Batch-injection amperometric determination of sulfamethazine, sulfacetamide and sulfathiazole on an electrode modified with a composite based on gold particles, carbon nanotubes and ionic liquid
- 作者: Shaydarova L.G.1, Chelnokova I.A.1, Ilyina М.А.1, Gafiatova I.А.1, Budnikov G.K.1
-
隶属关系:
- Kazan Federal University
- 期: 卷 79, 编号 12 (2024)
- 页面: 1358-1368
- 栏目: ORIGINAL ARTICLES
- ##submission.dateSubmitted##: 06.03.2025
- ##submission.dateAccepted##: 06.03.2025
- URL: https://bakhtiniada.ru/0044-4502/article/view/282606
- DOI: https://doi.org/10.31857/S0044450224120089
- EDN: https://elibrary.ru/stltqw
- ID: 282606
如何引用文章
详细
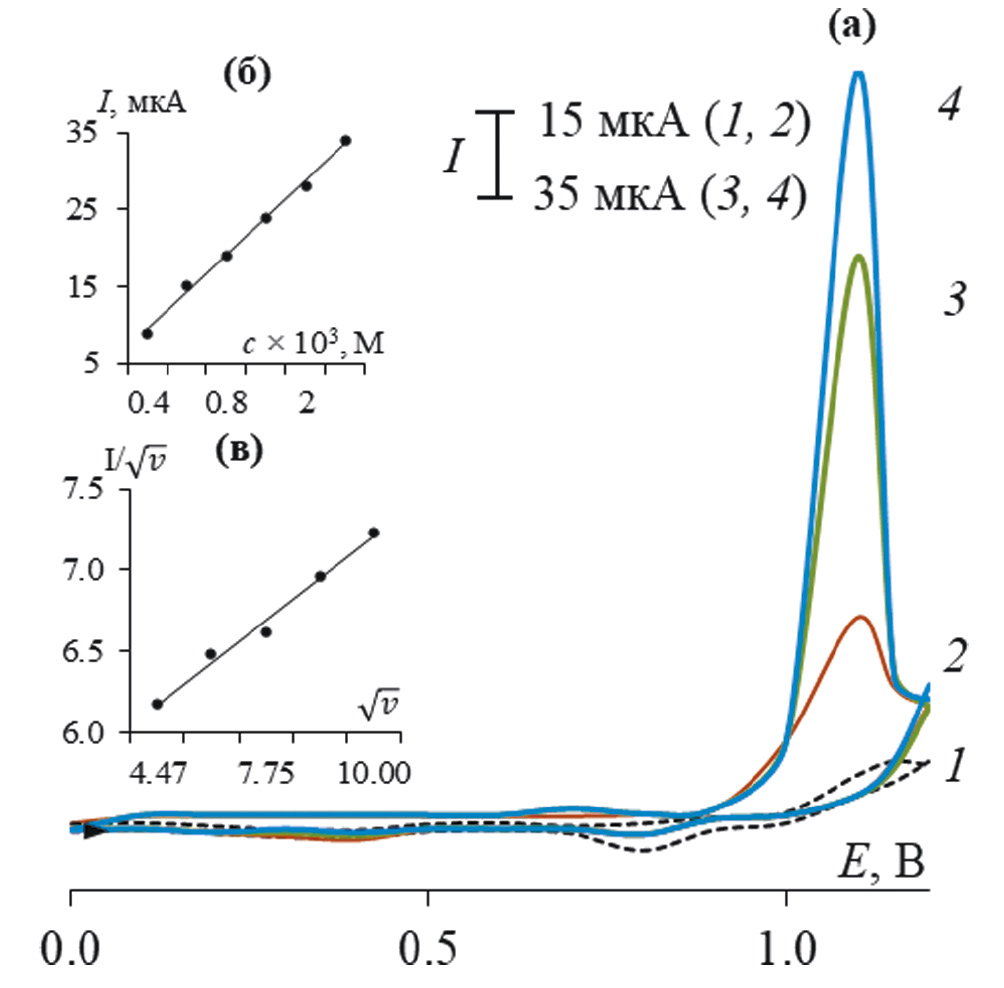
Electrodes modified with gold particles, multi-walled carbon nanotubes, an ionic liquid based on 1-butyl-3-methylimidazolium hexafluorophosphate, as well as a composite based on them for the voltammetric determination of sulfamethazine, sulfacetamide and sulfathiazole have been developed. It has been established by cyclic voltammetry that modification of the surface of a glass-carbon electrode with gold particles, a composite based on carbon nanotubes and an ionic liquid leads to an increase in its effective area. The electrochemical impedance data indicate an increase in the electron transfer rate on the modified electrodes compared to the unmodified one. A composite electrode with gold particles, carbon nanotubes and an ionic liquid with the best characteristics was used for the amperometric determination of sulfonamides under batch injection conditions. The optimal parameters for the determination of sulfonamides in the batch injection system have been established. The dependence of the analytical signal on the concentration of the compounds in question in logarithmic coordinates is linear in the range from 1 × 10–8 to 5 × 10– 3 M for sulfamethazine and sulfacetamide and from 1 × 10–7 to 5 × 10–3 M for sulfathiazole. The proposed method for the determination of sulfonamides has been tested in the analysis of medicines.
全文:
作者简介
L. Shaydarova
Kazan Federal University
编辑信件的主要联系方式.
Email: LarisaShaidarova@mail.ru
俄罗斯联邦, Kazan, 420008
I. Chelnokova
Kazan Federal University
Email: LarisaShaidarova@mail.ru
俄罗斯联邦, Kazan, 420008
М. Ilyina
Kazan Federal University
Email: LarisaShaidarova@mail.ru
俄罗斯联邦, Kazan, 420008
I. Gafiatova
Kazan Federal University
Email: LarisaShaidarova@mail.ru
俄罗斯联邦, Kazan, 420008
G. Budnikov
Kazan Federal University
Email: LarisaShaidarova@mail.ru
俄罗斯联邦, Kazan, 420008
参考
- Aarestrup F.M. The livestock reservoir for antimicrobial resistance: A personal view on changing patterns of risks, effects of interventions and the way forward // Philos. Trans. R. Soc. B: Biol. Sci. 2015. V. 370. № 1670. P. 20140085.
- Zhang J., Haines C., Watson A.J.M., Hart A.R., Platt M.J., Pardoll D.M., et al. Oral antibiotic use and risk of colorectal cancer in the United Kingdom, 1989–2012: A matched case–control study // Gut. 2019. V. 68. № 11. P. 1971.
- Duan C. Zhang Y., Li P., Li Q., Yu W., Wen K., et al. Dual-wavelength fluorescence polarization immunoassay for simultaneous detection of sulfonamides and antibacterial synergists in milk // Biosensors. 2022. V. 12. № 11. P. 1053.
- Бельтюкова С.В., Ливенцова Е.О. Методы определения антибиотиков в пищевых продуктах (Обзор) // Методы и объекты химического анализа. 2013. Т. 8. №1. С. 4.
- Кирпичная В.К. Контроль содержания антибиотиков в пищевых продуктах хроматографическими методами // Пищевая промышленность. 2013. № 8. С. 52.
- Yarkaeva Y.A. Maistrenko V.N., Dymova D.A., Zagitova L.R., Nazyrov M.I. Polyaniline and poly(2-methoxyaniline) based molecular imprinted polymer sensors for amoxicillin voltammetric determination // Electrochim. Acta. 2022. V. 433. № 12. Article 141222
- Кулапина Е.Г., Мурсалов Р.К., Кулапина О.И., Анкина В.Д. Электроаналитические свойства немодифицированных и модифицированных твердоконтактных потенциометрических β-лактамных сенсоров в водных и биологических средах. // Заводск. лаборатория. Диагностика материалов. 2022. Т. 88 № 6. С. 15.
- Шайдарова Л.Г., Будников Г.К. Химически модифицированные электроды на основе благородных металлов, полимерных пленок или их композитов в органической вольтамперометрии. Обзор // Журн. аналит. химии. 2008. Т. 63. № 10. С. 1014. (Shaidarova L.G., Budnikov H.C. Chemically modified electrodes based on noble metals, polymer films, or their composites in organic voltammetry: A review // J. Anal. Chem. 2008. V. 63. № 10. P. 922.)
- Megale J.D., Souza D.D. New approaches in antibiotics detection: The use of square wave voltammetry // J. Pharm. Biomed. Anal. 2023. V. 234. Article 115526.
- Meenakshi S., Rama R., Pandian K., Gopinath S.C. B. Modified electrodes for electrochemical determination of metronidazole in drug formulations and biological samples: An overview // Microchem. J. 2021. V. 165. Article 106151
- Шведене Н.В. Чернышëв Д.В., Плетнëв И.В. Ионные жидкости в электрохимических сенсорах // Рос. хим. журн. (Журн. Рос. хим. об-ва им. Д.И. Менделеева). 2008. Т. 52. № 2. С. 91.
- Шпигун Л.К. Исаева Н.А., Андрюхина Е.Ю., Камилова П.М. Вольтамперометрические сенсоры на основе гель-композитов, содержащих углеродные нанотрубки и ионную жидкость // Журн. аналит. химии. 2016. Т. 71. № 8. С. 846. (Shpigun L.K., Isaeva N.A., Andryukhina E.Y., Kamilova P.M. Voltammetric sensors based on gel composites containing carbon nanotubes and an ionic liquid. // J. Anal. Chem. 2016. V. 71. № 8. P. 814.)
- Kurbanoglu S., Unal M.A., Ozkan S.A. Recent developments on electrochemical flow injection in pharmaceuticals and biologically important compounds // Electrochim. Acta. 2018. V. 287. P. 135.
- Hasso M., Sarakhman O., Durdic S., Stankovic D., Svorc Ľ. Advanced electrochemical platform for simple and rapid quantification of tannic acid in beverages using batch injection analysis with amperometric detection // J. Electroanal. Chem. 2023. V. 942. Article 117578
- Hasso M., Matuskova I., Svorc Ľ. Easy, rapid and high-throughput analytical sensing platform for theobromine quantification in chocolate and cocoa products based on batch injection analysis with amperometric detection // J. Food Compos. Anal. 2023. V. 115. Article 105035
- Bard A.J., Faulkner L.R. Electrochemical Methods: Fundamentals and Applications. New York, USA: John Wiley, 2001. 864 p.
- Шайдарова, Л. Г., Челнокова И.А., Дегтева М.А., Махмутова Г.Ф., Лексина Ю. А., Гедмина А.В., Будников Г.К. Амперометрическое детектирование кофеина на электроде, модифицированном композитом на основе смешановалентных оксидов иридия и рутения, в условиях порционно-инжекционного анализа // Хим.-фарм. журн. 2015. Т. 49. № 10. С. 49.
- Сульфацетамид (ФС 2.1.0182.18). XIV Государственная Фармакопея Российской Федерации. Часть 3. Москва, 2018. С. 4840.
- Cesarino, I., Simoes R.P., Lavarda F.C., Batagin-Neto A. Electrochemical oxidation of sulfamethazine on a glassy carbon electrode modified with graphene and gold nanoparticles / // Electrochim. Acta. 2016. V. 192. P. 8.
- Шайдарова Л.Г., Челнокова И.А., Лексина Ю.А., Хайруллина Д.Ю., Будников Г.К. Проточно-инжекционное амперометрическое определение 5-гидрокситриптофана, пиридоксина и аскорбиновой кислоты на планарном электроде, модифицированном частицами бинарной системы золото-палладий // Аналитика. 2022. Т. 12. № 4. С. 280.
- Шайдарова Л.Г., Челнокова И.А., Ильина М.А., Лексина Ю.А., Будников Г.К. Амперометрическое детектирование триптофана и пиридоксина на двойном планарном электроде, модифицированном наночастицами золота, в проточно-инжекционной системе // Журн. аналит. химии. 2019. Т. 74. № 6. С. 437. (Shaidarova L.G, Chelnokova I.A., Il'ina M.A., Leksina Yu.A., Budnikov H.C. amperometric detection of tryptophane and pyridoxine on a dual screen-printed electrode modified by gold nanoparticles in a flow-injection system // J. Anal. Chem. 2019. V. 74. № 6. P. 584.)
- Juodkazis K., Juodkazyte J., Juodiene T., Sukiene V., Savickaja I. Alternative view of anodic surface oxidation of noble metals // Electrochim. Acta. 2006. V. 51. № 27. P. 6159.
- Будников Г.К., Майстренко В.Н., Евтюгин Г.А., Основы современного электрохимического анализа. М.: БИНО М. Лаборатория знаний, 2003. C. 592.
- He B.-S., Chen W.-B. Voltammetric determination of sulfonamides with a modified glassy carbon electrode using carboxyl multiwalled carbon nanotubes // J. Braz. Chem. Soc. 2016. V. 27. № 12. P. 2216.
- Li Y., Hsu P.-C., Chen S.-M., Lou B.-S., Ali M.A., Al-Hemaid F.M. A. Simultaneously determination of procaine and catechol at functionalized multi-walled carbon nanotube with poly-glutamic acid modified electrode // J. Biobased Mater. Bioenergy. 2014. V. 8. № 2. P. 1.
- Silva M.N.T., Rocha R.G., Richter E.M., Munoz R.A.A., Nossol E. Nickel oxy-hydroxy/multi-wall carbon nanotubes film coupled with a 3D-printed device as a nonenzymatic glucose sensor // Biosensors (Basel). 2023. V. 13. № 6. P. 646.
- Москвин Л.Н., Булатов А.В., Москвин А.Л. Проточные методы анализа. СПб: ВВМ, 2008. С. 48.
- Su Y.-L., Cheng S.-H. A novel electroanalytical assay for sulfamethazine determination in food samples based on conducting polymer nanocomposite-modified electrodes // Talanta. 2018. V. 180. P. 81.
- Guzmán-Vázquez de Prada A., Reviejo A.J., Pingarrón J.M. A method for the quantification of low concentration sulfamethazine residues in milk based on molecularly imprinted clean-up and surface preconcentration at a Nafion-modified glassy carbon electrode // J. Pharm. Biomed. Anal. 2006. V. 40. № 2. P. 281.
- Lalmalsawmi J., Tiwari D., Lee S.-M., Kim D.-J., Kim H. Efficient electrochemical sensor for trace detection of sulfamethazine in spring water: Use of novel nanocomposite material coated with Ag or Au nanoparticles // Microchem. J. 2022. V. 179. Article 107520.
- He B.-S., Chen W.-B. Voltammetric determination of sulfonamides with a modified glassy carbon electrode using carboxyl multiwalled carbon nanotubes // J. Braz. Chem. Soc. 2016. V. 27. P. 2216.
- Yadav S., Choubey P.K., Agrawal B., Goyal R.N. Carbon nanotube embedded poly 1,5-diaminonapthalene modified pyrolytic graphite sensor for the determination of sulfacetamide in pharmaceutical formulations // Talanta. 2014. V. 118. P. 96.
- Javanshiri-Ghasemabadi J., Sadeghi S. Facile fabrication of an electrochemical sensor for the determination of two sulfonamide antibiotics in milk, honey and water samples using the effective modification of carbon paste electrode with graphitic carbon nitride and manganese oxide nanostructures // J. Food Compos. Anal. 2023. V. 120. Article 105294.
补充文件






