Interaction between 2(4)-Aminopyridines and Ions of Platinum and Transition Metals in Aqueous Solutions under Conditions Approximating Their Extraction Isolation and Separation
- Authors: Ageeva L.S.1, Borsch N.A.1, Kuvardin N.V.1, Egelskiy I.V.1
-
Affiliations:
- Southwestern State University
- Issue: Vol 97, No 1 (2023)
- Pages: 55-65
- Section: PHYSICAL CHEMISTRY OF SOLUTIONS
- Submitted: 15.10.2023
- Published: 01.01.2023
- URL: https://bakhtiniada.ru/0044-4537/article/view/136520
- DOI: https://doi.org/10.31857/S0044453723010028
- EDN: https://elibrary.ru/BARECH
- ID: 136520
Cite item
Full Text
Abstract
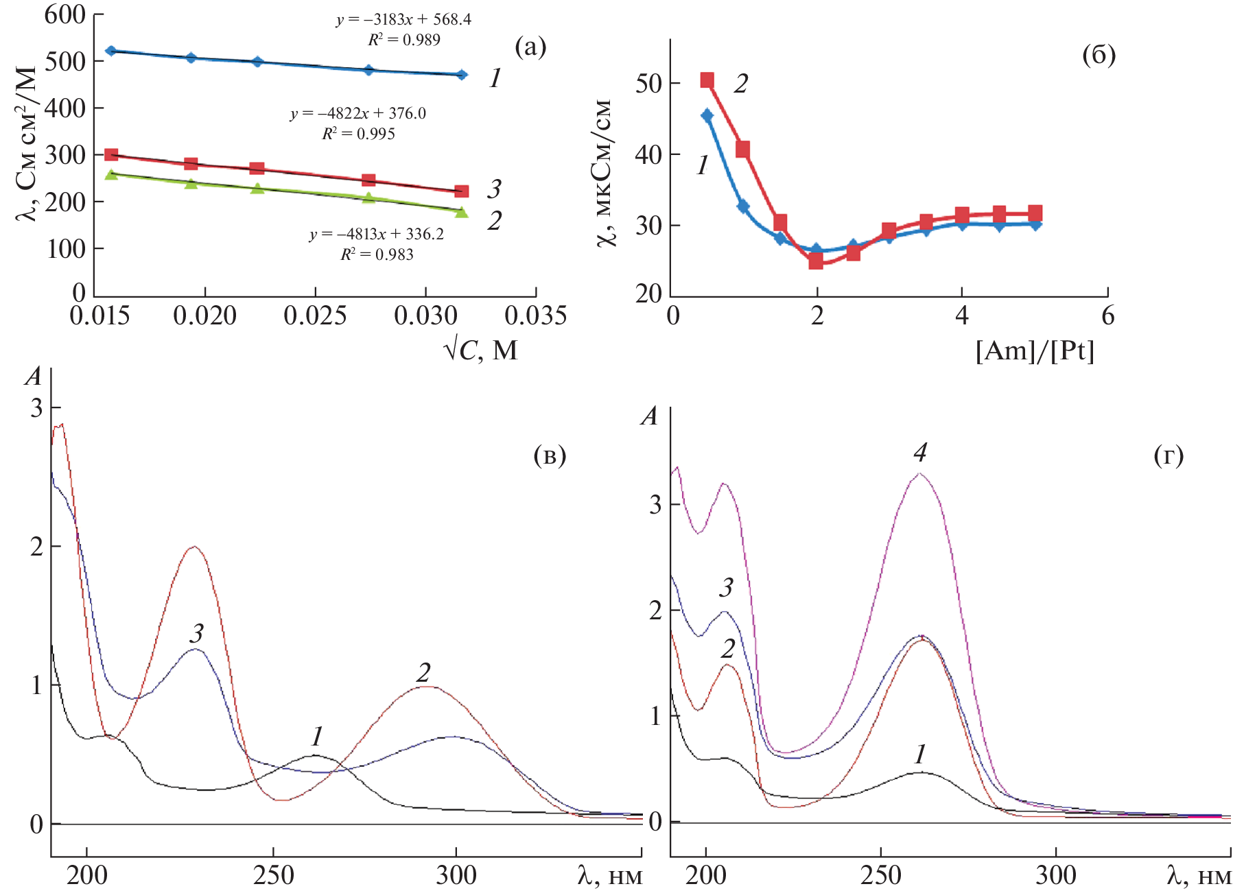
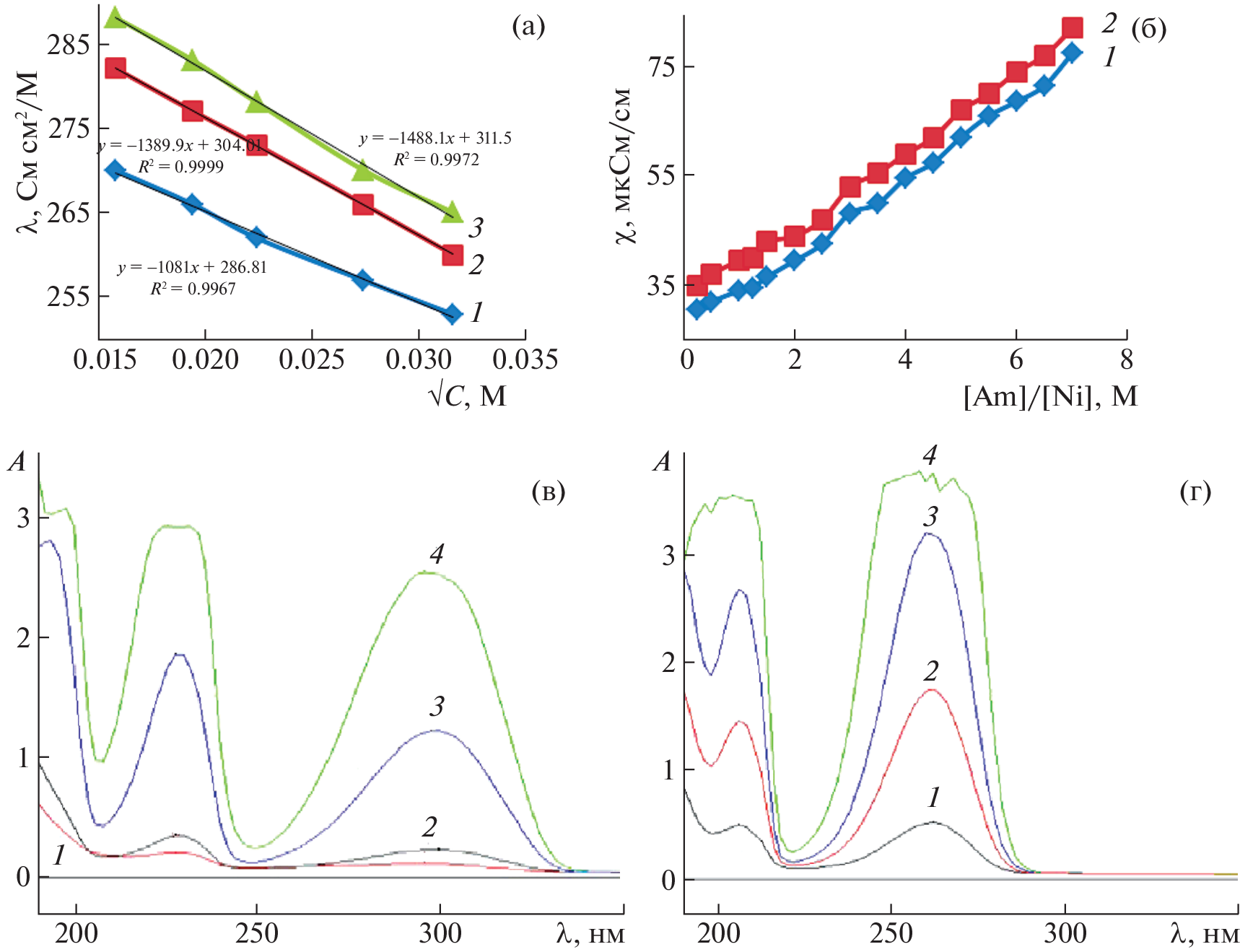
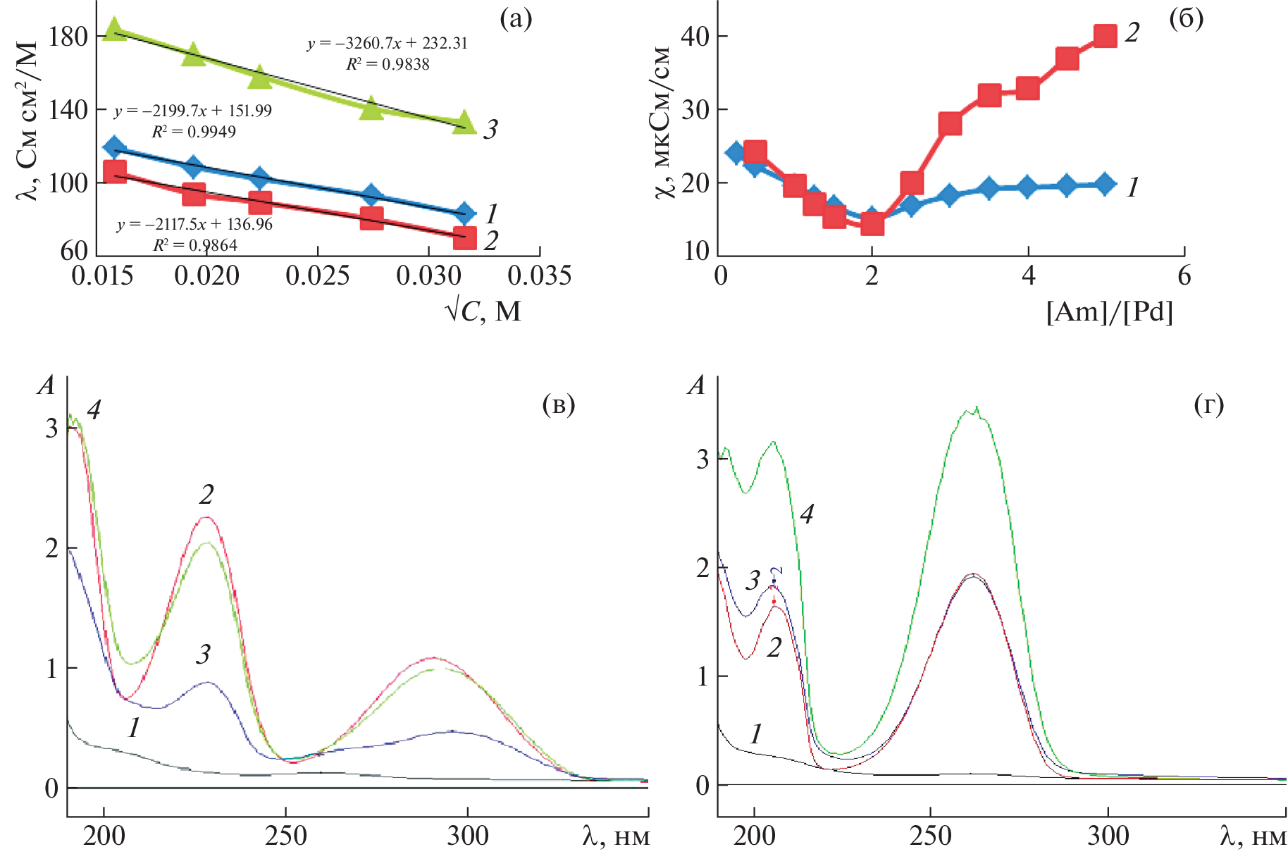
A study is performed of the interaction between 2(4)-aminopyridines (2(4)-AP) and Pd(II), Pt(II), Pt(IV) and accompanying ions Ni(II), Co(II), Fe(II, III), Cu(II) in aqueous solutions close to the conditions of their extraction isolation and separation. It is shown that platinum metal ions form stable neutral and cationic complexes with both 2-AP and 4-AP that can be isolated from aqueous solutions. The tendency to form cationic complexes diminishes in the order Pd(II) > Pt(II) > Pt(IV) and 4-AP > 2-AP. With the exception of Cu(II), ions of 3d-elements do not form stable complexes under these conditions. Cu(II) forms complexes with 2(4)-AP that are subject to hydrolysis when isolated from aqueous solutions. Features of 2(4)-AP when interacting with metal ions are discussed. It is proposed that analogs of 2(4)-AP with long hydrocarbon radicals be used for the extraction concentration of platinum metals from hydrometallurgical solutions of complex composition.
About the authors
L. S. Ageeva
Southwestern State University
Email: millfi@yandex.ru
305040, Kursk, Russia
N. A. Borsch
Southwestern State University
Email: millfi@yandex.ru
305040, Kursk, Russia
N. V. Kuvardin
Southwestern State University
Email: millfi@yandex.ru
305040, Kursk, Russia
I. V. Egelskiy
Southwestern State University
Author for correspondence.
Email: millfi@yandex.ru
305040, Kursk, Russia
References
- Борщ Н.А. / Теория и практика экстракционных методов. Отв. ред. Алимарин И.П., Багреев В.В. М.: Наука, 1985. С. 111.
- Suryavanshi V.J., Anuse M.A., Pawar R.R., Mulik G.N. // Analyt. Methods. 2015. V. 7. № 6. P. 2497. https://doi.org/10.1039/C4AY03045A
- Борщ Н.А., Петрухин О.М., Соколов А.Б. и др. // Журн. неорган. химии. 1981. Т. 26. № 3. С. 734.
- Борщ Н.А., Петрухин О.М. // Журн. аналит. химии. 1978. Т. 33. № 11. С. 2181.
- Suryavanshi S.J., Patil M.M., Kokare A.N. et al. // J. Chinese Chem. Soc. 2016. V. 63. № 8. P. 694.https://doi.org/10.1002/jccs.201500541
- Suryavanshi V.J., Patil M.M., Zanje S.B. et al. // Separat. Sci. and Technology. 2016. V. 51. № 10. P. 1690.https://doi.org/10.1080/01496395.2016.1177076
- Suryavanshi V.J., Patil M.M., Mulik G.N. et al. // Rus. J. Inorg. Chem. 2017. V. 62. № 2. P. 257. https://doi.org/10.1134/S003602361702019X
- Kore G.D., Patil S.A., Anuse M.A. et al. // J. Radioanalyt. and Nucl. Chem. 2016. V. 310. № 1. P. 329. https://doi.org/10.1007/s10967-016-4857-7
- Sandip V.M., Prakash P.W., Anuse M.A. // J. Serb. Chem. Soc. 2008. V. 73. № 4. P. 435. https://doi.org/102298/JSC0804435M
- Sandip V.M., Prakash P.W., Anuse M.A. // Ibid. 2010. V. 75. № 8. P. 1099. https://doi.org/10.2298/JSC090630072M
- Mahamuni S.V., Kolekar S.S., Wadgaonkar P.P. et al. // J. Iran. Chem. Soc. 2009. V. 6. № 1. P. 200.https://doi.org/10.1007/BF03246521
- Mandhare A.M., Anuse M.A., Kolekar S.S. // Ind. J. Chem. Technology. 2011. V. 18. № 6. P. 475.
- Mandhare A.M., Han S.H., Anuse M.A. et al. // Arab. J. Chem. 2015. V. 8. № 4. P. 456.https://doi.org/10.1016/j.arabjc.2011.01.026
- Noronha L.E., Kamble G.S., Kolekar S.S. et al. // Ind. J. Chem. Technology. 2013. V. 20. № 7. P. 252.
- Noronha L.E., Kamble G.S., Kolekar S.S. et al. // Inter. J. Chem. Scince Technology. 2013. V. 3. № 1. P. 15–24.
- Mane C.P., Mahamuni S.V., Kolekar S.S. et al. // Arab. J. Chem. 2016. V. 9. № 2. P. 1420.https://doi.org/10.1016/j.arabjc.2012.03.021
- Noronha L.E., Kamble G.S., Kolekar S.S. et al. // Int. J. Analyt. and Bioanalyt. Chem. 2013. V. 3. № 1. P. 27.
- Mane C.P., Anuse M.A. // J. Chinese Chem. Soc. 2008. V. 55. P. 807.https://doi.org/10.1002/jccs.200800121
- Mane C.P., Anuse M.A. // J. Hazard Mater. 2008. V. 152. № 3. P. 1146.https://doi.org/10.1016/j.jhazmat.2007.07.119
- Rajehdre V., Kolekar S.S., Anuse M.A. // J. Saudi Chem. Soc. 2015. V. 19. № 1. P. 46.https://doi.org/10.1016/j.jscs.2011.12.016
- Серегина И.Ф., Петрухин О.М., Формановский А.А. и др. // Докл. АН СССР. 1984. Т. 275. № 2. С. 385.
- Борщ Н.А., Агеева Л.С., Фролова А.Ю. // Журн. физ. химии. 2019. Т. 93. № 5. С. 661. https://doi.org/10.1134/S0036024419050066
- Синтез комплексных соединений металлов платиновой группы: справочник / под общ. ред. И.И. Черняева. М.: Наука, 1964. С. 339.
- Демидова Е.Н., Драчев А.И., Борщ Н.А. // Координац. химия. 2008. Т. 34. № 10. С. 797. https://doi.org/10.1134/S1070328408100151
- Худякова Т.А. Теория и практика кондуктометрического и хронокондуктометрического анализа. М.: Химия, 1976.
- Евстратикова И.А., Фалалеева В.Н. Естественнонаучные, инженерные и экономические исследования в технике, промышленности, медицине и сельском хозяйстве. Материалы I Молодежной научно-практической конференции с международным участием. Белгород: ИД Белгород НИУ БелГУ, 2017. С. 498.
- Цинцадзе Г.В., Харитонов Ю.Я., Джашиашвили Т.К. и др. // Координац. химия. 1982. № 8. С. 1493.
- Цинцадзе Г.В., Харитонов Ю.Я., Марченкова Т.Г. и др. // Там же. 1987. № 2. С. 215.
- Борщ Н.А., Петрухин О.М., Золотов Ю.А. и др. // Там же. 1981. Т. 7. № 8. С. 1242.
- Klopman G.J. Am. Chem. Soc. // 1968. V. 90. P. 223.
- Борщ Н.А. // Дис. канд. хим. наук. М.: ГЕОХИ АН СССР, 1978. С. 184.
- Клопман Г.Н. Реакционная способность и пути реакций. М.: Мир, 1977. 384 с.
- Борщ Н.А., Петрухин О.М. Журн. аналит. химии. 1978. Т. 33. № 9. С. 1805.
- Борщ Н.А., Петрухин О.М. Авт. свид. SU 687073 A1, 25.09.1979. Заявка № 2502576 от 04.07.1977.
Supplementary files










