Comparative Analysis of the Effect of Native and Polymeric β-Cyclodextrins on the Solubility and Membrane Permeability of Baricitinib
- Авторлар: Delyagina E.S.1,2, Garibyan A.A.1, Terekhova I.V.1
-
Мекемелер:
- Institute of the Chemistry of Solutions, Krestov Academy of Sciences
- Ivanovo State University
- Шығарылым: Том 97, № 8 (2023)
- Беттер: 1218-1224
- Бөлім: БИОФИЗИЧЕСКАЯ ХИМИЯ И ФИЗИКО-ХИМИЧЕСКАЯ БИОЛОГИЯ
- ##submission.dateSubmitted##: 15.10.2023
- ##submission.datePublished##: 01.08.2023
- URL: https://bakhtiniada.ru/0044-4537/article/view/136680
- DOI: https://doi.org/10.31857/S0044453723080046
- EDN: https://elibrary.ru/QTSHUE
- ID: 136680
Дәйексөз келтіру
Толық мәтін
Аннотация
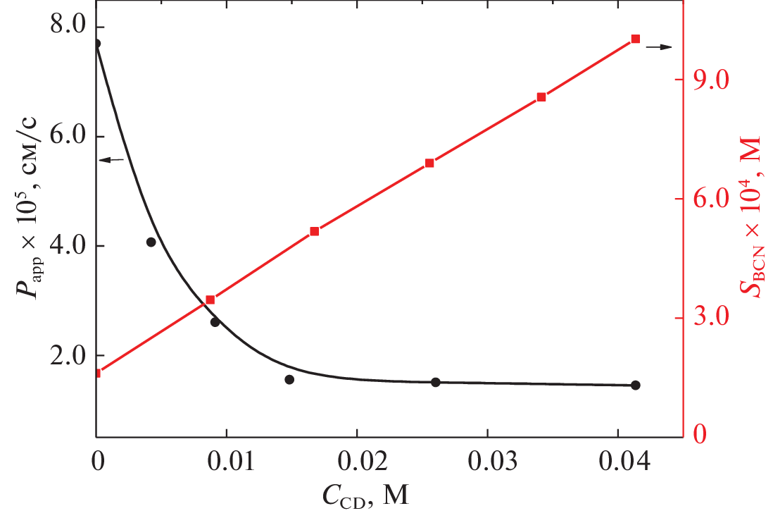
A study is performed of the effect native and polymeric β-cyclodextrins have on the solubility and membrane permeability of baricitinib, a new generation immunomodulator. It is found that native and polymeric β-cyclodextrins exhibit the same solubilizing effect in relation to baricitinib, while their effect on the membrane permeability of the drug differs. The increased solubility of baricitinib is due to the formation of inclusion complexes that have the same stability but are enthalpy-entropy stabilized in native β-cyclodextrin and enthalpy stabilized in polymeric β-cyclodextrin. The effect cyclodextrins on baricitinib’s coefficients of permeability of through a model membrane is discussed in terms of complexation, changes in the viscosity of the medium, and the state of the water boundary layer near the membrane’s surface.
Негізгі сөздер
Авторлар туралы
E. Delyagina
Institute of the Chemistry of Solutions, Krestov Academy of Sciences; Ivanovo State University
Email: ivt@isc-ras.ru
153045, Ivanovo, Russia; 153000, Ivanovo, Russia
A. Garibyan
Institute of the Chemistry of Solutions, Krestov Academy of Sciences
Email: ivt@isc-ras.ru
153045, Ivanovo, Russia
I. Terekhova
Institute of the Chemistry of Solutions, Krestov Academy of Sciences
Хат алмасуға жауапты Автор.
Email: ivt@isc-ras.ru
153045, Ivanovo, Russia
Әдебиет тізімі
- Aletaha D., Neogi T., Silman A.J. et al. // Arthritis Rheumatol. 2010. V. 62. P. 2569. https://doi.org/10.1002/art.27584
- Drug Approval Package: Olumiant (baricitinib). 2018. https://www.accessdata.fda.gov/drugsatfda_docs/nda/2018/207924Orig1s000TOC.cfm
- Olumiant product information, European public assessment report. European Medicines Agency. https://www.ema.europa.eu/en/medicines/human/EPAR/olumiant#authorisation-details-section.
- Garibyan A.A., Delyagina E.S., Agafonov M.A. et al. // J. Mol. Lig. 2022. V. 360. P. 119548. https://doi.org/10.1016/j.molliq.2022.119548
- Alshetaili A.S. // Z. Phys. Chem. 2018. V. 233. https://doi.org/10.1515/zpch-2018-1323
- FDA Briefing, Arthritis Advisory Committee Meeting document, AAC Brief NDA 207924 (2018).
- Ansari M.J., Alschahrani S.M. // Saudi Pharm. J. 2019. V. 27. P. 491. https://doi.org/10.1016/j.jsps.2019.01.012
- Zheng X.-Q., Huang J.-F., Lin J.-L. et al. // Colloids Surf. B. 2021. V. 199. P. 111532. https://doi.org/10.1016/j.colsurfb.2020.111532
- Braga S.S. // Biomolecules. 2019. V. 9. P. 801. https://doi.org/10.3390/biom9120801
- Allahyari S., Trotta F., Valizadeh H. et al. // Expert Opin. Drug Deliv. 2019. V. 16. P. 467. https://doi.org/10.1080/17425247.2019.1591365
- Mura P. // Int. J. Pharm. 2020. V. 579. P. 119181. https://doi.org/10.1016/j.ijpharm.2020.119181
- Renard E., Deratani A., Volet G. et al. // Eur. Polum. J. 1997. V. 33. P. 49. https://doi.org/10.1016/S0014-3057(96)00123-1
- Di Cagno M., Nielsen T.T., Larsen K.L. et al. // Int. J. Pharm. 2014. V. 468. P. 258. https://doi.org/10.1016/j.ijpharm.2014.04.029
- Vartak R., Patki M., Menon S. et al. // Ibid. 2020. V. 589. P. 119863. https://doi.org/10.1016/j.ijpharm.2020.119863
- Zhang W., Gong X., Cai Y. et al. // Carbohydr. Polum. 2013. V. 95. P. 366. https://doi.org/10.1016/j.carbpol.2013.03.020
- Дружининская О.В., Смехова И.Е. // Разработка и регистрация лекарственных средств. 2017. Т. 20. № 3. С. 144.
- Amrhein J., Drynda S., Schlatt L. et al. // Int. J. Mol. Sci. 2020. V. 21. P. 6632. https://doi.org/10.3390/ijms21186632
- Higuchi T., Connors K. // Adv. Anal. Chem. Instrum. 1965. V. 4. P. 117.
- Dahan A., Miller J.M., Hoffman A. et al. // J. Pharm. Sci. 2010. V. 99. P. 2739–2749. https://doi.org/10.1002/jps.22033
Қосымша файлдар









