Reactivity of Tetraphenoxy-Substituted Phthalocyanines in Acid–Base Reactions with Organic Bases
- Authors: Petrov O.A.1, Maksimova A.A.1, Rassolova A.E.1, Gamov G.A.1, Maizlish E.E.1
-
Affiliations:
- Ivanovo State University of Chemical Technology
- Issue: Vol 97, No 9 (2023)
- Pages: 1290-1296
- Section: STRUCTURE OF MATTER AND QUANTUM CHEMISTRY
- Submitted: 15.10.2023
- Published: 01.09.2023
- URL: https://bakhtiniada.ru/0044-4537/article/view/136660
- DOI: https://doi.org/10.31857/S0044453723090157
- EDN: https://elibrary.ru/XOYPSU
- ID: 136660
Cite item
Full Text
Abstract
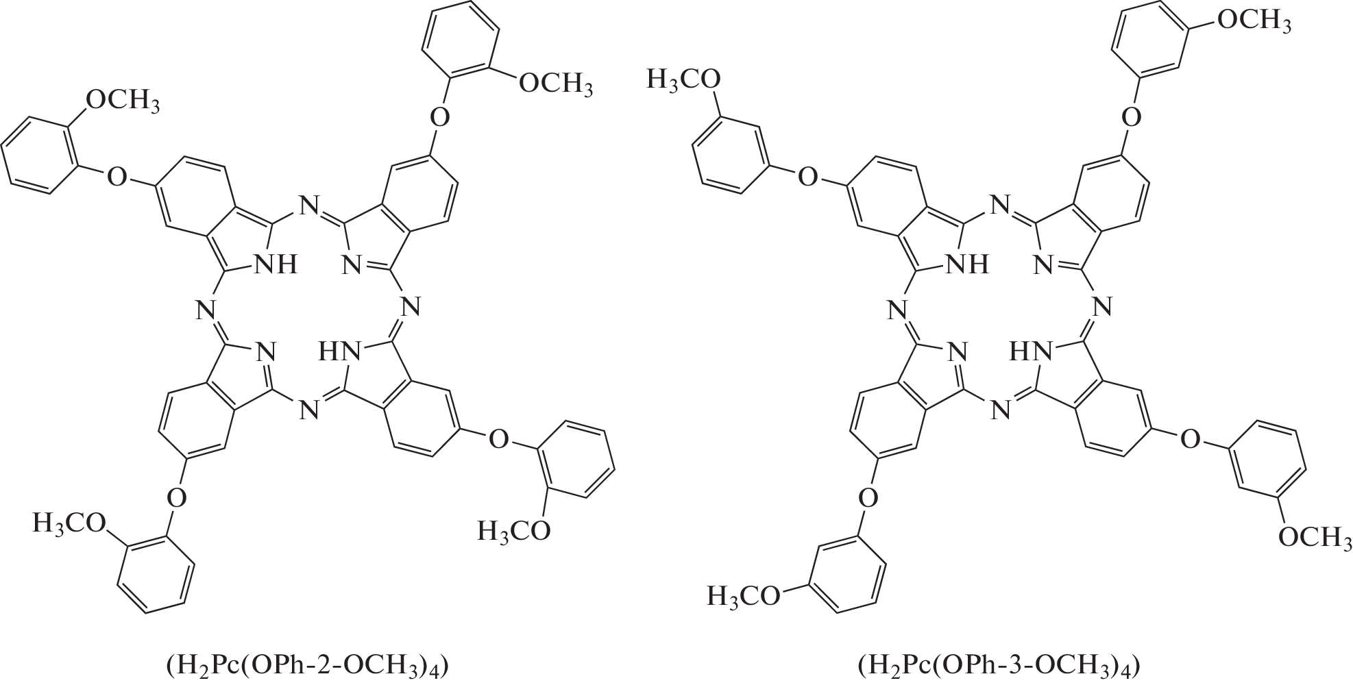
The interaction of tetra-4-(2-methoxyphenoxy)phthalocyanine and tetra-4-(3-methoxyphenoxy)phthalocyanine with pyridine, 2-methylpyridine, morpholine, piperidine, n-butylamine, tert-butylamine, diethylamine, and triethylamine in benzene has been studied. The acid–base reaction involving n-butylamine and piperidine is an unusually slow process, leading to the formation of kinetically stable proton transfer complexes. The structure of these complexes is proposed. The change in the reactivity of tetraphenoxy-substituted phthalocyanines depending on the proton-acceptor ability and spatial structure of the nitrogen-containing base is considered. Pyridine, 2-methylpyridine, and morpholine do not form proton transfer complexes because of their weak basicity. A similar picture is observed in the case of tert-butylamine, diethylamine, and triethylamine, which have a more sterically screened nitrogen atom than that in n-butylamine and, as a result, do not react with tetraphenoxy-substituted phthalocyanines.
About the authors
O. A. Petrov
Ivanovo State University of Chemical Technology
Email: poa@isuct.ru
153000, Ivanovo, Russia
A. A. Maksimova
Ivanovo State University of Chemical Technology
Email: poa@isuct.ru
153000, Ivanovo, Russia
A. E. Rassolova
Ivanovo State University of Chemical Technology
Email: poa@isuct.ru
153000, Ivanovo, Russia
G. A. Gamov
Ivanovo State University of Chemical Technology
Email: poa@isuct.ru
153000, Ivanovo, Russia
E. E. Maizlish
Ivanovo State University of Chemical Technology
Author for correspondence.
Email: poa@isuct.ru
153000, Ivanovo, Russia
References
- Шапошников Г.П., Кулинич В.П., Майзлиш В.Е. Модифицированные фталоцианины и их структурные аналоги. М.: Красанд, 2012. С. 480.
- Gounden D.I., Van Zyl W.E., Nombona N. // Coord. Chem. Rev. 2020. V. 420. P. 213359.
- Ibrahim-Ouali M., Dumur F. // Molecules. 2019. V. 24. № 7. P. 1412.
- Петров О.А., Кузмина Е.Л., Майзлиш В.Е., Родионов А.В. // Журн. физ. химии. 2014. Т. 88. № 1. С. 11.
- Петров О.А., Осипова Г.В., Майзлиш В.Е. и др. // Журн. орган. химии. 2021. Т. 57. № 9. С. 1281.
- Han Y., Tang D., Wang G. et al. // European Polymer J. 2019. V. 111. P. 104.
- Ayşen Ãgar, Nazan Ocak Ìskeleli // Acta Crystallographica Section E. 2007. E63. P. 712.
- Frisch M.J., Trucks G.W., Schlegel H.D. et al. Gaussian09. Revision A. 02. Wallingsdorf CT: Gaussian Inc. 2016.
- Becke A.D. // Chem. Rhys. 1993. V. 98. P. 5648.
- Rassolov V.A., Ratner M.A., Pople J.A. et al. // Comp. Chem. 2001. V. 22. P. 976.
- Петров О.А. Журн. физ. химии. 2021. Т. 95. № 4. С. 549.
- Stuzhin P., Khelevina O., Berezin B. // Phthalocyanines: Properties and Applicatios. N. Y.: VCH Publ. Inc., 1996. V. 4. P. 23.
- Stuzhin P. A. // J. Porhyrins Phthalocyanines. 2003. V. 7. № 12. P. 813.
- Kokareva E.A., Petrov O.A., Khelevina O.G. // Macroheterocycles. 2009. V. 2. № 2. P. 157.
- Молекулярные взаимодействия / Под ред. Г. Ратайчака, У. Орвилл-Томаса. М.: Мир, 1984. Т. 2. 599 с.
- Zundell G. Hydrogen Bonds with Large Proton Polarizability and Transfer Processes in Electrochemistry and Biology. / Ed. I. Prigogin, S.F. Rise. N. Y.: Wiley and Sons. Inc. 2000. P. 217.
- Березин Д.Б. Макроциклический эффект и структурная химия порфиринов. М.: Красанд, 2010. С. 424.
- CPC Handbook of Chemistry and Physics / Ed. by William. M. Haynes. N. Y. 2013. P. 2668.
- Anet F.A.L., Yavari I. // J. Amer. Chem. Soc. 1977. V. 99. P. 2794.
- Blackburne I.D., Katritzky A.R., Takeuchi Y. // Accounts Chem. Res. 1975. V. 8. P. 300.
Supplementary files








