Низкотемпературный синтез металл-органических координационных полимеров на основе оксо-центрированных комплексов железа, магнитные и адсорбционные свойства
- Авторы: Баймуратова Р.К.1, Жинжило В.А.2, Уфлянд И.Е.2, Дмитриев А.И.1, Жидков М.В.1, Ованесян Н.С.1, Кугабаева Г.Д.1, Джардималиева Г.И.1,3
-
Учреждения:
- Российская академия наук, ФГБУН ФИЦ проблем химической физики и медицинской химии
- Южный федеральный университет
- Московский авиационный институт (национальный исследовательский университет)
- Выпуск: Том 97, № 4 (2023)
- Страницы: 543-558
- Раздел: ФИЗИЧЕСКАЯ ХИМИЯ ДИСПЕРСНЫХ СИСТЕМ И ПОВЕРХНОСТНЫХ ЯВЛЕНИЙ
- Статья получена: 15.10.2023
- Статья опубликована: 01.04.2023
- URL: https://bakhtiniada.ru/0044-4537/article/view/136573
- DOI: https://doi.org/10.31857/S0044453723040064
- EDN: https://elibrary.ru/TEBTWC
- ID: 136573
Цитировать
Полный текст
Аннотация
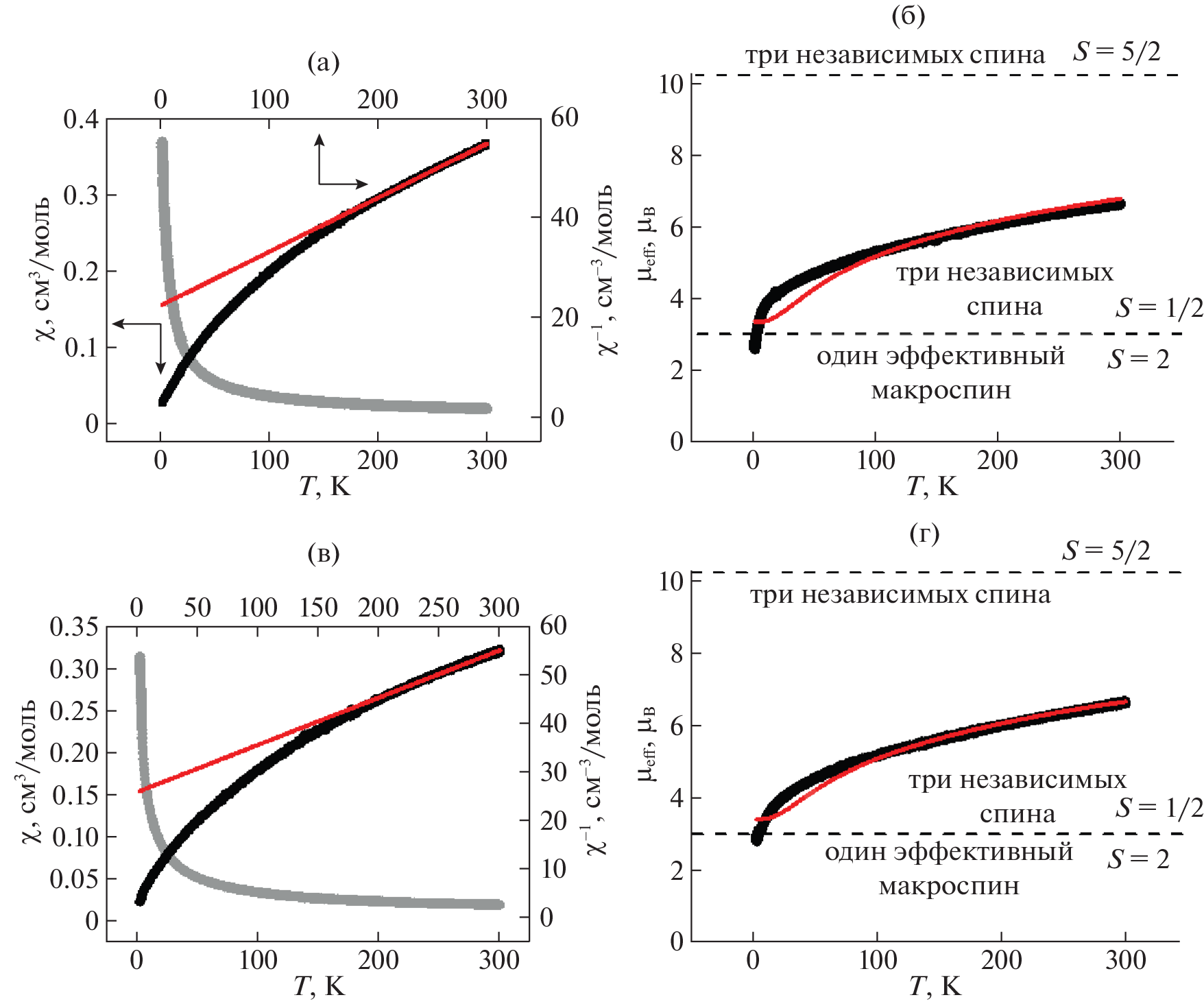
Настоящее исследование демонстрирует низкотемпературный подход получения мезопористых металл-органических каркасов с использованием нетоксичных растворителей и предсинтезированных полиядерных комплексов железа в качестве вторичных строительных блоков. Полученные соединения охарактеризованы с помощью ИК- и мессбауэровской спектроскопии, рентгенофазового анализа, термогравиметрии и дифференциальной сканирующей калориметрии; определена удельная поверхность полученных соединений и адсорбционная способность по отношению к органическим красителям метиленового синего и конго красного. Особенное внимание уделено изучению зависимости магнитного момента от температуры М(Т) и напряженности магнитного поля М(Н) для полученных образцов. Адсорбционные характеристики и эффективность сорбции красителей были определены путем варьирования таких факторов, как время контакта, количество адсорбента и температуры. Показано, что удаление красителя исследуемой концентрации свыше 90% наблюдается уже через 20–30 мин от начала адсорбции. Изотермы Ленгмюра и Фрейндлиха были использованы для описания экспериментальных данных. Показано, что процесс адсорбции при исследуемой начальной концентрации красителя наиболее точно описывается изотермой адсорбции Ленгмюра. На основе кинетических уравнений псевдовторого порядка рассчитаны константы скорости адсорбции.
Ключевые слова
Об авторах
Р. К. Баймуратова
Российская академия наук, ФГБУН ФИЦ проблем химической физики и медицинской химии
Email: dzhardim@icp.ac.ru
Россия, Московская область, Черноголовка
В. А. Жинжило
Южный федеральный университет
Email: dzhardim@icp.ac.ru
Россия, г. Ростов-на-Дону
И. Е. Уфлянд
Южный федеральный университет
Email: dzhardim@icp.ac.ru
Россия, г. Ростов-на-Дону
А. И. Дмитриев
Российская академия наук, ФГБУН ФИЦ проблем химической физики и медицинской химии
Email: dzhardim@icp.ac.ru
Россия, Московская область, Черноголовка
М. В. Жидков
Российская академия наук, ФГБУН ФИЦ проблем химической физики и медицинской химии
Email: dzhardim@icp.ac.ru
Россия, Московская область, Черноголовка
Н. С. Ованесян
Российская академия наук, ФГБУН ФИЦ проблем химической физики и медицинской химии
Email: dzhardim@icp.ac.ru
Россия, Московская область, Черноголовка
Г. Д. Кугабаева
Российская академия наук, ФГБУН ФИЦ проблем химической физики и медицинской химии
Email: dzhardim@icp.ac.ru
Россия, Московская область, Черноголовка
Г. И. Джардималиева
Российская академия наук, ФГБУН ФИЦ проблем химической физики и медицинской химии; Московский авиационный институт (национальный исследовательский университет)
Автор, ответственный за переписку.
Email: dzhardim@icp.ac.ru
Россия, Московская область, Черноголовка; Россия, Москва
Список литературы
- Batten S.R., Champness N.R., Chen X.M. et al. // Pure Appl. Chem. 2013. V. 85. № 8. P. 1715. https://doi.org/10.1351/PAC-REC-12-11-20
- Lin R.-B., Xiang S., Xing H. et al. // Coord. Chem. Rev. 2017. V. 378. P. 87. https://doi.org/10.1016/j.ccr.2017.09.027
- Pariichuk M.Y., Kopytin K.A., Onuchak L.A. et al. // Russ. J. Phys. Chem. A. 2021. V. 95. P. 806. https://doi.org/10.1134/S0036024421040208
- Lázaro I.A., Forgan R.S. // Coord. Chem. Rev. 2019. V. 380. P. 230. https://doi.org/10.1016/j.ccr.2018.09.009
- Lee S., Kapustin E.A., Yaghi O.M. // Science. 2017. V. 353. № 630. P. 808. https://doi.org/10.1126/science.aaf9135
- Kustov L.M., Isaeva V.I., Přech J., Bisht K.K. // Mendeleev Commun. 2019. V. 29. № 4. P. 361. https://doi.org/10.1016/j.mencom.2019.07.001
- Isaeva V.I., Nefedov O.M., Kustov L.M. // Catalysts. 2018. V. 8. № 9. P. 1. https://doi.org/10.3390/catal8090368
- Golovashova E.S., Kulev V.A., Kudrik E.V. et al. // Russ. J. Phys. Chem. A. 2020. V. 94. № 3. P. 638. https://doi.org/10.1134/S0036024420030115
- Hu H., He Y.P., Zhang Y.L. et al. // Russ. J. Phys. Chem. A. 2022. V. 96. P. S44. https://doi.org/10.1134/S0036024422140138
- Jabarian S., Ghaffarinejad A. // J. Inorg. Organomet. Polym. 2019. V. 29. P. 1565. https://doi.org/10.1007/s10904-019-01120-4
- Chen D., Zhao J., Zhang P., Dai S. // Polyhedron. 2019. V. 162. P. 59–64. https://doi.org/10.1016/j.poly.2019.01.024
- Khan N.A., Jhung S.H. // Coord. Chem. Rev. 2015. V. 285. P. 11. https://doi.org/10.1016/j.ccr.2014.10.008
- Sargazi G., Afzali D., Mostafavi A. // Ultrason. Sonochem. 2018. V. 41. P. 234. https://doi.org/10.1016/j.ultsonch.2017.09.046
- Burgaz E., Erciyes A., Andac M., Andac O. // Inorg. Chim. Acta. 2019. V. 485. P. 118. https://doi.org/10.1016/j.ica.2018.10.014
- Chen Y., Li S., Pei X. et al. // Angew. Chem. Int. Ed. 2016. V. 55. № 10. P. 3419. https://doi.org/10.1002/anie.201511063
- Zhang R., Ji S., Wang N. et al. // Angew. Chem. Int. Ed. 2014. V. 53. № 37. P. 9775. https://doi.org/10.1002/anie.201403978
- Kalmutzki M.J., Hanikel N., Yaghi O.M. // Sci. Adv. 2018. V. 4. № 10. P. eaat9180. https://doi.org/10.1126/sciadv.aat9180
- Feng L., Wang K.-Y., Powell J., Zhou H.-C. // Matter. 2019. V. 1. P. 801. https://doi.org/10.1016/j.matt.2019.08.022
- Xue Y., Zheng S., Xue H., Pang H. // J. Mater. Chem. A. 2019. V. 7. P. 7301. https://doi.org/10.1039/c8ta12178h
- Baumann A.E., Burns D.A., Liu B., Thoi V.S. // Commun. Chem. V. 2. № 1. P. 86. https://doi.org/10.1038/s42004-019-0184-6
- Wu H., Chua Y.S., Krungleviciute V. // J. Am. Chem. Soc. 2013. V. 135. № 28. P. 10525. https://doi.org/10.1021/ja404514r
- Dzhardimalieva G.I., Baimuratova R.K., Knerelman E.I. et al. // Polymers. 2020. V. 12. P. 1024. https://doi.org/10.3390/polym12051024
- Chen Y., Ma S. // Dalton Trans. 2016. V. 45. P. 9744. https://doi.org/10.1039/C6DT00325G
- Cheetham A.K., Rao C.N.R., Feller R.K. // Chem. Commun. 2006. V. 46. P. 4780–4795. https://doi.org/10.1039/B610264F
- Baimuratova R.K., Golubeva N.D., Dzhardimalieva G.I. et al. // KEM. 2019. V. 816. P. 108. https://doi.org/10.4028/www.scientific.net/KEM.816.108
- Au V.K.-M. // Front. Chem. 2020. V. 8. https://doi.org/10.3389/fchem.2020.00708
- Khan N.A., Hasan Z., Jhung S.H. // J. Hazard. Mater. 2013. V. 244–245. P. 444. https://doi.org/10.1016/j.jhazmat.2012.11.011
- Katheresan V., Kansedo J., Lau S.Y. // J. Environ. Chem. Eng. 2018. V. 6. P. 4676. https://doi.org/10.1016/j.jece.2018.06.060
- Pakamorė I., Rousseau J., Rousseau C. et al. // Green Chem. 2018. V. 20. P. 5292. https://doi.org/10.1039/C8GC02312C
- Huo S.-H., Yan X.-P. // J. Mater. Chem. 2012. V. 22. № 15. P. 7449. https://doi.org/10.1039/C2JM16513A
- Robson R., Abrahams B.F., Batten S.R. et al. // ACS Symp. Ser. 1992. V. 499. № 19. P. 256. https://doi.org/10.1021/bk-1992-0499.ch019
- Rosi N.L., Eddaoudi M., Kim J. et al. // Cryst. Eng. Comm. 2002. V. 4. № 68. P. 401. https://doi.org/10.1039/B203193K
- Schoedel A., Zaworotko M.J. // Chem. Sci. 2014. V. 5. № 4. P. 1269. https://doi.org/10.1039/C4SC00171K
- Zou M., Dong M., Zhao T. // IJMS. 2022. V. 23. № 16. P. 9396 https://doi.org/10.3390/ijms23169396
- Kuznicki A., Lorzing G.R., Bloch E.D. // Chem. Commun. The Royal Society of Chemistry, 2021. V. 57. № 67. P. 8312. https://doi.org/10.1039/D1CC02104D
- Chen X.Y., Hoang V.-T., Rodrigue D., Kaliaguin, S. RSC Adv. The Royal Society of Chemistry, 2013. V. 5. № 46. P. 24266. https://doi.org/10.1039/C3RA43486A
- Zorainy M.Y., Gar Alalm M., Kaliaguine S., Boffito D.C. // J. Mater. Chem. A. 2021. V. 9. № 39. P. 22159. https://doi.org/10.1039/D1TA06238G
- Carson F., Su J., Platero-Prats A.E. et al. // Crystal Growth & Design. 2013. V. 13. № 11. P. 5036. https://doi.org/10.1021/cg4012058
- Millange F., Guillou N., Walton R.I. et al. // Chem. Commun. The Royal Society of Chemistry. 2008. № 39. P. 4732. https://doi.org/10.1039/B809419E
- Shin J., Kim M., Cirera J. et. al. // J. Mater. Chem. A. 2015. V. 3. № 8. P. 4738. https://doi.org/10.1039/C4TA06694D
- Pham H., Ramos K., Sua A. et al. // ACS Omega. 2020. V. 5. № 7. P. 3418. https://doi.org/10.1021/acsomega.9b03696
- Ma M., Bétard A., Weber I. et al. // Crystal Growth & Design. American Chemical Society. 2013. V. 13. № 6. P. 2286. https://doi.org/10.1021/cg301738p
- Xuan Huynh N.T., Chihaia V., Son D.N. // J Mater Sci. 2019. V. 54. № 5. P. 3994. https://doi.org/10.1007/s10853-018-3140-4
- McKinlay A.C., Morris R.E., Horcajada P. et al. // Angewandte Chemie International Edition. 2010. V. 49. № 36. P. 6260.https://doi.org/10.1002/anie.201000048
- Zheng Y.-Z., Tong M.-L., Xue W. et al. // Angew. Chem. Int. Ed. 2007. V. 46. № 32. P. 6076. https://doi.org/10.1002/anie.200701954
- Laurikėnas A., Barkauskas J., Reklaitis J. et al. // Lith. J. Phys. 2016. V. 56. № 1. P. 35. https://doi.org/10.3952/physics.v56i1.3274
- Simonin J.-P. // Chem. Eng. J. 2016. V. 300. P. 254. https://doi.org/10.1016/j.cej.2016.04.079
- Yuh-Shan H. // Scientometrics. 2004. V. 59. P. 171. https://doi.org/10.1023/B:SCIE.0000013305.99473.cf
- Ho Y.S., Ng J.C.Y., McKay G. // Separation and Purification Methods. 2000. V. 29. P. 189. https://doi.org/10.1081/SPM-100100009
- Osmari T.A., Gallon R., Schwaab M. et al. // Adsorp. Sci. Technol. 2013. V. 31. № 5. P. 433 https://doi.org/10.1260/0263-6174.31.5.433
- Zhang H., Gong X., Song Z. et al. // Optical Materials. 2021. V. 113. P. 110865. https://doi.org/10.1016/j.optmat.2021.110865
- Horcajada P., Salles F., Wuttke S. et al. // J. Am. Chem. Soc. 2011. V. 133. № 44. P. 17839. https://doi.org/10.1021/ja206936e
- Aguiar L.W., Otto G.P., Kupfer V.L. et al. // Materials Letters. 2020. V. 276. P. 128127. https://doi.org/10.1016/j.matlet.2020.128127
- Zorainy M.Y., Kaliaguine S., Gobara M. et al. // J. Inorg Organomet Polym. 2022. V. 32. № 7. P. 2538. https://doi.org/10.1007/s10904-022-02353-6.1
- Guo M., Li H. // Front. Energy Res. 2021. V. 9. P. 781008.https://doi.org/10.3389/fenrg.2021.781008
- Nakamoto K. Infrared and Raman spectra of inorganic and coordination compounds. 6th ed. Hoboken, N.J: Wiley, 2009. 419 p.
- Deacon G.B., Huber F., Phillips R.J. // Inorganica Chimica Acta. 1985. V. 104. № 1. P. 41. https://doi.org/10.1016/s0020-1693(00)83783-4
- Khamizov R.K.A. // Russ. J. Phys. Chem. A. 2020. V. 94. № 1. P. 171.https://doi.org/10.1134/S0036024420010148
- McKinlay A.C., Eubank J.F., Wuttke S. et al. // Chem. Mater. 2013. V. 25. P. 1592. https://doi.org/10.1021/cm304037x
- Zango Z.U., Abu Bakar N.H.H., Sambudi N.S. et al. // J. Environ. Chem. Eng. 2020. V. 8. P. 103544.https://doi.org/10.1016/j.jece.2019.103544
- Zhao X., Liu S., Tang Z. et al. // Sci. Rep. 2015. V. 5. P. 11849. https://doi.org/10.1038/srep11849
- Bain G.A., Berry J.F. // J. Chem. Educ. 2008. V. 85. № 4. P. 532. https://doi.org/10.1021/ed085p532
- Boča R. A Handbook of Magnetochemical Formulae / R. Boča, 1st ed. 2012-e изд., London; Waltham, MA: Elsevier, 2012. 991 c.
- Dziobkowski C., Wrobleski J.T., Brown D.B. // Inorg. Chem. 1981. V. 20. № 3. P. 671. https://doi.org/10.1021/ic50217a007
Дополнительные файлы













