Thermochemistry of the Dissolution of Tetra-4-carboxymetallophthalocyanines in Aqueous Solutions of KOH at 298.15 K
- Autores: Krutova O.N.1, Maizlish V.E.1, Lytkin A.I.1, Chernikov V.V.1, Volkov A.V.1, Fedotova A.E.1, Krutov P.D.1
-
Afiliações:
- Ivanovo State University of Chemistry and Technology
- Edição: Volume 97, Nº 2 (2023)
- Páginas: 199-203
- Seção: CHEMICAL THERMODYNAMICS AND THERMOCHEMISTRY
- ##submission.dateSubmitted##: 15.10.2023
- ##submission.datePublished##: 01.02.2023
- URL: https://bakhtiniada.ru/0044-4537/article/view/136503
- DOI: https://doi.org/10.31857/S0044453723020115
- EDN: https://elibrary.ru/ECUSCJ
- ID: 136503
Citar
Texto integral
Resumo
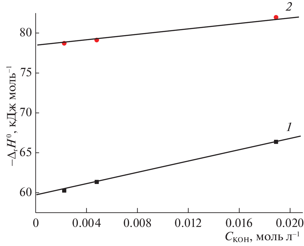
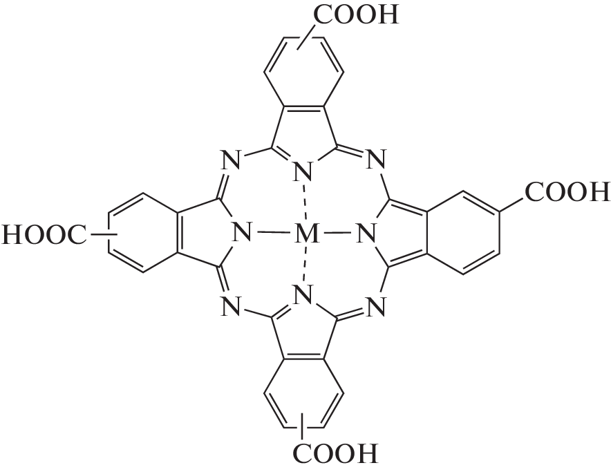
Complexes are obtained of tetra-4-carboxyphthalocyanines with copper and zinc that are insoluble in water. Standard enthalpies of formation of the compounds are calculated according to additive groups based on group systematics with a Benson-type classification of fragments that considers the influence of the primary environment of atoms. Thermal effects of the dissolution of crystalline tetra-4-carboxymetallo-phthalocyanines in aqueous solutions at different concentrations of KOH (0.002 to 0.02 mol/L) at 298.15 K are determined via direct calorimetry. The standard enthalpies of formation are calculated for products of the dissociation of complexes of tetra-4-carboxyphthalocyanines with copper and zinc in aqueous solutions.
Palavras-chave
Sobre autores
O. Krutova
Ivanovo State University of Chemistry and Technology
Email: kdvkonkpd@yandex.ru
153000, Ivanovo, Russia
V. Maizlish
Ivanovo State University of Chemistry and Technology
Email: kdvkonkpd@yandex.ru
153000, Ivanovo, Russia
A. Lytkin
Ivanovo State University of Chemistry and Technology
Email: kdvkonkpd@yandex.ru
153000, Ivanovo, Russia
V. Chernikov
Ivanovo State University of Chemistry and Technology
Email: kdvkonkpd@yandex.ru
153000, Ivanovo, Russia
A. Volkov
Ivanovo State University of Chemistry and Technology
Email: kdvkonkpd@yandex.ru
153000, Ivanovo, Russia
A. Fedotova
Ivanovo State University of Chemistry and Technology
Email: kdvkonkpd@yandex.ru
153000, Ivanovo, Russia
P. Krutov
Ivanovo State University of Chemistry and Technology
Autor responsável pela correspondência
Email: kdvkonkpd@yandex.ru
153000, Ivanovo, Russia
Bibliografia
- Islam Z.U., Tahir M., Syed W.A., Aziz F. et al. // Energies. 2020. V. 13. № 4. P. 962. https://doi.org/10.3390/en130409621
- Potlog T., Furtuna V., Rotaru C., Rusnac R. et al. // Int. J. Electr. Comput. Eng. 2018. V. 6. № 1. P. 40.
- Koifman O.I. et al. // Macroheterocycles. 2020. V. 13. № 4. P. 311. https://doi.org/10.6060/mhc200814k
- Березин Д.Б., Макаров В.В., Знойко С.А., Майзлиш В.Е. и др. // Менделеевские сообщения. 2020. Т. 30. С. 621.https://doi.org/10.1016/j.mencom.2020.09.023
- Лебедева Н.Ш., Юрина Е.С., Губарев Ю.А., Майзлиш В.Е. // Биоорган. Химия. 2016. Т. 42. V. 1. P. 36. https://doi.org/10.7868/S0132342315050140
- Mashazi P.N., Westbroek P., Ozoemena K.I., Nyokong T. // Electrochim. Acta. 2007. V. 53. P. 1858–1869. https://doi.org/10.1016/j.electacta.2007.08.044
- Masilela N., Nyokong T. // Dyes Pigm. 2010. V. 84. P. 242. https://doi.org/10.1016/j.dyepig.2009.09.011
- Weber J.H., Busch D.H. // Inorg. Chem. 1965. V. 4. № 4. P. 469. https://doi.org/10.1021/ic50026a007
- Lytkin A.I., Chernikov V.V., Krutova O.N., Skvortsov I.A. // J. Therm. Anal. Calorim. 2017. V. 130. P. 457. https://doi.org/10.1007/s10973017-6134-6
- Wadsö I., Goldberg R.N. // Pure Appl. Chem. 2001. V. 73. P. 1625. https://doi.org/10.1351/pac200173101625
- Тахистов А.В., Пономарев Д.А. Органическая масс-спектрометрия. С.-Петербург.: ВВМ, 2002. 346 с.
- Закиров Д.Р., Базанов М.И., Волков А.В., Семейкин А.С. и др. // Журн. физ. химии. 2000. Т. 74. № 10. P. 1899.
- Закиров Д.Р., Базанов М.И., Волков А.В., Семейкин А.С. // Там же. 2001. Т. 75. № 12. P. 2296.
- Васильев В.П., Кочергина Л.А., Крутова О.Н. // Там же. 2003. Т. 77. № 12. P. 2145.
- Термические константы веществ / Спр. под ред. В.П. Глушко Вып. III. М.: ВИНИТИ. 1965–1971.
- Бородин В.А., Васильев В.П., Козловский Е.В. // Математические задачи химической термодинамики. Новосибирск: Наука. 1985. С. 219.
- Tyunina E.Yu., Krutova O.N., Lytkin A.I. // Thermochim. Acta. 2020. V. 690. P. 178704. https://doi.org/10.1016/j.tca.2020.178704
- Березин М.Б., Пашанова Н.А., Чернова О.М., Березин Д.Б. и др. // Журн. физ. химии. 2001. Т. 75. № 8. P. 1370.
- Березин М.Б., Чернова О.М. // Журн. общ. химии. 2000. Т. 70. № 9. P. 1541–1546.
- Березин М.Б., Семейкин А.С., Андрианов В.Г., Березин Д.Б. // Журн. общ. химии. 2000. Т. 70. № 9. P. 1547.
Arquivos suplementares






