О конформационном переходе “кресло”–“ванна” циклогексанона в процессе окисления циклогексана
- Авторы: Пучков С.В.1, Непомнящих Ю.В.1
-
Учреждения:
- Кузбасский государственный технический университет им. Т.Ф. Горбачева, Институт химических и нефтегазовых технологий
- Выпуск: Том 97, № 8 (2023)
- Страницы: 1155-1160
- Раздел: СТРОЕНИЕ ВЕЩЕСТВА И КВАНТОВАЯ ХИМИЯ
- Статья получена: 15.10.2023
- Статья опубликована: 01.08.2023
- URL: https://bakhtiniada.ru/0044-4537/article/view/136663
- DOI: https://doi.org/10.31857/S0044453723080198
- EDN: https://elibrary.ru/QZYCIW
- ID: 136663
Цитировать
Полный текст
Аннотация
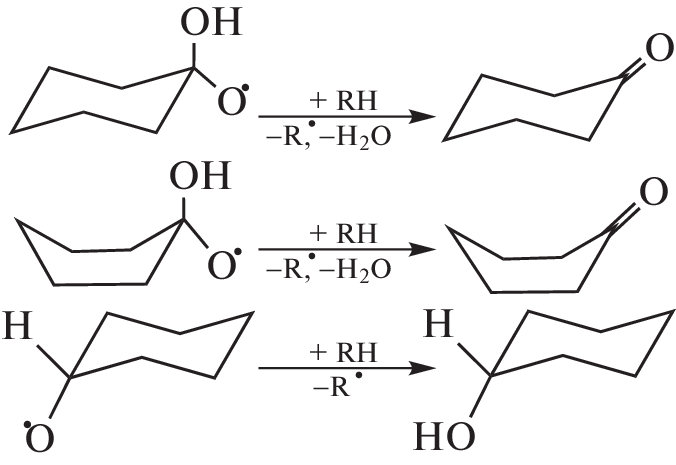
Методами (DFT) B3LYP/6-311g++(d,p), G3, CBS-QB3 рассчитаны величины свободной энергии и константы равновесия конформационного перехода “кресло”–“ванна” циклогексанона в интервале температур 298.15–428.15 К. Рассчитан равновесный состав конформеров “кресло” и “ванна” циклогексанона. Показано, что при увеличении доли конформации “ванна” селективность процесса окисления циклогексана по циклогексанону снижается. Методом QST2 найдены переходные состояния реакций присоединения циклогексилгидропероксида по карбонильной группе циклогексанона для конформаций “кресло” и “ванна”. Рассчитаны энергетические профили этих реакций. Установлено, что присоединение гидропероксида по карбонильной группе конформации “ванна” кетона сопровождается переходом в конформацию “кресло”.
Ключевые слова
Об авторах
С. В. Пучков
Кузбасский государственный технический университет им. Т.Ф. Горбачева,Институт химических и нефтегазовых технологий
Email: psv.toos@kuzstu.ru
Россия, 650000, Кемерово
Ю. В. Непомнящих
Кузбасский государственный технический университет им. Т.Ф. Горбачева,Институт химических и нефтегазовых технологий
Автор, ответственный за переписку.
Email: psv.toos@kuzstu.ru
Россия, 650000, Кемерово
Список литературы
- Перкель А.Л., Воронина С.Г. // Изв. АН. Сер. хим. 2019. № 3. С. 480. https://doi.org/10.1007/s11172-019-2443-1
- Перкель А.Л., Воронина С.Г. // Там же. 2019. № 8. С. 1478. https://doi.org/10.1007/s11172-019-2582-4
- Перкель А.Л., Воронина С.Г. // Там же. 2019. № 10. С. 1803. https://doi.org/10.1007/s11172-019-2630-0
- Перкель А.Л., Воронина С.Г., Боркина Г.Г. // Там же. 2018. № 10. С. 1747. https://doi.org/10.1007/s11172-018-2288-z
- Перкель А.Л., Воронина С.Г. // Нефтехимия. 2019. Т. 59. № 7. С. 758. https://doi.org/10.1134/S00282421190701280
- Пучков С.В., Бунеева Е.И., Перкель А.Л. // Кинетика и катализ. 2002. Т. 43. № 6. С. 813.https://doi.org/10.1023/A:1021674217742
- Нагиева И.Т., Гасанова Л.М., Нагиев Т.М. // Журн. физ. химии. 2018. Т. 92. № 12. С. 1935. https://doi.org/10.1134/S004445371812004X
- Пучков С.В., Москвитина Е.Г., Непомнящих Ю.В., Перкель А.Л. // Там же. 2013. Т. 87. № 5. С. 751. https://doi.org/10.7868/S004445371305021X
- Hendry D.G., Gould C.W., Schuetzle D. et al. // J. Org. Chem. 1976. V. 41. № 1. P. 1. https://doi.org/10.1021/jo00863a001
- Taskinen E. // J. Phys. Org. Chem. 2010. V. 23. № 2. P. 105. https://doi.org/10.1002/poc.1587
- Илиел Э., Вайлен С., Дойл М. Основы органической стереохимии / Пер. с англ. М.: БИНОМ. Лаборатория знаний, 2009. 703 с.
- Dillen J., Geise H.J. // J. Mol. Struct. 1980. V. 69. 137. https://doi.org/10.1016/0022-2860(80)85272-0
- Shallard-Brown H.A., Watkin D.J., Cowley A.R. // Acta Crystallogr., Sect. E: Struct. Rep. Online. 2005. V. 61. № 8. P. 2424. https://doi.org/10.1107/s1600536805015977
- Пучков С.В., Непомнящих Ю.В. // Кинетика и катализ. 2021. Т. 62. № 4. С. 426−436. https://doi.org/10.31857/S0453881121040122
- Kosnik W., Bocian W., Chmielewski M., Tvaroska I. // Carbohydrate Research. 2008. V. 343. № 9. P. 1463. https://doi.org/10.1016/j.carres.2008.03.032
- Marianski M., Asensio A., Dannenberg J.J. // J. Chem. Phys. 2012. V. 137. № 4. P. 044109-1. https://doi.org/10.1063/1.4737517
- Самаркина А.Б., Хурсан С.Л. // Вестн. Башкирского университета. 2008. Т. 13. № 3 (I). С. 780.
- Емельянова Н.С., Покидова Т.С. // Журн. физ. химии. 2020. Т. 94. № 5. С. 747. https://doi.org/10.31857/S0044453720050052
- Корнейчук А.Я., Сенявин В.М., Курамшина Г.М. // Там же. 2017. Т. 91. № 2. С. 354 https://doi.org/10.7868/S0044453717020170
- Федорова И.В., Яблоков М.Е., Сафонова Л.П. // Там же. 2022. Т. 96. № 12. С. 1776. https://doi.org/10.31857/S004445372212010X
- Bond D. // J. Org. Chem. 2007. V. 72. № 15. P. 5555. https://doi.org/10.1021/jo070383k
- Пучков С.В., Непомнящих Ю.В., Козлова Е.С., Перкель А.Л. // Кинетика и катализ. 2013. Т. 54. № 2. С. 148. https://doi.org/10.7868/S0453881113020123
- Пучков С.В., Бунеева Е.И., Перкель А.Л. // Журн. прикл. химии. 2002. Т. 75. № 2. С. 256.
- Ваховская Л.А., Круглов С.В., Фрейдин Б.Г. // Там же. 1978. Т. 51. № 6. С. 1345.
- Lee C. // J. Korean Phys. Soc. 1999. V. 35 (4). P. 370.
- Bian H., Zhang Y., Wang Y. et al. // Int. J. Quantum Chem. 2021. V. 121. № 11. P. 1. https://doi.org/10.1002/qua.26636
- Кошель Г.Н., Смирнова Е.В., Курганова Е.А. и др. // Химическая промышленность сегодня. 2010. № 4. С. 40.
- Румянцева Ю.Б., Курганова Е.Л., Кошель Г.Н. и др. // Известия высших учебных заведений. Серия: химия и химическая технология. 2011. Т. 54. № 10. С. 102.
- Смирнова Е.В., Курганова Е.Л., Румянцева Ю.Б., Кошель Г.Н. // Там же. 2012. Т. 55. № 1. С. 21.
- Ishii Y., Sakaguchi S., Iwahama T. // Adv. Synth. Catal. 2001. V. 343. № 5. P. 393.
Дополнительные файлы











