Theoretical Study of 5,5,6-Trihydroxy-6-methyldihydropyrimidine-2,4-dione Enantiomers
- Authors: Khamitov E.M.1, Petrova S.F.1, Il’ina M.G.1, Nugumanov T.R.1, Lobov A.N.1, Ivanov S.P.1
-
Affiliations:
- Ufa Institute of Chemistry, Ufa Federal Research Center, Russian Academy of Sciences
- Issue: Vol 97, No 10 (2023)
- Pages: 1481-1487
- Section: ХЕМОИНФОРМАТИКА И КОМПЬЮТЕРНОЕ МОДЕЛИРОВАНИЕ
- Submitted: 18.10.2023
- Published: 01.10.2023
- URL: https://bakhtiniada.ru/0044-4537/article/view/140332
- DOI: https://doi.org/10.31857/S004445372310014X
- EDN: https://elibrary.ru/XYQRJC
- ID: 140332
Cite item
Full Text
Abstract
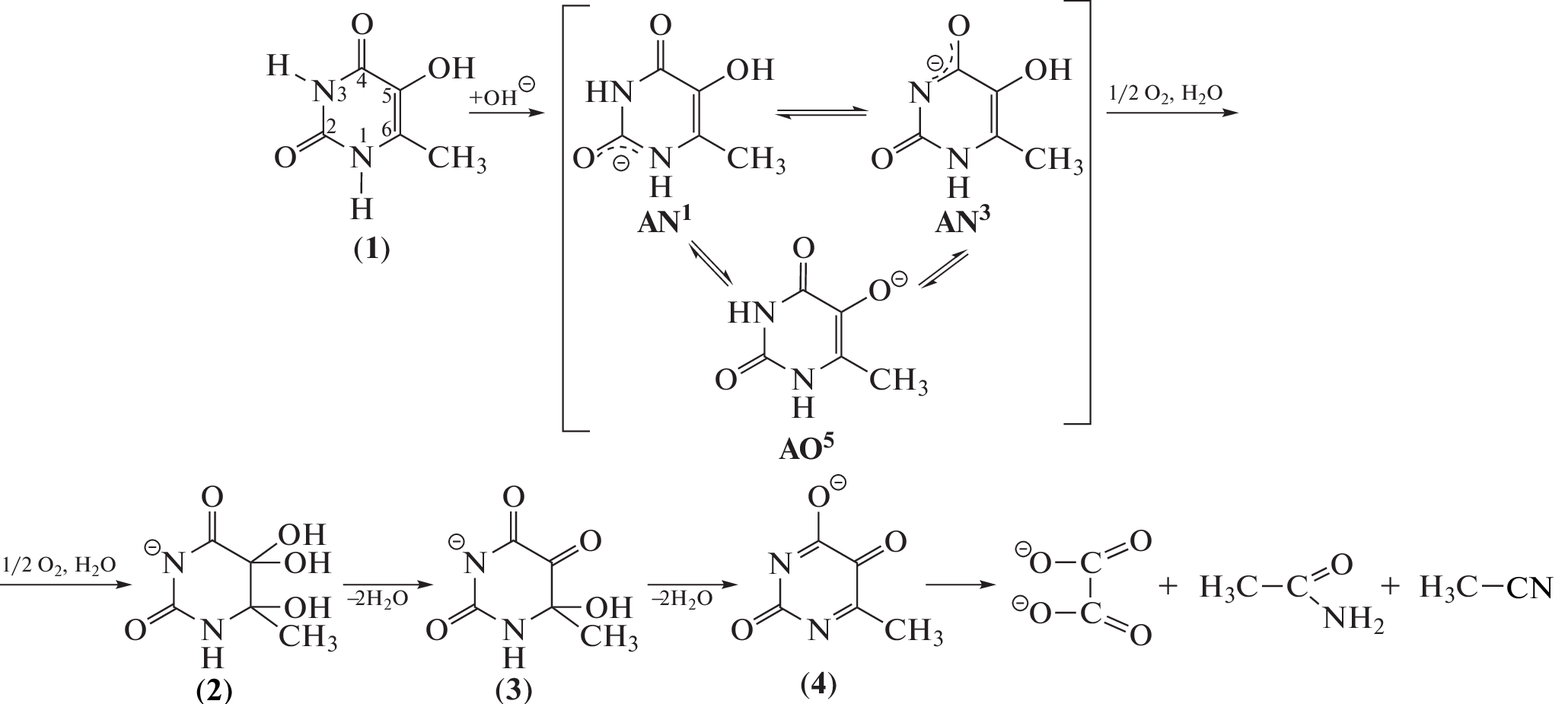
The thermodynamic stability of the axial (а) and equatorial (е) forms of the S- and R-enantiomers of 5,5,6-trihydroxy-6-methyldihydropyrimidine-2,4(1Н,3Н)-dione was studied by quantum-chemical methods. The equilibrium geometrical parameters and thermodynamic characteristics were determined by the DFT method using the TPSS functional combined with the 6-311+G(d,p) split-valence basis set including the d and p type polarization functions. The Chemcraft and VMD programs were used to visualize the geometrical structure. The most stable forms of 5,5,6-trihydroxy-6-methyldihydropyrimidine-2,4(1Н,3Н)-dione are Se and Re in both the gas phase and aqueous and organic (DMSO) media. The activation barrier of the rearrangement inside the ring is 21.22–24.93 kJ/mol depending on the medium.
About the authors
E. M. Khamitov
Ufa Institute of Chemistry, Ufa Federal Research Center, Russian Academy of Sciences
Email: petrova_sf89@anrb.ru
450054, Ufa, Bashkortostan, Russia
S. F. Petrova
Ufa Institute of Chemistry, Ufa Federal Research Center, Russian Academy of Sciences
Email: petrova_sf89@anrb.ru
450054, Ufa, Bashkortostan, Russia
M. G. Il’ina
Ufa Institute of Chemistry, Ufa Federal Research Center, Russian Academy of Sciences
Email: petrova_sf89@anrb.ru
450054, Ufa, Bashkortostan, Russia
T. R. Nugumanov
Ufa Institute of Chemistry, Ufa Federal Research Center, Russian Academy of Sciences
Email: petrova_sf89@anrb.ru
450054, Ufa, Bashkortostan, Russia
A. N. Lobov
Ufa Institute of Chemistry, Ufa Federal Research Center, Russian Academy of Sciences
Email: petrova_sf89@anrb.ru
450054, Ufa, Bashkortostan, Russia
S. P. Ivanov
Ufa Institute of Chemistry, Ufa Federal Research Center, Russian Academy of Sciences
Author for correspondence.
Email: petrova_sf89@anrb.ru
450054, Ufa, Bashkortostan, Russia
References
- Мышкин В.А., Бакиров А.Б. Оксиметилурацил (Очерки экспериментальной фармакологии). Уфа: ДАР, 2001. 218 с.
- Jovanovic S.V., Simic M.G. // J. Am. Chem. Soc. 1986. V. 108. № 19. P. 5968. https://doi.org/10.1021/ja00279a050
- Hazra D.K., Steenken S. // J. Am. Chem. Soc. 1983. V. 105. № 13. P. 4380. https://doi.org/10.1021/ja00351a042
- Theruvathu J.A., Aravindakumar C.T., Flyunt R. et al. // Ibid. 2001. V. 123. № 13. P. 9007. https://doi.org/10.1021/ja0109794
- Von Sonntag C. // Int. J. Radiat. Appl. Instrum. Part C. Radiat. Phys. Chem. 1987. V. 30. № 5–6. P. 313. https://doi.org/10.1016/1359-0197(87)90101-9
- Al-Sheikhly M., von Sonntag C. // Z. Naturforsch 1983. V. 38b. P. 1622.https://doi.org/10.1515/znb-1983-1214
- Simandan T., Sun J., Dix T.A. // Biochem. J. 1998. V. 335. P. 233.https://doi.org/10.1042/bj3350233
- Grabovskiy S.A., Abdrakhmanova A.R., Murinov Yu.I., Kabal'nova N.N. // Current Org. Chem. 2009. V. 13. № 17. P. 1733. https://doi.org/10.2174/138527209789578081
- Grabovskiy S.A., Konkina I.G., Murinov Yu.I., Kabal'nova N.N. // Current Org. Chem. 2012. V. 16. № 11. P. 1447. https://doi.org/10.2174/138527212800672619
- Иванов С.П., Конкина И.Г., Байкова И.П. и др. // Хим. гетероцикл. соединений. 2002. № 11. С. 1609; Ivanov S.P., Konkina I.G., Baikova I.P. et al. // Chem. Heterocycl. Compd. 2002. V. 11. P. 1424.https://doi.org/10.1002/chin.200327138
- Петрова С.Ф., Нугуманов Т.Р., Лобов А.Н. и др. // Вестн. Башкирского ун-та. 2016. Т. 21. № 3. С. 626.
- Петрова С.Ф., Остахов С.С., Иванов С.П. и др. // Хим. выс. энергий. 2018. Т. 52. Вып. 6. С. 468. Petrova S.F., Ostakhov S.S., Ivanov S.P. et al. // High Energy Chem. 2018. V. 52. N. 6. P. 480.https://doi.org/10.1134/S0023119318060116
- Nugumanov T.R., Ivanov S.P., Starikova Z.A., Murinov Y.I. // Mendeleev Commun. 2008. V. 18. P. 223.https://doi.org/10.1016/j.mencom.2008.07.020
- Петрова С.Ф., Ильина М.Г., Нугуманов Т.Р. и др. // Изв. Уфимского научн. центра РАН. 2020. № 1. С. 112.
- Петрова С.Ф., Нугуманов Т.Р., Лобов А.Н. и др. // Журн. прикл. спектроскопии. 2022. Т. 89. № 2. С. 170. https://doi.org/10.47612/0514-7506-2022-89-2-170-176
- Frisch M.J., G.W.T., Schlegel H.B., Scuseria G.E., Robb M.A., Cheeseman J.R., Scalmani G., Barone V., Mennucci B., Petersson G.A., Nakatsuji H., Caricato M., Li X., Hratchian H.P., Izmaylov A.F., Bloino J., Zheng G., Sonnenberg J.L., Hada M., Ehara M., Toyota K., Fukuda R., Hasegawa J., Ishida M., Nakajima T., Honda Y., Kitao O., Nakai H., Vreven T., Montgomery J.A., Jr., Peralta J.E., Ogliaro F., Bearpark M., Heyd J.J., Brothers E., Kudin K.N., Staroverov V.N., Keith T., Kobaya-shi R., Normand J., Raghavachari K., Burant J.C., Iyengar S.S., Tomasi J., Cossi M., Rega N., Millam J.M., Klene M., Knox J.E., Cross J.B., Bakken V., Adamo C., Jaramillo J., Gomperts R., Stratmann R.E., Yazyev O., Austin A.J., Cammi R., Pomelli C., Ochterski J.W., Martin R.L., Morokuma K., Zakrzewski V.G., Voth G.A., Salvador P., Dannenberg J.J., Dapprich S., Daniels A.D., Farkas O., Foresman J.B., Ortiz J.V., Cioslowski J., Fox D.J., Gaussian 09, in: G. Inc. (Ed.), 2010.
- Zhurko G. A. Chemcraft. www.chemcraftprog.com.
- Tao J., Perdew J.P., Staroverov V.N., Scuseria G.E. // Phys. Rev. Lett. 2003. V. 91. № 14. P. 146401. https://doi.org/10.1103/PhysRevLett.91.146401
- Raghavachari K.K., Binkley J.S., Seeger R., Pople J.A. // J. Chem. Phys. 1980. V. 72. № 1. P. 650. https://doi.org/10.1063/1.438955
- McLean A.D., Chandler G.S. // Ibid. V. 72. № 10. P. 5639. https://doi.org/10.1063/1.438980
- Tomasi, J., Mennucci B., Cammi R. // Chem. Rev. 2005. V. 105. № 8. P. 2999. https://doi.org/10.1021/cr9904009
- Floris F., Tomasi J. // J. Comp. Chem. 1989. V. 10. № 5. P. 616. https://doi.org/10.1002/jcc.540100504
- Floris F.M., Tomasi J., Ahuir J.L.P. // J. Comp. Chem. 1991. V. 12. № 7. P. 784. https://doi.org/10.1002/jcc.540120703
- Pierotti R.A. // Chem. Rev. 1976. V. 76. № 6. P. 717. https://doi.org/10.1021/ cr60304a002
- Ruud K., Helgaker T., Bak K.L., Jorgensen P., Jensen H.J.Aa. // J. Chem. Phys.1993. V. 99. P. 3847. https://doi.org/10.1063/1.466131
- Лукманов Т.И., Абдрахимова Г.С., Хамитов Э.М., Иванов С.П. // Журн. физ. химии. 2012. Т. 86. № 7. С. 1221; Lukmanov T. I., Abdrakhimova G. S., Khami-tov E.M., Ivanov S.P. // Russ. J. Phys. Chem. A. 2012. V. 86. № 7. P. 1104. https://doi.org/10.1134/ S0036024412990010
- Потапов В.М. Стереохимия. М.: Химия, 1988. 464 с.
- Гюнтер Х. Введение в курс спектроскопии ЯМР / пер. с англ. М.: Мир, 1984. 478 с.
Supplementary files







