Non-Equilibrium Shells around Precipitates During the Decomposition of a Three-Component Alloy
- Authors: Razumov I.K.1
-
Affiliations:
- Institute of the Physics of Metals, Russian Academy of Sciences, Ural Branch
- Issue: Vol 97, No 3 (2023)
- Pages: 426-433
- Section: PHYSICAL CHEMISTRY OF DISPERSED SYSTEMS AND SURFACE PHENOMENA
- Submitted: 15.10.2023
- Published: 01.03.2023
- URL: https://bakhtiniada.ru/0044-4537/article/view/136590
- DOI: https://doi.org/10.31857/S0044453723030238
- EDN: https://elibrary.ru/DYETOA
- ID: 136590
Cite item
Full Text
Abstract
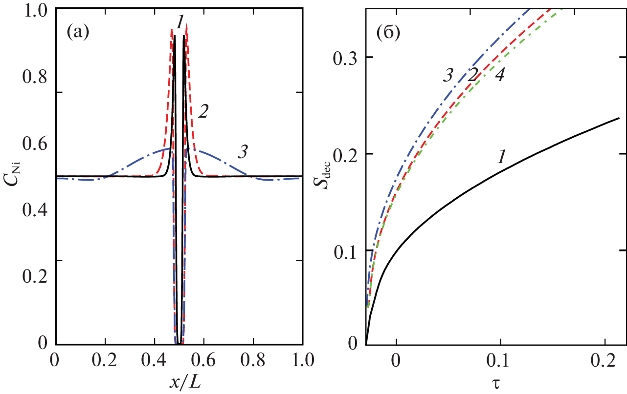
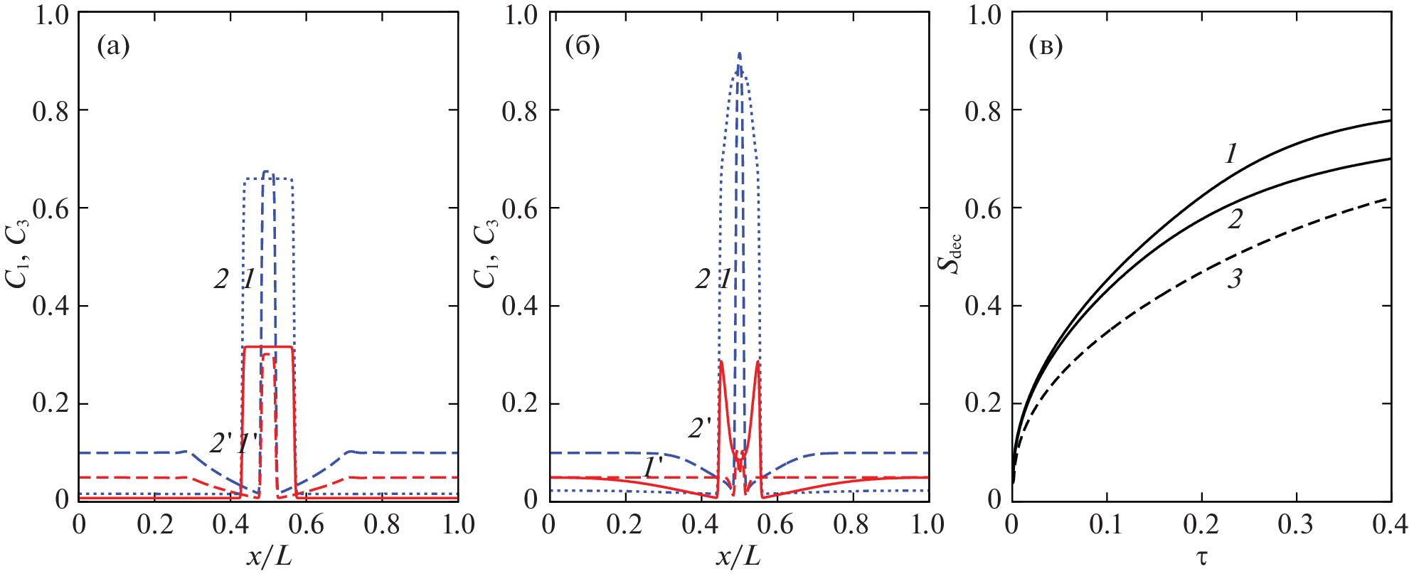
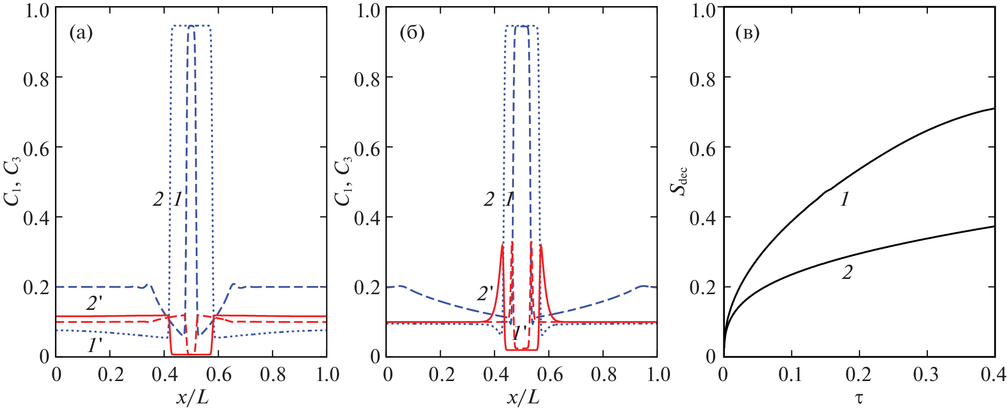
The kinetic theory of diffusion over vacancies is used to obtain expressions for the fluxes of atoms in a three-component alloy. This hole gas approach allows us to express kinetic coefficients in terms of the coefficients of diffusion of labeled atoms from microscopic considerations. The conditions for the formation of nonequilibrium impurity shells are revealed by studying the kinetics of decomposition using these expressions. These shells can considerably inhibit the growth of precipitates and change the properties of the alloy.
About the authors
I. K. Razumov
Institute of the Physics of Metals, Russian Academy of Sciences, Ural Branch
Author for correspondence.
Email: rik@imp.uran.ru
6200990, Yekaterinburg, Russia
References
- Gayle F.W., Goodway M. // Sci. 1994. V. 266. P. 1015.
- Suna F., Zhang J.Y., Vermaut P. et al. // Mater. Res. Lett. 2017. V. 5. P. 547.
- Jiang S., Wang H., Wu Y. et al. // Nature. 2017. V. 544 (7651). P. 460.
- Leslie W.C. and Hornbogen E. in Physical Metallurgy / Ed. by R. W. Cahn and P. Haasen. North-Holland, Amsterdam, 1996.
- Vaynman S., Guico R.S., Fine M.E., Manganello S.J. // Metall. Trans. 1997. V. 28A. P. 1274.
- Perez M., Perrard F., Massardier V. et al. // Philos. Mag. 2005. V. 85. P. 2197.
- Mangonon P.L. // Metall. Trans. A. 1976. V. 7A. P. 1389.
- Jiao Z.B., Luan J.H., Miller M.K. et al. // Materials Today. 2017. V. 20. № 3. P. 142.
- Mulholland M.D., Seidman D.N. // Acta Mater. 2011. V. 59. P. 1881.
- Michaud P., Delagnes D., Lamesle P. et al. // Acta Mater. 2007. V. 55. P. 4877.
- Ha D.J., Sung H.K., Park J.W., Lee S. // Metall. Mater. Trans. A. 2009. V. 40A. P. 2568.
- Schemmann L., Zaefferer S., Raabe D. et al. // Acta Mater. 2015. V. 95. P. 386.
- Кристиан Дж. Теория превращений в металлах и сплавах. М.: Мир, 1978. 806 с.
- Becker R. // Proc. Phys. Soc. 1940. V. 52. P. 71–76.
- Cahn J.W. and Hilliard J.E. // J. Chem. Phys. 1958. V. 28. P. 258.
- Cahn J.W. // Acta Metall. 1961. V. 9. P. 795.
- Lifshits I.M., Slyozov V.V. // J. Phys. Chem. Solids. 1961. V. 19. P. 35.
- Chen L.Q. // Acta Metallurgica et Materialia. 1994. V. 42. № 10. P. 3503.
- Clouet E., Lae L., Epicier T. et al. // Nature Materials. 2006. V. 5. P. 482–489.
- Ghosh S., Mukherjeez A., Abinandanan T.A. and Bose S. // Physical Chemistry Chemical Physics. 2017. V. 19. 15424 (10 pp).
- Bhaskar M.S., Abinandanan T.A. // Comp. Materials Science. 2018. V. 146. P. 73.
- Разумов И.К., Горностырев Ю.Н. // ФТТ. 2019. V. 61. P. 2462.
- Гегузин Я.Е. Диффузионная зона. М.: Наука, 1979. 344 с.
- Разумов И.К. // ФТТ. 2022. V. 64. P. 19.
- Smigelskas A.D., Kirkendall E.O. // Trans. Am. Inst. Min. (Metall.) Engrs. 1947. V. 171. P. 130.
- Гапонцев В.Л., Разумов И.К., Горностырев Ю.Н. и др. // ФММ 2005. Т. 99. № 4. С. 26.
- Разумов И.К., Горностырев Ю.Н. Влияние границ зерен на кинетику распада твердых растворов / В сб. научн. тр. IV школы-семинара “Фазовые и структурные превращения в сталях”, Магнитогорск, 2006. С. 99.
- Razumov I.K., Gornostyrev Yu.N., Yermakov A.Ye. // J. Alloys and Compounds. 2007. V. 434–435. P. 535.
- Процессы взаимной диффузии в сплавах / Под ред. К.П. Гурова. М.: Наука, 1973. 359 с.
- Терехов С.В. // ЖТФ. 2007. Т. 77. № 8. С. 36.
- Razumov I.K. // J. Engineering Physics and Thermophysics. 2008. V. 81. № 4. P. 826.
- Iguchi Y., Katona G., Cserhati C. et al. // Acta Materialia. 2018. V. 148. P. 49.
- Xing Jun Liu, Feng Gao, Cui Ping Wang, and Kiyohito Ishida // J. Electronic Matertials. 2008. V. 37. № 2. P. 210.
- Landolt-Börnstein: Numerical Data and Functional Relationships in Science and Technology, New Series, Group III: Crystal and Solid State Physics. V. 26. Diffusion in Metals and Alloys / Ed. by H. Mehrer. – Springer-Verlag, Berlin, 1990. 747 pp.
Supplementary files





