Adsorption of Cr(VI) by Nanosized Rutile under the Action of UV Radiation
- Autores: Pechishcheva N.V.1, Ordinartsev D.P.1, Valeeva A.A.2,3, Zaitseva P.V.1, Korobitsyna A.D.1, Sushnikova A.A.1,3, Kim A.V.2, Shunyaev K.Y.1, Rempel A.A.1,3
-
Afiliações:
- Institute of Metallurgy, Ural Branch, Russian Academy of Sciences
- Institute of Solid State Chemistry, Ural Branch, Russian Academy of Sciences
- Ural Federal University named after the First President of Russia B. N. Yeltsin
- Edição: Volume 97, Nº 2 (2023)
- Páginas: 279-284
- Seção: PHYSICAL CHEMISTRY OF DISPERSED SYSTEMS AND SURFACE PHENOMENA
- ##submission.dateSubmitted##: 15.10.2023
- ##submission.datePublished##: 01.02.2023
- URL: https://bakhtiniada.ru/0044-4537/article/view/136528
- DOI: https://doi.org/10.31857/S0044453723020206
- EDN: https://elibrary.ru/EJXZIO
- ID: 136528
Citar
Texto integral
Resumo
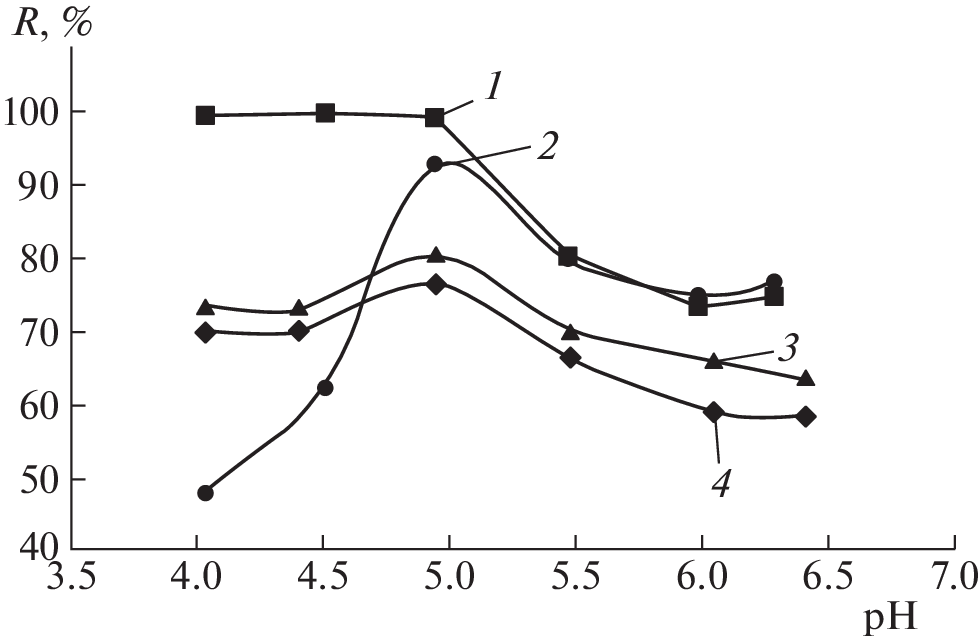
the properties of nanosized sorbents prepared by high-energy milling from microcrystalline powder of titanium dioxide of rutile modification have been studied. It was established that milling to an average crystallite size of ~30 nm and ultraviolet illumination significantly improved the sorption properties of rutile with respect to chromium compared with those of the starting material and the ability of Cr(VI) to be reduced to Cr(III) in its presence. The maximum removal of Cr(VI) from aqueous solutions with a concentration of 50 mg/L was achieved under UV illumination in an acetate buffer medium at pH 4–5 and a content of ground rutile of 16.7 g/L. A mechanism of adsorption was proposed.
Palavras-chave
Sobre autores
N. Pechishcheva
Institute of Metallurgy, Ural Branch, Russian Academy of Sciences
Email: pechischeva@gmail.com
620016, Yekaterinburg, Russia
D. Ordinartsev
Institute of Metallurgy, Ural Branch, Russian Academy of Sciences
Email: pechischeva@gmail.com
620016, Yekaterinburg, Russia
A. Valeeva
Institute of Solid State Chemistry, Ural Branch, Russian Academy of Sciences; Ural Federal University named after the First President of Russia B. N. Yeltsin
Email: pechischeva@gmail.com
620108, Yekaterinburg, Russia; 620002, Yekaterinburg, Russia
P. Zaitseva
Institute of Metallurgy, Ural Branch, Russian Academy of Sciences
Email: pechischeva@gmail.com
620016, Yekaterinburg, Russia
A. Korobitsyna
Institute of Metallurgy, Ural Branch, Russian Academy of Sciences
Email: pechischeva@gmail.com
620016, Yekaterinburg, Russia
A. Sushnikova
Institute of Metallurgy, Ural Branch, Russian Academy of Sciences; Ural Federal University named after the First President of Russia B. N. Yeltsin
Email: pechischeva@gmail.com
620016, Yekaterinburg, Russia; 620002, Yekaterinburg, Russia
A. Kim
Institute of Solid State Chemistry, Ural Branch, Russian Academy of Sciences
Email: pechischeva@gmail.com
620016, Yekaterinburg, Russia
K. Shunyaev
Institute of Metallurgy, Ural Branch, Russian Academy of Sciences
Email: pechischeva@gmail.com
620016, Yekaterinburg, Russia
A. Rempel
Institute of Metallurgy, Ural Branch, Russian Academy of Sciences; Ural Federal University named after the First President of Russia B. N. Yeltsin
Autor responsável pela correspondência
Email: pechischeva@gmail.com
620016, Yekaterinburg, Russia; 620002, Yekaterinburg, Russia
Bibliografia
- Jegadeesan G., Al-Abed S.R., Sundaram V. et al. // Water Res. 2010. V. 44. P. 965. https://doi.org/10.1016/j.watres.2009.10.047
- Kuz'micheva G.M., Savinkina E.V., Obolenskaya L.N. et al. // Crystallogr. Rep. 2010. V. 55. P. 866. https://doi.org/10.1134/S1063774510050287
- Vidhya B., Ford A. // Nanosci. Nanotechnol. Lett. 2013. V. 5. P. 980. https://doi.org/10.1166/nnl.2013.1663
- Uzunova-Bujnova M., Dimitrov D., Radev D. et al. // Mater. Chem. Phys. 2008. V. 110. P. 291. https://doi.org/10.1016/j.matchemphys.2008.02.005
- Мельчакова О.В., Печищева Н.В., Коробицына А.Д. // Цветные металлы. 2019. № 1. С. 32. https://doi.org/10.17580/tsm.2019.01.05
- Ординарцев Д.П., Печищева Н.В., Валеева А.А. и др. // Журн. физ. химии. 2022. Т. 96. № 11 – в печати.
- Cheng Q., Wang C., Doudrick K. et al. // Appl. Catal. B. 2015. V. 176. P. 740. https://doi.org/10.1016/j.apcatb.2015.04.047
- Ma C.M., Shen Y.S., Lin P.H. // Int. J. Photoenergy. 2012. 381971. https://doi.org/10.1155/2012/381971
- Ku Y., Jung I.-L. // Wat. Res. 2001. V. 35. P. 135. https://doi.org/10.1016/s0043-1354(00)00098-1
- Zhang H., Bartlett R.J. // Environ. Sci. Technol. 1999. V. 33. P. 588. https://doi.org/10.1021/es980608w
- Fendorf S.E. // Geoderma. 1995. V. 67. P. 55. https://doi.org/10.1016/0016-7061(94)00062-f
- Wang Y., Peng C., Padilla-Ortega E. et al. // J. Environ. Chem. Eng. 2020. 104031. https://doi.org/10.1016/j.jece.2020.104031
- Zurek J.M., Paterson M.J. // J. Phys. Chem. A. 2012. V. 116. P. 5375. https://doi.org/10.1021/jp302300q
- Kirk A.D. // Comments Inorg. Chem. 1993. V. 14. P. 89. https://doi.org/10.1080/02603599308048658
- Morales-Pérez A.-A., García-Pérez R., Tabla-Vázquez C.-G. et al. // Topics in Catalysis. 2020. V. 64. P. 17. https://doi.org/10.1007/s11244-020-01346-4
- Tan Y., Lim Y.B., Altieri K.E. et al. // Atmos. Chem. Phys. 2012. V. 12. P. 801. https://doi.org/10.5194/acp-12-801-2012
- Moffat T.P., Latanision R.M., Ruf R.R. // Electrochim. Acta. 1995. V. 40. P. 1723. https://doi.org/10.1016/0013-4686(95)00015-7
Arquivos suplementares





