
- Авторлар: Fedorenko E.V.1, Mirochnik A.G.1, Beloliptsev A.Y.1
-
Мекемелер:
- Institute of Chemistry, Russian Academy of Sciences, Far Eastern Branch
- Шығарылым: Том 97, № 10 (2023)
- Беттер: 1510-1520
- Бөлім: PHOTOCHEMISTRY, MAGNETOCHEMISTRY, MECHANOCHEMISTRY
- ##submission.dateSubmitted##: 18.10.2023
- ##submission.datePublished##: 01.10.2023
- URL: https://bakhtiniada.ru/0044-4537/article/view/140336
- DOI: https://doi.org/10.31857/S0044453723100102
- EDN: https://elibrary.ru/WIUACY
- ID: 140336
Дәйексөз келтіру
Толық мәтін
Аннотация
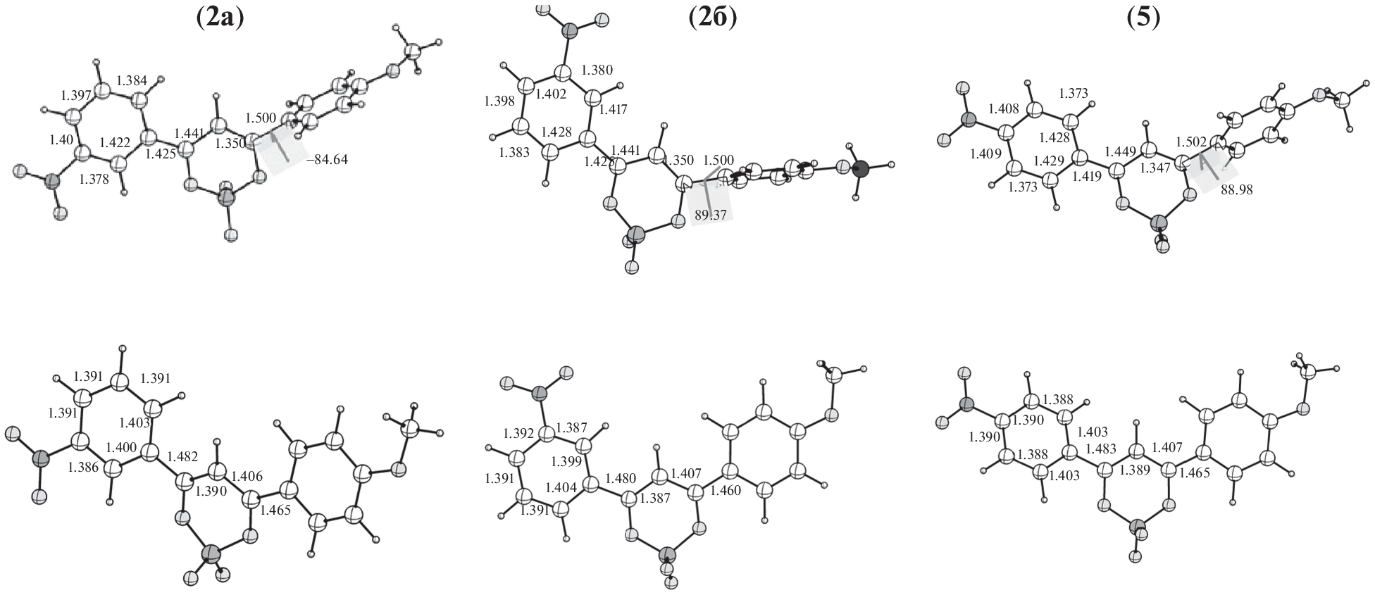
The luminescent properties of p- and m-nitrodibenzoylmethanates of boron difluoride are studied by via quantum-chemical modeling in combination with stationary and time-resolved luminescence spectroscopy. The effect the position of the nitro group has on the luminescent properties of the complexes has been revealed. In the series of donor substituents (phenyl, naphthyl, p-methoxyphenyl), compounds with p‑methoxyphenyl have the highest yield of luminescence quanta. The nitro group in the p-position (in contrast to the m-position) greatly reduces the yield of luminescence quanta. The formation of exciplexes is observed in the solutions of complexes in benzene, increasing the yield of luminescence quanta and creating a strong bathochromic shift of the luminescence spectrum’s maximum.
Негізгі сөздер
Авторлар туралы
E. Fedorenko
Institute of Chemistry, Russian Academy of Sciences, Far Eastern Branch
Email: gev@ich.dvo.ru
690022, Vladivostok, Russia
A. Mirochnik
Institute of Chemistry, Russian Academy of Sciences, Far Eastern Branch
Email: gev@ich.dvo.ru
690022, Vladivostok, Russia
A. Beloliptsev
Institute of Chemistry, Russian Academy of Sciences, Far Eastern Branch
Хат алмасуға жауапты Автор.
Email: gev@ich.dvo.ru
690022, Vladivostok, Russia
Әдебиет тізімі
- Araimi M.A., Lutsyk P., Verbitsky A. et al. // Beilstein J. Nanotechnol. 2016. V. 7 . P. 1991. https://doi.org/10.3762/bjnano.7.190
- Хачатрян С., Бойко И.И., Колотаев А.В., Матевосян К.Р. // Изв. АН Сер. Хим. 2020. С. 385. [Khachatryan D.S., Boῐko, A.V., Kolotaev Iu.Ia., Matevo-syan K.R. // Russ. Chem. Bull 2020. V. 69. P. 325, https://doi.org/10.1007/s11172-020-2764-0]
- Мирочник А.Г., Пузырьков З.Н., Федоренко Е.В., Свистунова И.В. // ЖНХ. 2022. Т. 67. № 9. С. 1292–130. [Mirochnik A.G., Puzyrkov Z.N., Fedorenko E.V., Svistunova I.V. // Russ. J. Inorg. Chem. 2022. V. 67. № 9. P. 142. doi: 10.1134/S003602362209008X ]https://doi.org/10.31857/S0044457X22090082
- Zhang H., Hu X., Dou W. et al. // J. Fluor. Chem. 2010. V. 131. P. 883. https://doi.org/10.1016/S0022-1139(01)00375
- Chibani S., Charaf-Eddin A., Mennucci B. et al. // Chem. Theory Comput. 2014. V. 10, 805−815. https://doi.org/10.1021/ct4009848
- Macedo F.P., Gwengo C., Lindeman S. V. et al. // Eur. J. Inorg. Chem. 2008. P. 3200. https://doi.org/10.1002EJIC.200800243
- Poggi B., Lopez E., Métivier R. et al. // Macromol. Rapid Commun. 2022. V. 43 P. 2200134. https://doi.org/10.1002/marc.202200134
- Shen Z., Gao Y., Li M. et al. // Spectrochim. Acta A. 2022. V. 281. P. 1216. https://doi.org/10.1016/j.saa.2022.121609
- Сажников В.А., Аристархов В.М., Мирочник А.Г. и др. // ДАН. 2011. Т. 437. № 2. С. 201. [Sazhnikov V.A., Aristarkhov V.M., Mirochnik A.G. et al. // Dokl. Phys. Chem. 2011. V. 437. № 1. P. 35. https://doi.org/10.1134/S0012501611030031]
- Samonina-Kosicka J., Weitzel D., Hofmann C., et al. // Macromol. Rapid Commun. 2015. V. 36. № 7. P. 694. https://doi.org/10.1002/marc.201500022
- Кульчин Ю.Н., Витрик О.Б., Жижченко А.Ю. и др. // Опт. спектр. 2012. Т. 112. № 4. С. 580. [Kulchin Y.N., Vitrik O.B., Zhizhchenko A.Y. et al. // Opt. Spectrosс. 2012. V. 112. № 4. P. 514. https://doi.org/10.1134/S0030400X12040121]
- Zhizhchenko A.Yu,. Vitrik O.B., Kulchin Y.N. et al. // ISO 4. 2013. V. 311. P. 364. https://doi.org/10.1016/j.optcom.2013.08.046
- Kammler R., Bourhill G., Jin Y. et al. // Chem. Soc., Faraday Trans. 1996. V. 92. P. 945. https://doi.org/10.1039/FT9969200945
- Halik M., Wenseleer W., Grasso C. et al. // Chem. Comm. 2003. P. 1490. https://doi.org/10.1039/B303135G
- Zojer E., Wenseleers W., Halik M. et al. // ChemPhysChem 2004. V. 5. P. 982. https://doi.org/10.1002/cphc.200301023
- Wang F., Song D., Dickie D.A. et al. // J. Fluoresc. 2021. V. 31. № 1. P. 39–49. https://doi.org/10.1007/s10895-020-02626-8
- Zhang G., Evans R., Campbell K., Fraser C. // ISO4. 2009. V. 42. № 22. P. 8627. https://doi.org/10.1021/ma9019043
- Tanaka K., Tamashima K., Nagai A. et al. // ISO4. 2013. V. 46. № 8. P. 2969. https://doi.org/10.1021/ma400368e
- Gong W., Dong K., Liu L. et al. // Catal. Sci. Technol. 2021. V. 11. № 11. P. 3905. https://doi.org/10.1039/D1CY00384D
- Fedorenko E.V., Mirochnik A.G., Gerasimenko A.V. et al. // Dyes Pigm. 2018. V. 159. P. 557. https://doi.org/10.1016/j.dyepig.2018.07.022
- Федоренко Е.В., Хребтов А.А., Мирочник А.Г. и др. // Опт. спектр. 2019. Т. 127. № 35. С. 42. [Fedoren-ko E.V., Khrebtov A.A., Mirochnik A.G. et al. // Opt. Spectr. 2019, V. 127, No. 3, pp. 459–462. ]https://doi.org/10.1134/S0030400X19090091
- Хребтов А.А., Федоренко Е.В., Реутов В.А. и др. // Журн.физ.химии. 202. Т. 96. № 8. С. 1217. [Khreb-tov A.A.. Fedorenko E.V., Reutov V. A. et al. // Rus. J. Phys. Chem. A, 2022. V. 96. № 8. P. 1800.]https://doi.org/10.1134/S0036024422080118
- Khrebtov A.A., Fedorenko E.V., Beloliptsev A.Yu., Mirochnik A.G. // Spectrochim. Acta A. 2022. V. 267 P. 120548. https://doi.org/10.1016/j.saa.2021.120548
- Wang D., Wan Y., Liu H. et al. // Dyes Pigm. 2018. V. 149. № 2. P. 728. https://doi.org/10.1016/j.dyepig.2017.11.030
- Qian C., Hong G., Liu M. et al. // Tetrahedron 2014. V. 70. P. 3935. https://doi.org/10.1016/j.tet.2014.03.069
- D’Aléo A., Felouat A., Fages F. //Adv. Nat. Sci. Nanosci. Nanotechnol. 2015. V. 6. № 015009. https://doi.org/10.1088/2043-6262/6/1/015009
- Selvam K., Gandhi S., Krishnamurty S., Gopalakrishnan G. // J. Photochem. Photobiol. B Biol. 2019. V. 199. № 6. P. 111595. https://doi.org/10.1016/j.jphotobiol.2019.111595
- Kononevich Yu.N., Belova A.S., Sazhnikov V.A. et al. // Tetrahedron Lett., 2020. V. 61. № 31. P. 152176. https://doi.org/10.1016/j.tetlet.2020.152176
- Daly M.L., Kerr C., DeRosa, Fraser C.L.// ACS Appl. Mater. Interfaces. 2017. Vl. 9, № 37. P. 32008. https://doi.org/10.1021/acsami.7b06910
- Mirochnik A.G., Fedorenko E.V., Karasev V.E. // Russ. Chem. Bull. 2008 V. 57. № 6. P. 1190. https://doi.org/10.1007/s11172-008-0149-x
- Mirochnik A.G., Fedorenko E.V., Karpenko A.A. et al. // Lumines. 2007. V. 22. № 3. P. 195. https://doi.org/10.1002/bio.948
- Mirochnik A.G., Fedorenko E.V., Kuryavyi V.G. et al. // J. Fluoresc. 2006. V. 16. № 3. P. 279. https://doi.org/10.1007/s10895-005-0039-7
- Wang J.-X., Yu Y.-S., Niu L.-Y. et al. // Chem. Commun. 2020. V. 56. № 46. P. 6269. https://doi.org/10.1039/d0cc01505a
- Zhang G., Chen J., Payne S.J. et al. // J. Am. Chem. Soc. 2007. V. 129. № 29. P. 8942. https://doi.org/10.1021/ja0720255
- Săcărescu L., Cojocaru C., Roman G. et al. // Polymer (Guildf). 2021. V. 232. № 9. P. 124188. https://doi.org/10.1016/j.polymer.2021.124188
- Shevchenko N., Pankova G., Laishevkina S. et al. // C-olloids. Surf., A Physicochem. Eng. Asp., 2019. V. 562. № 310. https://doi.org/10.1016/J.COLSURFA.2018.11.05110.1016/J.COLSURFA.2018.11.051https://doi.org/10. 2018.
- Xing D., Hou Y., Niu H. // Spectrochim. Acta A 2018. V. 193. P. 71. https://doi.org/10.1016/j.saa.2017.12.001
- Красовитский Б.М., Болотин Б.М. Органические люминофоры. М.: Химия. 1984. 336 с.
- Weissberger A., Proskauer E.S., Riddick J.A., Toops E.E. Organic Solvents. Physical Properties and Methods of Purifiation, New York: Interscience Publ., 1955. 553 p.
- Гухман Е.В., Реутов В.А. // ЖОХ. 1999. Т. 69. № 10. С. 1678. [Gukhman E.V. Reutov V.A. // Russ. J. Gen. Chem., 1999. V. 69. № 10. P. 1608]
- Becke A.D // J. Chem. Phys. 1993. V. 98. P. 5648. https://doi.org/10.1063/1.464913
- Schmidt M.W., Baldridge K.K., Boatz J.A. et al. // J. Comp. Chem. 1993. V. 14. P. 1363 0A https://doi.org/10.1002/jcc.540141112
- Sasaki S., Gregor P.C., Drummen G. et al. // J. Mater. Chem. C. 2016. V. 4. P. 2731. https://doi.org/10.1039/c5tc03933a
- Титова Т.Ю., Морозова Ю.П. // Журн. физ. химии. 2019. Т. 93. № 6. С. 850. [Titova T.Yu. Morozova Yu.P. // Russ. J. Phys. Chem. 2019. V. 93. P. 1059. doi: 10.1134/S0036024419060323] href='https://doi.org/10.1134/S0044453719060323' target='_blank'>https://doi.org/10.1134/S0044453719060323
- Lakowicz J.R. Principles of Fluorescence Spectroscopy, New York: Springer, 2006. 923 pp.
- Левшин Л.В., Салецкий А.М. Люминесценция и ее измерения: Молекулярная люминесценция М.: МГУ, 1989. 277 с.
- Fedorenko E.V., Mirochnik A.G., Gerasimenko A.V. et al. // JPhotochem. Photobiol. A. 2021. V. 412. P. 113220 https://doi.org/10.1016/j.jphot-chem.2021.113220
- Fedorenko E.V., Bukvetskii B.V., Mirochnik A.G. et al. // J. Lumines. 2010. V. 130. № 5. P. 756. https://doi.org/10.1016/j.jlumin.2009.11.027
- Chow Y.L., Johansson C.J. // J. Phys. Chem. 1995. V. 99. № 49. P. 17566. https://doi.org/10.1021/J100049A016
- Chow Y.L., Johansson C.I., Liu Z.-L. // J. Phys. Chem. 1996. V. 100. № 32. P. 13381. https://doi.org/10.1021/JP961000H
- Fedorenko E.V., Mirochnik A.G., Beloliptsev A.Yu. // J. Luminesc. 2017. V. 185. P. 23. https://doi.org/10.1016/j.jlumin.2017.01.002
Қосымша файлдар











































