Acid Hydrolysis of Glycosyl–Glycose Bond Disaccharides in Water–Organic Media
- Authors: Kushner M.A.1, Seliverstova T.S.1, Matusevich L.G.1
-
Affiliations:
- Belarus State Technological University
- Issue: Vol 97, No 3 (2023)
- Pages: 363-369
- Section: CHEMICAL KINETICS AND CATALYSIS
- Submitted: 15.10.2023
- Published: 01.03.2023
- URL: https://bakhtiniada.ru/0044-4537/article/view/136566
- DOI: https://doi.org/10.31857/S0044453723030160
- EDN: https://elibrary.ru/DXSSCY
- ID: 136566
Cite item
Full Text
Abstract
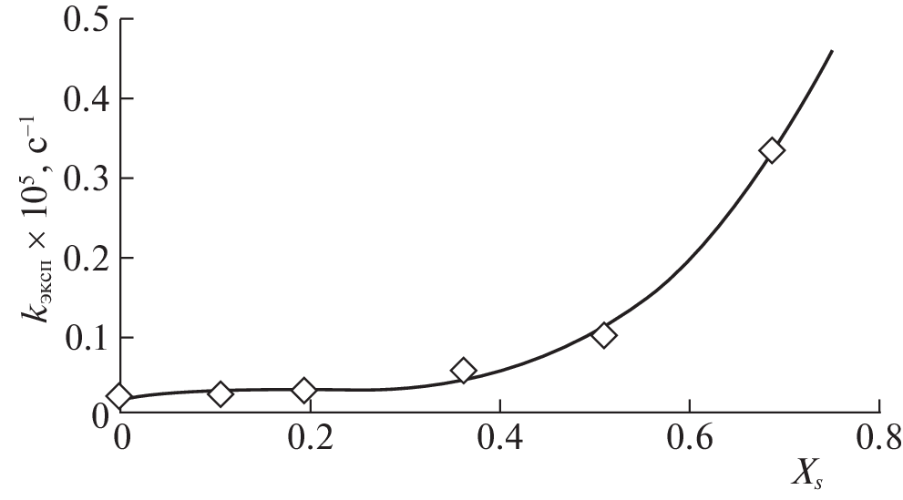
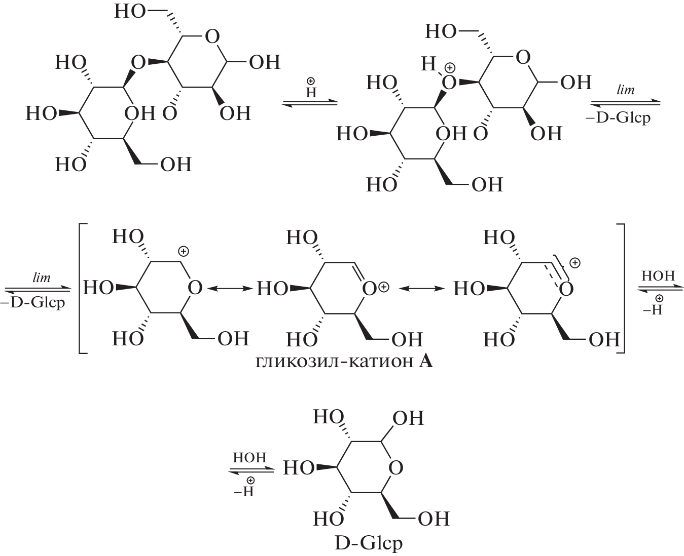
Kinetic parameters (rate constants, energies and entropies of activation) of the acid-catalytic hydrolysis of reducing disaccharides cellobiose and lactose are determined in a wide range of mixtures of water and organic solvents (dioxane, acetone, DMSO, and acetic acid). It is shown that raising the content of the organic solvent accelerates the hydrolysis of the glycosidic bonds in different ways. The effect solvents have on the rate and mechanism of the studied reaction is discussed on the basis of solvation concepts.
Keywords
About the authors
M. A. Kushner
Belarus State Technological University
Email: makushner@yandex.ru
220006, Minsk, Belarus
T. S. Seliverstova
Belarus State Technological University
Email: makushner@yandex.ru
220006, Minsk, Belarus
L. G. Matusevich
Belarus State Technological University
Author for correspondence.
Email: makushner@yandex.ru
220006, Minsk, Belarus
References
- Книрель Ю.А., Науменко О.И., Севченкова С.Н. и др. // Успехи химии. 2019. Т. 88. Вып. 4. С. 406. = label:RUSSIFNhttps://doi.org/10.1070/RCR4856?locant
- Кучина Ю.А., Дубровин С.Ю., Коновалова И.Н. // Рыбное хоз-во. 2009. № 4. С. 115.
- Бочков А.Ф., Афанасьев В.А., Заиков Г.Е. Образование и расщепление гликозидных связей. М.: Наука, 1978. 180 с.
- Корольков И.И. Перколяционный гидролиз растительного сырья. М.: Изд-во “Лесн. пром-сть”. 1990. 272 с.
- Барбаш В.А. // Энерготехнологии и ресурсосбережение. 2012. № 1. С. 27.
- Гермер Э.И. // Лесной журнал. 2003. № 4. С. 99.
- Синицын А.П., Синицына О.А. // Успехи биол. химии. 2021. Т. 61. С. 347.
- Селиверстова Т.С., Кушнер М.А., Матусевич Л.Г. // Журн. физ. химии. 2020. Т. 94. № 2. С. 230. https://doi.org/10.31857/S0044453720020314
- Денеш И. Титрование в неводных средах. М.: Мир, 1971. 413 с.
- Усов А.И., Яроцкий С.В. // Изв. АН СССР. Сер. хим. 1974. № 4. С. 877.
- Амис Э.А. Влияние растворителя на скорость и механизм химических реакций. М.: Мир, 1968. 328 с.
- Богачев Н.А., Любичев Д.А., Никольский А.Б. и др. // Журн. общ. химии. 2018. Т. 88. № 1. С. 3.
- Suzuki T., Fujisawa M., Takagi S. et al. // J. Thermal Analysis and Calorimetry. 2006. V. 85. № 3. P. 545.https://doi.org/10.1007/s10973-006-7658-3
- Guang Y., Masaaki W., Toshiyuki T. // J. Mol. Liq. 2001. V. 94. P. 273. https. //doi: https://doi.org/10.1016/S0167-7322(01)00275-6
- Bunton C.A., Mhalo M.M., Moffatt J.N. // J. Org. Chem. 1984. V. 49. P. 3639.
- Верстаков Е.С., Коробкова С.А., Носаева Т.А. // Журн. физ. химии. 2020. T. 94. № 4. С. 564.
- Wong D.B., Sokolowsky K.P., El-Barghouthi M.I. et al. // J. Phys. Chem. B. 2012. V. 116. P. 5479. https://doi.org/10.1021/jp301967e
- Бакирова Г.А. // Изв. НАН КР. 2010. № 2. С. 108.
- Гринева Н.Ф. Термодинамика хлористого водорода и его кислотность в смесях диоксана с водой: Автореф. дис. … канд. хим. наук. Харьков, 1974, 22 с.
Supplementary files









