Механизмы реакций кобаламинов с диазениумдиолатом диэтиламина в нейтральных водных растворах
- Авторы: Деревеньков И.А.1, Черевина Е.А.1, Макаров С.В.1
-
Учреждения:
- Ивановский государственный химико-технологический университет
- Выпуск: Том 97, № 1 (2023)
- Страницы: 66-70
- Раздел: ФИЗИЧЕСКАЯ ХИМИЯ РАСТВОРОВ
- Статья получена: 15.10.2023
- Статья опубликована: 01.01.2023
- URL: https://bakhtiniada.ru/0044-4537/article/view/136523
- DOI: https://doi.org/10.31857/S0044453723010053
- EDN: https://elibrary.ru/BBLOCD
- ID: 136523
Цитировать
Полный текст
Аннотация
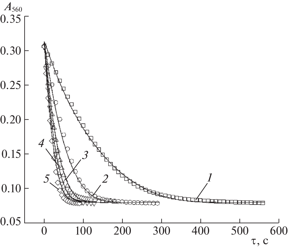
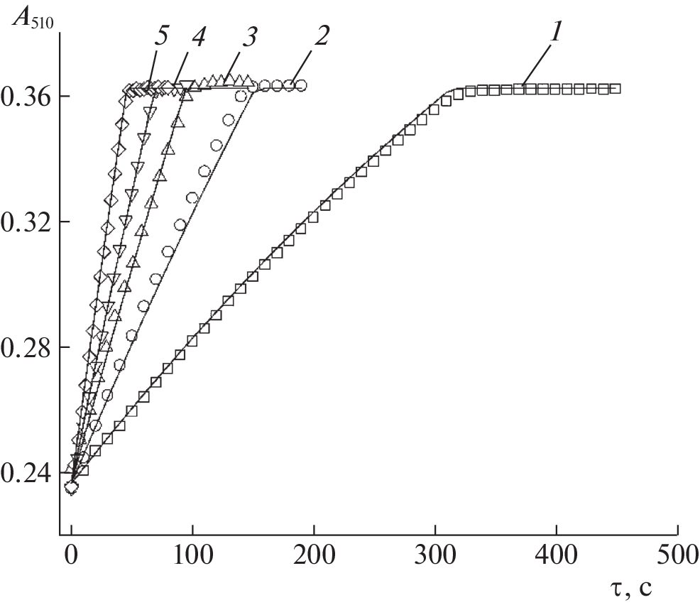
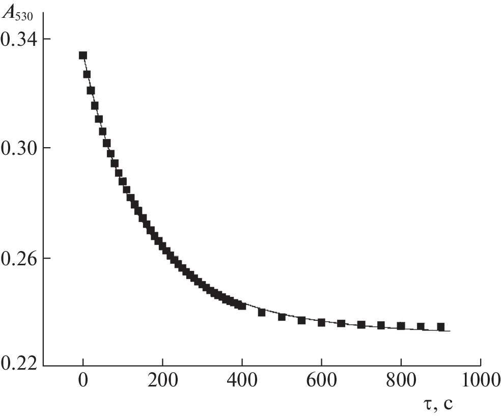
Спектрофотометрическим методом и с использованием моделирования кинетических кривых в соответствии с предложенным механизмом в программе ChemMech изучены реакции аква-, метил-, циано-, сульфито-, глутатионилкобаламинов, кобаламина(II) и аквагидроксокобинамида с диазениумдиолатом диэтиламина (DEANONO) при рН 7.4, 25.0°C. Показано, что реакции метил-, циано- и сульфитокобаламинов с DEANONO не протекают. Реакция аквакобаламина с DEANONO не приводит к образованию нитрозилкобаламина (NOCbl) из-за относительно быстрого разложения DEANONO и медленного взаимодействия между исходными реагентами. Установлено, что глутатионилкобаламин превращается в NOCbl за счет взаимодействия с оксидом азота (II), выделяющимся при разложении DEANONO, и в ходе переноса нитроксила молекулы DEANONO на ион Co(III). Кобаламин(II) переходит в NOCbl за счет быстрого связывания NO, выделяющегося при разложении DEANONO. Показано, что реакция аквагидроксокобинамида с DEANONO включает быструю координацию DEANONO на ионе Co(III) и более медленный распад комплекса до нитрозилкобинамида и других продуктов.
Ключевые слова
Об авторах
И. А. Деревеньков
Ивановский государственный химико-технологический университет
Email: derevenkov@gmail.com
Россия, Иваново
Е. А. Черевина
Ивановский государственный химико-технологический университет
Email: derevenkov@gmail.com
Россия, Иваново
С. В. Макаров
Ивановский государственный химико-технологический университет
Автор, ответственный за переписку.
Email: derevenkov@gmail.com
Россия, Иваново
Список литературы
- Kräutler B. // Biochem. Soc. Trans. 2005. V. 33. P. 806.
- Brown K.L. // Chem. Rev. 2005. V. 105. P. 2075.
- Bridwell-Rabb J., Grell T.A.J., Drennan C.L. // Annu. Rev. Biochem. 2018. V. 87. P. 555.
- Bridwell-Rabb J., Drennan C.L. // Curr. Opin. Chem. Biol. 2017. V. 37. P. 63.
- Hannibal L., Axhemi A., Glushchenko A.V. et al. // Clin. Chem. Lab. Med. 2008. V. 46. P. 1739.
- Gherasim C., Lofgren M., Banerjee R. // J. Biol. Chem. 2013. V. 288. P. 13186.
- Dereven’kov I.A., Salnikov D.S., Silaghi-Dumitrescu R. et al. // Coord. Chem. Rev. 2016. V. 309. P. 68.
- Wolak M., Zahl A., Schneppensieper T. et al. // J. Am. Chem. Soc. 2001. V. 123. P. 9780.
- Kambo A., Sharma V.S., Casteel D.E. et al. // J. Biol. Chem. 2005. V. 280. P. 10073.
- Mascarenhas R., Li Z., Gherasim C. et al. // J. Biol. Chem. 2020. V. 295. P. 9630.
- Polaczek J., Subedi H., Orzeł Ł. et al. // Inorg. Chem. 2021. V. 60. P. 2964.
- Subedi H., Hassanin H.A., Brasch N.E. // Inorg. Chem. 2014. V. 53. P. 1570.
- Zheng D., Birke R.L. // J. Am. Chem. Soc. 2002. V. 124. P. 9066.
- Wolak M., Stochel G., van Eldik R. // Inorg. Chem. 2006. V. 45. P. 1367.
- Hassanin H.A., Hannibal L., Jacobsen D.W. et al. // Angew. Chem. Int. Ed. 2009. V. 48. P. 8909.
- Shaikh N., Valiev M., Lymar S.V. // J. Inorg. Biochem. 2014. V. 141. P. 28.
- Bobko A.A., Khramtsov V.V. // Nitric Oxide 2014. V. 40. P. 92.
- Keefer L.K., Nims R.W., Davies K.M., Wink D.A. // Meth. Enzymol. 1996. V. 268. P. 281.
- Fitzhugh A.L., Keefer L.K. // Free Radic. Biol. Med. 2000. V. 28. P. 1463.
- Dereven’kov I.A., Osokin V.S., Molodtsov P.A. et al. // React. Kinet. Mech. Catal. 2022. V. 135. P. 1469.
- Li Q., Lancaster J.R. Jr. // Nitric Oxide 2009. V. 21. P. 69.
- Sharma V.S., Pilz R.B., Boss G.R., Magde D. // Biochemistry 2003. V. 42. P. 8900.
Дополнительные файлы












