Adsorption of Organic Compounds on the Surfaces of Silicas with Grafted Acetoacet Ether Groups Saturated with Transition Metal Ions
- Autores: Pakhnutova E.A.1, Slizhov Y.G.1
-
Afiliações:
- Tomsk State University
- Edição: Volume 97, Nº 2 (2023)
- Páginas: 270-278
- Seção: PHYSICAL CHEMISTRY OF DISPERSED SYSTEMS AND SURFACE PHENOMENA
- ##submission.dateSubmitted##: 15.10.2023
- ##submission.datePublished##: 01.02.2023
- URL: https://bakhtiniada.ru/0044-4537/article/view/136525
- DOI: https://doi.org/10.31857/S004445372302019X
- EDN: https://elibrary.ru/EJPVSR
- ID: 136525
Citar
Texto integral
Resumo
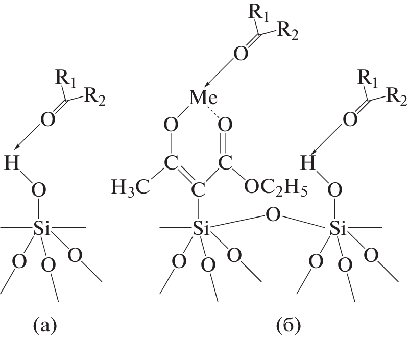
A set of physicochemical means is used to study the adsorption properties of surfaces of silicas based on Silochrome C-120 with surface-grafted groups of acetoacetic ester saturated with transition metal ions. Gas chromatography is used to study the effect nickel, cobalt, and copper ethylacetoacetates have on the thermodynamic characteristics of adsorption (TCA) of different classes of organic substances on SiO2. Experimental data on the retention of adsorbates with different donor-acceptor properties (n-alkanes and chloroalkanes, alkenes, aromatic and oxygen-containing substances) are used to calculate differential molar heats of adsorption q¯dif,1 the change in the standard differential molar entropy ΔS¯S1,C and deposits Δq¯dif,1(spec) in the energy of dispersion and specific interactions.
Sobre autores
E. Pakhnutova
Tomsk State University
Email: pakhnutovae@mail.ru
634050, Tomsk, Russia
Yu. Slizhov
Tomsk State University
Autor responsável pela correspondência
Email: pakhnutovae@mail.ru
634050, Tomsk, Russia
Bibliografia
- Лисичкин Г.В., Фадеев А.Ю., Сердан А.А. и др. Химия привитых поверхностных соединений. М.: Физматлит, 2003. 592 с
- Bielecki P., Wasiak W. // Chemical Papers. 2011. V. 65. № 2. P. 104.
- Wawrzyniak R., Wasiak W. // Anal. Chim. Acta. 1998. V. 377. P. 61.
- Marcinko S., Helmy R., Fadeev A.Y. // Langmuir. 2003. V. 19. № 7. P. 2752.
- Rykowska I., Wasiak W. // Anal. Chim. Acta. 2002. V. 451. № 2. P. 271.
- Хартли Ф. Закрепленные металлокомплексы. Новое поколение катализаторов / Пер. с англ. М.: Мир, 1989. 122 с.
- Рощина Т.М., Шония Н.К. // Журн. физ. химии. 2019. Т. 93. № 10. С. 1529.
- Онучак Л.А., Бурматнова Т.С., Спиряева Е.А. и др. // Там же. 2012. Т. 86. № 8. С. 1424.
- Ferreira G.R., Marcial B.L., Garcia H.C. // Supramol. Chem. 2015. V. 27. P. 13.
- Пахнутова Е.А., Слижов Ю.Г. // Сорбционные и хроматографические процессы. 2021. Т. 21. № 4. С. 529.
- Лопаткин А.А. // Росс. хим. журн. 1996. Т. 40. № 2. С. 5.
- Минакова Т.С. Адсорбционные процессы на поверхности твердых тел. Учебное пособие. Томск: Изд-во Томск. ун-та, 2007. 284 с.
- Паукштис Е.А. Инфракрасная спектроскопия в гетерогенном кислотно-основном катализе. Новосибирск: Наука, 1992. 254 с.
- Накамото К. ИК-спектры и спектры КР неорганических и координационных соединений. М.: Мир, 1991. 536 с.
- Tsaryuka V., Zolina J. // Spectrochimica Acta Part A. 2005. V. 61. P. 185.
- Gavrilenko M.A., Slizhov Yu.G., Faustova Zh.V. // Advanced Materials Research. 2014. V. 1040. P. 448.
- Ristova M. // J. Mol. Struct. 2009. P. 93.
- Паркаева С.А., Белякова Л.Д., Ревина А.А. и др. // Сорбционные и хроматографические процессы. 2010. Т. 10. № 5. С. 713.
- Яшин Я.И., Яшин Е.А., Яшин А.Я. Газовая хроматография. М.: ТрансЛит., 2009. 528 с.
- Гринвуд Н. Химия элементов: в 2 т. М.: Бином, 2011. Т. 2. 670 с.
- Пахнутова Е.А., Слижов Ю.Г. // Неорган. материалы. 2015. Т. 51. № 6. С. 634.
Arquivos suplementares








