Electrochemical Behavior of a Gold Electrode in the Aqueous Potassium Salt of Bridging 1,2,4,5-Tetraoxane
- Authors: Polyakov M.V.1, Vedenyapina M.D.1, Skundin A.M.2, Yaremenko I.A.1, Radulov P.S.1, Kuznetsov V.V.1
-
Affiliations:
- Zelinskii Institute of Organic Chemistry, Russian Academy of Sciences
- Frumkin Institute of Physical Chemistry and Electrochemistry, Russian Academy of Sciences
- Issue: Vol 97, No 7 (2023)
- Pages: 972-979
- Section: PHYSICAL CHEMISTRY OF SOLUTIONS
- Submitted: 15.10.2023
- Published: 01.07.2023
- URL: https://bakhtiniada.ru/0044-4537/article/view/136623
- DOI: https://doi.org/10.31857/S0044453723070221
- EDN: https://elibrary.ru/SMEKND
- ID: 136623
Cite item
Full Text
Abstract
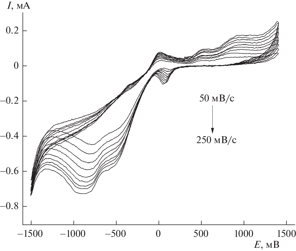
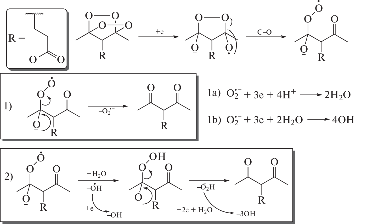
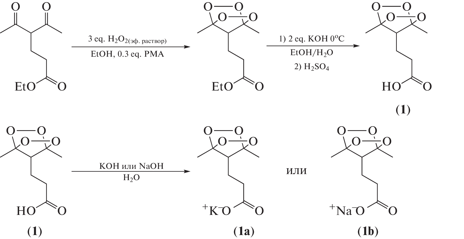
The behavior of a smooth gold electrode in aqueous solutions of the potassium salt of bridging 1,2,4,5-tetraoxane containing a biperoxide cyclic fragment was studied by cyclic voltammetry. The cathode process was analyzed in detail. It was shown that the process involves four electrons. The products of electrolysis of the potassium salt were studied, and a reaction mechanism was proposed.
Keywords
About the authors
M. V. Polyakov
Zelinskii Institute of Organic Chemistry, Russian Academy of Sciences
Email: SatPolyak@yandex.ru
119991, Moscow, Russia
M. D. Vedenyapina
Zelinskii Institute of Organic Chemistry, Russian Academy of Sciences
Email: kuznvv@yandex.ru
119991, Moscow, Russia
A. M. Skundin
Frumkin Institute of Physical Chemistry and Electrochemistry, Russian Academy of Sciences
Email: kuznvv@yandex.ru
119991, Moscow, Russia
I. A. Yaremenko
Zelinskii Institute of Organic Chemistry, Russian Academy of Sciences
Email: kuznvv@yandex.ru
119991, Moscow, Russia
P. S. Radulov
Zelinskii Institute of Organic Chemistry, Russian Academy of Sciences
Email: kuznvv@yandex.ru
119991, Moscow, Russia
V. V. Kuznetsov
Zelinskii Institute of Organic Chemistry, Russian Academy of Sciences
Author for correspondence.
Email: kuznvv@yandex.ru
119991, Moscow, Russia
References
- Wenzel D.G., Smith C.M. // J. Am. Pharm. Assoc. Am. Pharm. Assoc. 1958. V. 47. № 11. P. 792–794. https://doi.org/10.1002/jps.3030471109
- Panic G., Duthaler U., Speich B., Keiser J. // Int. J. Parasitol. Drugs Drug. Resist. 2014. V. 4. № 3. P. 185–200. https://doi.org/10.1016/j.ijpddr.2014.07.002
- Perry T.L., Dickerson A., Khan A.A. et al. // Tetrahedron. 2001. V. 57. № 8. P. 1483–1487. https://doi.org/10.1016/S0040-4020(00)01134-0
- Otoguro K., Iwatsuki M., Ishiyama A. et al. // Phytochemistry. 2011. V. 72. № 16. P. 2024–2030. https://doi.org/10.1016/j.phytochem.2011.07.015
- Coghi P. Yaremenko I.A., Prommana P. et al. // ChemMedChem. 2022. V. 17. № 20.
- Chen Y., Killday K.B., McCarthy P.J. et al. // J. Nat. Prod. 2001. V. 64. № 2. P. 262. https://doi.org/10.1021/np000368+
- Gunasekera S.P., Gunasekera M., Gunawardana G.P. et al. // J. Nat. Prod. 2004. V. 53. № 3. P. 669. https://doi.org/10.1021/np50069a021
- Yaremenko I.A., Radulov P.S., Belyakova Y.Y. et al. // Chem Eur. J. 2020. V. 26. № 21. P. 4734.
- Yaremenko I.A., Radulov P.S., Belyakova Y.Y. et al. // Molecules. 2020. V. 25. № 8. P. 1954.
- Yu D.Q., Chen R.Y., Huang L.J. et al. // J. Asian Nat. Prod. Res. 2008. V. 10. № 9–10. P. 851. https://doi.org/10.1080/10286020802144677
- Dias D.A., Urban S. // Nat. Prod. Commun. 2009. V. 4. № 4. P. 489. https://doi.org/10.1177/1934578X0900400409
- Vil’ V.A., Yaremenko I.A., Ilovaisky A.I., Terent’ev A.O. // Synthesis and Reactions. Molecules. 2017. V. 22. № 11. P. 1881. https://doi.org/10.3390/molecules22111881
- Herrmann L., Yaremenko I.A., Çapcı A. et al. // ChemMedChem. 2022. V. 17. № 9.
- Yaremenko I.A., Coghi P., Prommana P. et al. // ChemMedChem. 2020. V. 15. № 13. P. 1118. https://doi.org/10.1002/cmdc.202000042
- Tyumkina T.V., Makhmudiyarova N.N., Kiyamutdinova G.M. et al. // Tetrahedron. 2018. V. 74. № 15. P. 1749. https://doi.org/10.1016/j.tet.2018.01.045
- Yaremenko I.A., Syroeshkin M.A., Levitsky D. et al. // Med. Chem. Res. 2017. V. 26. № 1. P. 170.
- Stringle D.L., Magri D.C., Workentin M.S. // Chemistry. 2010. V. 16. № 1. P. 178. https://doi.org/10.1002/chem.200902023
- Magri D.C., Donkers R.L., Workentin M.S. // J. Photochem. Photobiol., A. 2001. V. 138. № 1. P. 29. https://doi.org/10.1016/S1010-6030(00)00386-5
- Веденяпина М.Д., Скундин А.М., Виль В.А. и др. // Журн. физ. хим. 2020. Т. 94. № 4. С. 624. https://doi.org/10.1134/S0036024420040238
- Веденяпина М.Д., Виль В.А., Терентьев А.О., Веденяпин А.А. // Изв. АН. Сер. Хим. 2017. Т. 66. № 11. С. 2044. https://doi.org/10.1007/s11172-017-1979-1
- Веденяпина М.Д., Симакова А.П., Платонов М.М. и др. // Журн. физ. химии. 2013. Т. 87. № 3. С. 418. https://doi.org/10.1134/S0036024413030333
- Веденяпина М.Д., Скундин А.М., Виль В.А. и др. // Там же. 2021. Т. 95. № 1. С. 147. https://doi.org/10.1134/S0036024421010313
- Terent’ev A.O., Borisov D.A., Chernyshev V.V., Nikishin G.I. // J. Org. Chem. 2009. V. 74. № 9. P. 3335. https://doi.org/10.1021/jo900226b
- Хенце Г. пер. с нем. А.В. Гармаша и А.И. Каменева. Полярография и вольтамперометрия. Теоретические основы и аналитическая практика. М.: БИНОМ. Лаборатория знаний, 2008. С. 43.
- Savéant J. // Advances in Physical organic chemistry. 2000. V. 35. P. 117. https://doi.org/10.1016/s0065-3160(00)35013-4
- Rand D.A.J., Woods R. // J. Electroanal. Chem. 1972. V. 35. № 1. P. 209. https://doi.org/10.1016/S0022-0728(72)80308-5
- Mohammad M., Khan A.Y., Subhani M.S. et al. // Res. Chem. Intermed. 2001. V. 27. № 3. P. 259. https://doi.org/10.1163/156856701300356473
- Chang X., Batchelor-McAuley C., Compton R.G. // Chem. Sci. 2020. V. 11. P. 4416. https://doi.org/10.1039/d0sc00379d
Supplementary files











