Nanothermodynamics on the Example of Metallic Nanoparticles
- Authors: Samsonov V.M.1, Vasilev S.A.1, Talyzin I.V.1, Nebyvalova K.K.1, Puitov V.V.1
-
Affiliations:
- Tver State University
- Issue: Vol 97, No 8 (2023)
- Pages: 1167-1177
- Section: PHYSICAL CHEMISTRY OF NANOCLUSTERS, SUPRAMOLECULAR STRUCTURES, AND NANOMATERIALS
- Submitted: 15.10.2023
- Published: 01.08.2023
- URL: https://bakhtiniada.ru/0044-4537/article/view/136667
- DOI: https://doi.org/10.31857/S004445372308023X
- EDN: https://elibrary.ru/QZZSLS
- ID: 136667
Cite item
Full Text
Abstract
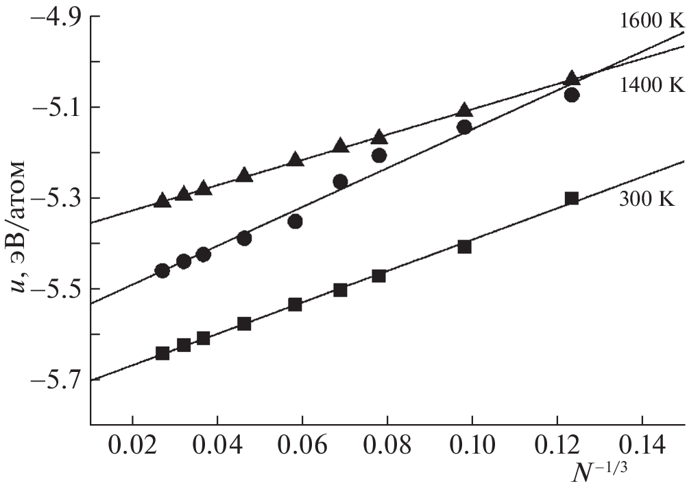
After analyzing the problem of extending the Gibbs surface excess method to nanoscale objects, two different approaches to the application of the Gibbs method for finding the specific surface energy of metal nanoparticles are being considered. The first approach involves the use of the local coordination approximation to estimate the specific surface energy of icosahedral FCC metal nanoparticles (magic nanoclusters). For the first time, we have drawn attention to the fact that for such a nanocluster, it is possible to accurately calculate both the fraction of surface atoms and the values of the first coordination number in the inner region of the nanoparticle and on its surface (faces, edges, and vertices). The second approach implemented by us earlier for spherical Au nanoparticles and here for FCC Pt nanoparticles, involves the complex application of the Gibbs method adapted for nanoparticles and the results of molecular dynamics simulation. Estimates using both approaches agree with the experimental values of the surface energy corresponding to the flat surface of the bulk phases of the corresponding metals. In the final section of the work, the limits of applicability of thermodynamics to nanosystems are discussed.
About the authors
V. M. Samsonov
Tver State University
Email: samsonoff@inbox.ru
170002, Tver, Russia
S. A. Vasilev
Tver State University
Email: samsonoff@inbox.ru
170002, Tver, Russia
I. V. Talyzin
Tver State University
Email: samsonoff@inbox.ru
170002, Tver, Russia
K. K. Nebyvalova
Tver State University
Email: samsonoff@inbox.ru
170002, Tver, Russia
V. V. Puitov
Tver State University
Author for correspondence.
Email: samsonoff@inbox.ru
170002, Tver, Russia
References
- Русанов А.И. // Рос. хим. журн. 2006. Т. L. № 2. С. 145.
- Русанов А.И. // Журн. физ. химии. 2003. Т. 77. № 10. С. 1736.
- Русанов А.И. // Тезисы 2 Межд. сов. “Нуклеация и нелинейные проблемы в фазовых переходах I рода”. СПб., 2002. С. 13.
- Hill T. // Nano Letters. 2001. V. 1. № 3. P. 111.
- Chamberlin R.V. // Nature. 2000. V. 408. P. 337.
- Hill T. Thermodynamics of Small Systems. New York: W.A. Benjamin Inc., 1963, 1964. 416 p.
- Chamberlin R.V. // Entropy. 2015. V. 17. P. 52. https://doi.org/10.3390/e17010052
- Русанов А.И. Термодинамика поверхностных явлений. Л.: Изд-во Ленинградского ун-та, 1960. 180 с.
- Русанов А.И. Фазовые равновесия и поверхностные явления. Л.: Химия, 1967. 388 с.
- Русанов А.И. Лекции по термодинамике поверхностей СПб.−М.−Краснодар: Лань, 2013. 237 с.
- Оно С., Кондо С. Молекулярная теория поверхностного натяжения в жидкостях. М.: Издательство иностранной литературы, 1963. 291 с.
- Роулинсон Дж., Уидом Б. Молекулярная теория капиллярности. М.: Мир, 1986.
- Гиббс Дж. В. Термодинамика и статистическая механика. М.: Наука, 1982. https://doi.org/10.1017/CBO9780511686948
- Broendersz Ch.P., Roncenray P. // Nature. 2022. V. 604. P. 46. https://doi.org/10.1038/d41586-022-00869-y
- Jazynski C. // Phys. Rev. Lett. 1997. V. 78. № 14. P. 2690. https://doi.org/10.1103/PhysRevLett.78.2690
- Sanders-Gutierrez O.A., Luna-Valenzuela A., Posada-Borbón A. et al. // Comp. Mat. Sci. 2022. V. 21. P. 110908. https://doi.org/10.1016/j.commatsci.2021.110908
- Sdobnyakov N.Yu., Veselov A.D., Ershov P.M. et al. // Comp. Mat. Sci. 2018. V. 153. P. 153. https://doi.org/10.1016/j.commatsci.2018.06.037
- Delogu F. // J. Phys. Chem. B. 2005. V. 109. I. 46. P. 21938. https://doi.org/10.1021/jp0554902
- Lai S.L., Guo J.Y., Petrova V. et al. // Phys. Rev. Lett. 1996. V. 77. I. 1. P. 99. https://doi.org/10.1103/PhysRevLett.77.99
- Родунер Э. Размерные эффекты в наноматериалах. М.: Техносфера, 2010. 352 с.
- Samsonov V.M., Vasilyev S.A., Nebyvalova K.K. et al. // J. Nanopart. Res. 2020. V. 22. I. 6. Art. № 247. https://doi.org/10.1007/s11051-020-04923-6
- Samsonov V.M., Talyzin I.V., Puytov V.V. et al. // J. Chem. Phys. 2022. V. 156. I. 21. Art. № 214302. https://doi.org/10.1063/5.0075748
- Tolman R.C. // J. Chem. Phys. 1949. V. 17. P. 333. https://doi.org/10.1063/1.1747247
- Быков Т.В., Щекин А.К. // Неорганические материалы. 1999. Т. 35. № 6. С. 759.
- Самсонов В.М., Чернышова А.А. // Колл. ж., 2016. Т. 78. № 3. С. 365. https://doi.org/10.7868/S0023291216030149
- Miguel R., Rubí J.M. // J. Chem. Phys. 2021. V. 155. I. 22. Art. № 221101. https://doi.org/10.1063/5.0072533
- Щербаков Л.М. Оценка избыточной свободной энергии малых объектов // Исследования в области поверхностных сил. М.: Наука, 1964. С. 17.
- Самсонов В.М. // Журн. физ. химии. 2002. Т. 76. № 11. С. 2063.
- Бойнович Л.Б. // Успехи химии. 2007. Т. 76. № 5. С. 510. https://doi.org/10.1070/RC2007v076n05ABEH003692
- Быков Т.В., Щекин А.К. // Коллоидн. журн. 1999. Т. 61. № 2. С. 164.
- Samsonov V.M., Bazulev A.N., Sdobnyakov N.Yu. // Cent. Eur. J. Phys. 2003. V. 1. № 3. P. 474. https://doi.org/10.2478/BF02475858
- Samsonov V.M., Sdobnyakov N.Yu., Bazulev A.N. // Surf. Sci. 2003. V. 532–535. P. 526. https://doi.org/10.1016/S0039-6028(03)00090-6
- Шебзухова М.А., Шебзухов З.А., Шебзухов А.А. // ФТТ. 2012. Т. 54. № 1. С. 173. https://doi.org/10.1134/S1063783412010295
- Шебзухов З.А., Шебзухова М.А., Шебзухов А.А. // Изв. РАН. Сер. физ. 2009. Т. 73. № 7. С. 983. https://doi.org/10.3103/S1062873809070211
- Магомедов М.Н. // ФТТ. 2021. Т. 63. № 9. С. 1415.
- Магомедов М.Н. // Поверхность. Рентгеновские, синхротронные и нейтронные исследования. 2020. № 11. С. 88. https://doi.org/10.31857/S1028096020110102
- Гуггенгейм E.A. Современная термодинамика, изложенная по методу У. Гиббса. Л.-М.: Госхимиздат, 1941. 188 с.
- Samsonov V.M., Bembel A.G., Kartoshkin A.Y. et al. // J. Therm. Anal. Calorim. 2018. V. 133. I. 2. P. 1207. https://doi.org/10.1007/s10973-018-7245-4
- Samsonov V.M., Talyzin I.V., Kartoshkin A.Yu., Vasilyev S.A. // Appl. Nanosci. 2019. V. 9. I. 1. P. 119. https://doi.org/10.1007/s13204-018-0895-5
- Самсонов В.М., Талызин И.В., Картошкин А.Ю., Самсонов М.В. // ФММ. 2019. Т. 120. № 6. С. 630. https://doi.org/10.1134/S0015323019060111
- Samsonov V.M., Talyzin I.V., Kartoshkin A.Yu. et al. // Comp. Mat. Sci. 2021. V. 199. art.no. 110710. https://doi.org/10.1016/j.commatsci.2021.110710
- Kaptay G. // J. Mater. Sci. 2016. V. 51. P. 1738. https://doi.org/10.1007/s10853-015-9533-8
- Foster D.M., Pavloudis Th., Kioseoglou J., Palmer R.E. // Nat. Commun. 2018. V. 9. I. 1. P. 2583. https://doi.org/10.1038/s41467-019-10713-z
- Zeni C. // Nat. Commun. 2021. V. 12. P. 6056. https://doi.org/10.1038/s41467-021-26199-7
- Foster D.M., Ferrando R., Palmer R.E. // Nat. Commun. 2018. V. 9. I. 1. P. 1323. https://doi.org/10.1038/s41467-018-03794-9
- Nelli D., Rossi G., Wang Z. et al. // Nanoscale. 2020. V. 12. I. 14. P. 7688. https://doi.org/10.1039/C9NR10163B
- Товбин Ю.К. Малые системы и основы термодинамики. М.: Физматлит, 2018. 403 с. Tovbin Yu.K. Small Systems and Fundamentals of Thermodynamics. Boca Raton, 2018. 436 p. https://doi.org/10.1201/9780429503931
- Tovbin Y.K. // Russ. J. Phys. Chem. 2021. V. 95. P. 637. https://doi.org/10.1134/S0036024421020266
- Пригожин И. Введение в термодинамику необратимых процессов. Москва−Ижевск. 2001. 160 с. https://doi.org/10.1149/1.2425756
- де Гроот С.Р., Мазур П. Неравновесная термодинамика. М: Мир, 1964. 456 с. (De Groot S.R., Mazur P. Non-Equilibrium Thermodynamics. Dover Publications, 2013. 510 p.)
- Chini P. // Gazzetta Chimica Italiana. 1979. V. 109. P. 225.
- Adams J.B., Foiles S.M., Wolfer W.G. // J. Mater. Res. 1989. V. 4. I. 1. P. 102. https://doi.org/10.1557/JMR.1989.0102
- Викарчук А.А., Воленко А.П. // ФТТ. 2005. Т. 47. № 2. С. 339. https://doi.org/10.1134/1.1866418
- Гафнер С.Л., Редель Л.В., Головенько Ж.В. и др. // Письма в ЖЭТФ. 2009. Т. 89. № 7. С. 425. https://doi.org/10.1134/S0021364009070121
- Reinhard D., Hall B.D., Berthoud P. et al. // Phys. Rev. Lett. 1997. V. 79. I. 8. P. 1459. https://doi.org/10.1103/PhysRevLett.79.1459
- Baletto F., Motter C., Ferrando R. // Phys. Rev. Lett. 2000. V. 84. I. 24. P. 5544. https://doi.org/10.1103/PhysRevLett.84.5544
- Полухин В.А., Ватолин Н.А. Моделирование разупорядоченных и наноструктурированных фаз. Екатеринбург: Изд-во УрО РАН, 2011. 463 с.
- Кузьмин В.И., Тытик Д.Л., Белащенко Д.К., Сиренко А.Н. // Коллоидн. журн. 2008. Т. 70. № 3. С. 316. https://doi.org/10.1134/S1061933X08030058
- Кузьмин В.И., Гадзаов А.Ф., Тытик Д.Л. и др. // Российские нанотехнологии. 2010. Т. 5. № 11–12. С. 92. https://doi.org/10.1134/S199507801011008X
- Qi W.H., Wang M.P. // Mater. Chem. Phys. 2004. V. 88. I. 2–3. P. 280. https://doi.org/10.1016/j.matchemphys.2004.04.026
- Kumar R., Kumar M. // Indian J. Pure Appl. Phys. 2012. V. 50. I. 5. P. 329.
- Киттель Ч. Введение в физику твердого тела. М.: Книга по требованию, 2012.
- Alchagirov A.B., Alchagirov B.B., Taova T.M., Khokonov Kh.B. // Transactions of JWRI (Joining and Welding Research Institute). 2001. V. 30. Special Issue. P. 287
- Allen M.P., Tildesley D.J. Computer Simulation of Liquids. Oxford: Clarendon Press, 2017. 626 p.
- Физические величины: Справочник / Под ред. И.С. Григорьева, Е.З. Мейлихова. М.: Энергоатомиздат, 1991. 1232 с.
- Пуйтов В.В., Романов А.А., Талызин И.В., Самсонов В.М. // Изв. Академии наук. Сер. химическая. 2022. № 4. С. 686. https://doi.org/10.1007/s11172-022-3466-6
- Samsonov V.M., Romanov A.A., Kartoshkin A.Yu. et al. // Appl. Phys. A. 2022. V. 128. P. 826. https://doi.org/10.1007/s00339-022-05922-1
- Витоль Э.Н. // Коллоидн. журн. 1992. Т. 54. № 3. С. 21.
- Сдобняков Н.Ю., Самсонов В.М., Базулев А.Н., Новожилова Д.А. // Изв. РАН. Сер. Физ. 2017. Т. 81. № 3. С. 409. https://doi.org/10.7868/S0367676517030310
- Samsonov V.M., Talyzin I.V., Samsonov M.V. // J. Phys. Conf. Ser. 2020. V. 1658. Art. № 012046. https://doi.org/10.1088/1742-6596/1658/1/012046
- Häkkinen H., Moseler M., Landman U. // Phys. Rev. Lett. 2002. V. 89. I. 3. Art. № 033401. https://doi.org/10.1103/PhysRevLett.89.033401
- Талызин И.В., Картошкин А.Ю., Васильев С.А. и др. // Физико-химические аспекты изучения кластеров, наноструктур и наноматериалов. 2019. Вып. 11. С. 364. https://doi.org/10.26456/pcascnn/2019.11.364
Supplementary files






