Эфиры пиридин-2,6-дикарбоновой кислоты – новые лиганды для экстракции и определения металлов
- Авторы: Казанина Д.А.1, Аляпышев M.Ю.2, Полукеев В.А.3, Бабаин В.А.1, Кирсанов Д.О.4
-
Учреждения:
- Радиевый институт им. В.Г. Хлопина
- АО “Полиметалл Инжиниринг”
- АО “Вектон”
- Санкт-Петербургский государственный университет
- Выпуск: Том 79, № 12 (2024)
- Страницы: 1300-1316
- Раздел: ОРИГИНАЛЬНЫЕ СТАТЬИ
- Статья получена: 06.03.2025
- Статья одобрена: 06.03.2025
- URL: https://bakhtiniada.ru/0044-4502/article/view/282597
- DOI: https://doi.org/10.31857/S0044450224120038
- EDN: https://elibrary.ru/sttrqd
- ID: 282597
Цитировать
Аннотация
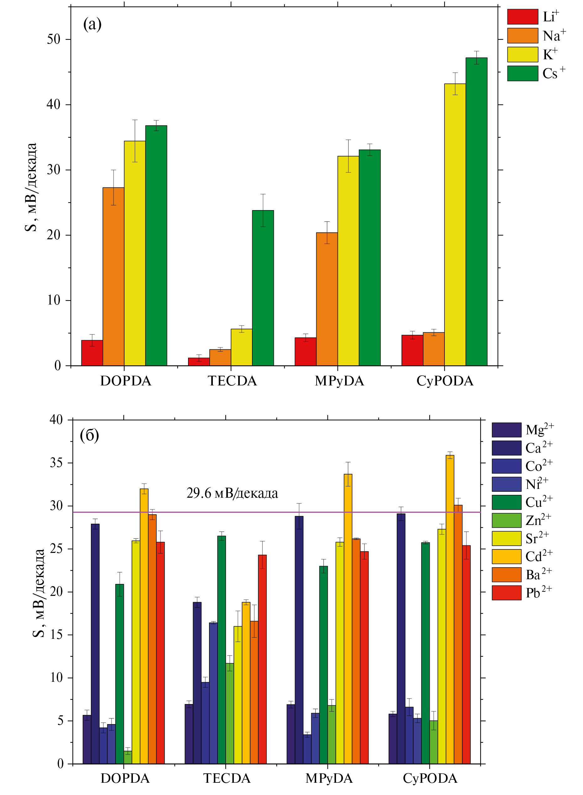
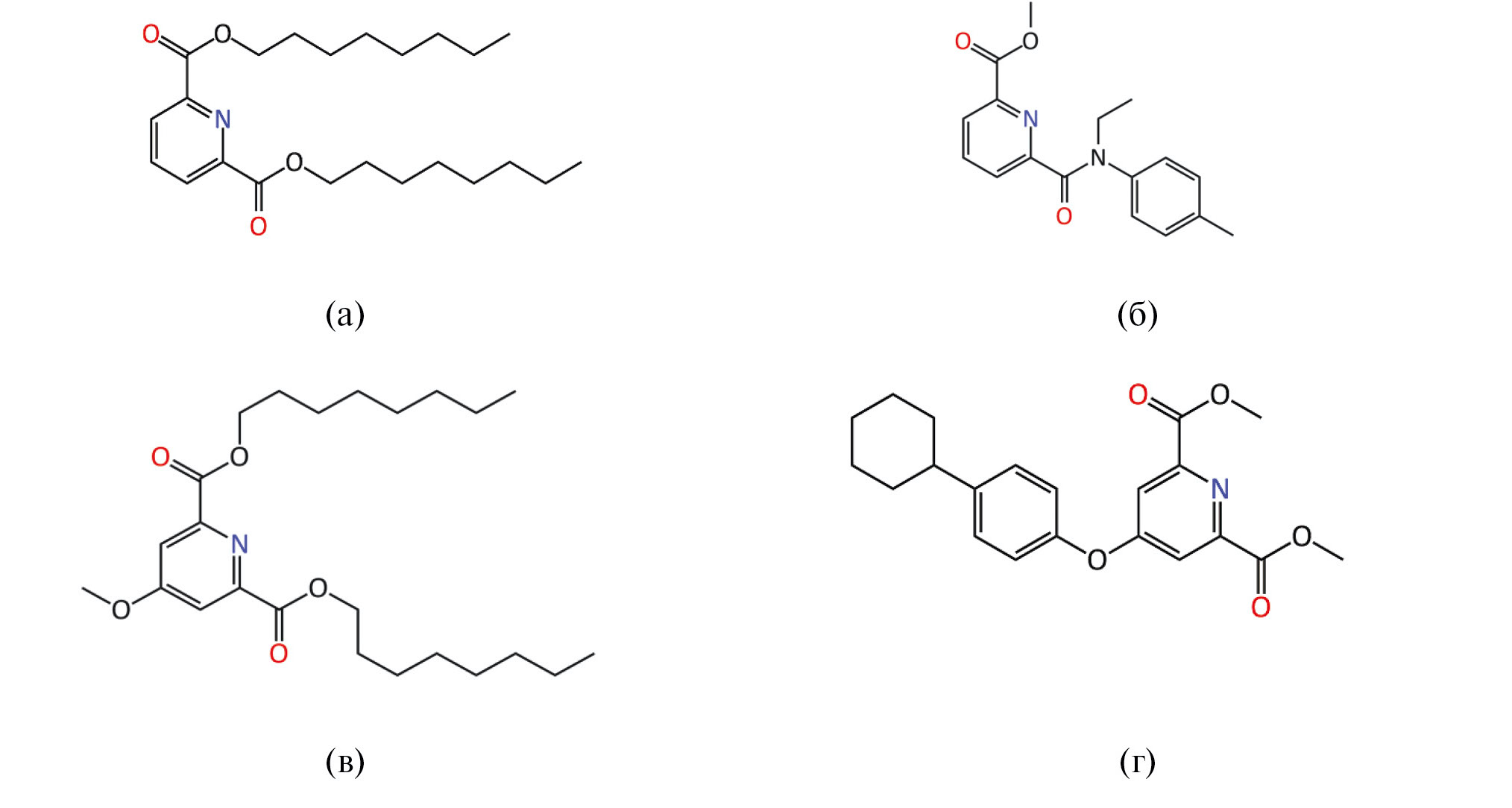
N,O-гибридные донорные лиганды являются перспективными соединениями для выделения и разделения актинидов и лантанидов из технологических растворов при переработке отработавшего ядерного топлива. Новые синтезированные N,O-гибридные донорные лиганды – производные 2,6-пиридиндикарбоновой кислоты – исследованы в качестве экстрагентов и компонентов мембран для потенциометрических сенсоров. Исследована экстракционная способность растворов этих соединений в мета-нитробензотрифториде по отношению к d- и f-элементам из растворов азотной и хлорной кислот. Показано, что замена амидных групп на сложноэфирные снижает экстракционную способность лигандов. Переход от азотной кислоты к хлорной дает резкое увеличение экстракционной способности за счет перхлоратного эффекта. Значительное увеличение экстракционной способности наблюдается также при добавлении в органическую фазу хлорированного дикарболлида кобальта: наибольший коэффициент распределения получен при соотношении концентраций экстрагента и добавки 1:1. Потенциометрические мембранные сенсоры на основе новых лигандов продемонстрировали значительную чувствительность к Cd2+. Изучена корреляция между поведением новых лигандов в экстракции и в потенциометрических измерениях.
Ключевые слова
Полный текст
Об авторах
Д. А. Казанина
Радиевый институт им. В.Г. Хлопина
Автор, ответственный за переписку.
Email: darinakazanina@gmail.com
Россия, 2-й Муринский просп., 28, Санкт-Петербург, 194021
M. Ю. Аляпышев
АО “Полиметалл Инжиниринг”
Email: darinakazanina@gmail.com
Россия, просп. Народного Ополчения, 2, Санкт-Петербург, 198216
В. А. Полукеев
АО “Вектон”
Email: darinakazanina@gmail.com
Россия, ул. 2-ой Луч, 9, Санкт-Петербург, 194021
В. А. Бабаин
Радиевый институт им. В.Г. Хлопина
Email: darinakazanina@gmail.com
Россия, 2-й Муринский просп., 28, Санкт-Петербург, 194021
Д. О. Кирсанов
Санкт-Петербургский государственный университет
Email: darinakazanina@gmail.com
Россия, Университетская наб., 7/9, Санкт-Петербург, 194021
Список литературы
- Kirsanov D.O., Babain V.A., Legin A. V. Multisensor Systems for Chemical Analysis: Materials and Sensors. New York: Jenny Stanford Publishing, 2013.
- Legin A.V., Babain V.A., Kirsanov D.O., Mednova O.V. Cross-sensitive rare earth metal ion sensors based on extraction systems // Sens. Actuators B: Chem. 2008. V. 131. № 1. P. 29.
- Aляпышев М.Ю., Бабаин В.А., Ткаченко Л.И. Амиды гетероциклических карбоновых кислот – новые экстрагенты для переработки ВАО // Радиохимия. 2014. Т. 56. № 6. С. 565. (Alyapyshev M.Y., Babain V.A., Tkachenko L.I. Amides of heterocyclic carboxylic acids as novel extractants for high-level waste treatment // Radiochemistry. 2014. V. 56. P. 565.)
- Alyapyshev M.Y., Babain V.A., Kirsanov D.O. Isolation and purification of actinides using N,O-hybrid donor ligands for closing the nuclear fuel cycle // Energies. 2022. V. 15. № 19. P. 7380.
- Archer E.M., Galley S.S., Jackson J.A., Shafer J.C. Investigation of f-element interactions with functionalized diamides of phenanthroline-based ligands // Solvent Extr. Ion Exch. 2023. V. 41. № 6. P. 697.
- Xu L., Yang X., Zhang A., Xu C., Xiao C. Separation and complexation of f-block elements using hard-soft donors combined phenanthroline extractants // Coord. Chem. Rev. 2023. V. 496. Article 215404.
- Спиридонов И.Г., Кирсанов Д.О., Бабаин В.А., Аляпышев М.Ю., Елисеев Н.И., Власов Ю.Г., Легин А.В. Полимерные сенсоры для определения ионов редкоземельных металлов на основе диамидов дипиколиновой кислоты // Журн. прикл. химии. 2011. Т. 84. № 8. С. 1354. (Spiridonov I.G., Kirsanov D.O., Babain V. A., Alyapyshev M.Y., Eliseev N.I., Vlasov Y.G., Legin A.V. Polymeric sensors for determination of rare-earth metal ions, based on diamides of dipicolinic acid // Russ. J. Appl. Chem. 2011. V. 84. P. 1354. https://doi.org/10.1134/S1070427211080106)
- Savosina J., Agafonova-Moroz M., Yaroshenko I., Ashina J., Babain V., Lumpov A., Legin A., Kirsanov D. Plutonium (IV) quantification in t echnologically relevant media using potentiometric sensor array // Sensors. 2020. V. 20. № 6. P. 1604. https://doi.org/10.3390/s20061604
- Кирсанов Д.О., Борисова Н.Е., Решетова М.Д., Иванов А.В., Коротков Л.А., Елисеев И.И., Аляпышев М.Ю., Спиридонов И.Г., Легин А.В., Власов Ю.Г., Бабаин В.А. Новые диамиды 2,2'-дипиридил-6,6'-дикарбоновой кислоты: Синтез, координационные свойства, возможности применения в электрохимических сенсорах и жидкостной экстракции // Изв. АН. 2012. Т. 61. № 4. С. 881. (Kirsanov D.O., Borisova N.E., Reshetova M.D., Ivanov A.V., Korotkov L.A., Eliseev I.I., Alyapyshev M.Y., Spiridonov I.G., Legin A.V., Vlasov Yu. G., Babain V.A. Novel diamides of 2,2 '-dipyridyl-6,6 '-dicarboxylic acid: Synthesis, coordination properties, and possibilities of use in electrochemical sensors and liquid extraction // Russ. Chem. Bull. 2012. V. 61. № 4. P. 881. https://doi.org/10.1007/s11172-012-0124-4)
- Ustynyuk Y.A., Borisova N.E., Babain V.A., Gloriozov I.P., Manuilov A.Y., Kalmykov S. N., Ustynyuk N.A. N, N ′-Dialkyl- N, N ′-diaryl-1,10-phenanthroline-2,9-dicarboxamides as donor ligands for separation of rare earth elements with a high and unusual selectivity. DFT computati onal and experimental studies // Chem. Commun. 2015. V. 51. P. 7466. https://doi.org/10.1039/C5CC01620G
- Alyapyshev M., Ashina J., Dar’in D., Kenf E., Kirsanov D., Tkachenko L., Legin A., Starova, G., Babain V. 1,10-Phenanthroline-2,9-dicarboxamides as ligands for separation and sensing of hazardous metals // RSC Adv. 2016. V. 73. P. 68642. https://doi.org/10.1039/C6RA08946A
- Al yapyshev M., Babain V., Tkachenko L., Kenf E., Vorona ev I., Dar’in D., Ustynyuk Y. Extraction of actinides with heterocyclic dicarboxamides // J. Radioanal. Nucl. Chem. 2018. V. 32. № 2. P. 138. https://doi.org/10.1007/s10967-018-5775-7
- Simonnet M., Kobayashi T., Shimojo K., Yokoyama K., Yaita T. Study on phenanthroline carboxamide for lanthanide separation: Influence of amide substituents // Inorg. Chem. 2021. V. 60. № 17. P. 13409. https://doi.org/10.1021/acs.inorgchem.1c01729
- Konopkina E.A., Matveev P.I., Hu ang P.W., Kirsanova A.A., Chernysheva M.G., Sumyanova T. B., Borisova N.E. Pyridine-di-phosphonates as chelators for trivalent f-elements: Kinetics, thermodynamic and interfacial study of Am(III)/Eu(III) solvent extraction // Dalton Trans. 2022. V. 51. P. 11180. https://doi.org/10.1039/d2dt01007k
- Yang X., Xu L., Hao Y., Meng R., Zhang X., Lei L., Xiao C. Effect of counteranions on the extraction and complexation of trivalent lanthanides with tetradentate phenanthroline-derived phosphonate ligands // Inorg. Chem. 2020. V. 59. № 23. P. 17453. https://doi.org/10.1021/acs.ino rgchem.0c02728
- Borowiak-Resterna A. Extraction of copper(II) from acid chloride solutions by N-dodecyl- and N,N-dihexylpyridinecarboxamides // Solvent Extr. Ion Exch. 1999. V. 17. P. 15.
- Tomaszewska M., Borowiak-Resterna A., Olszanowski A. Cadmium extraction from chloride solutions with model N -alkyl- and N, N -dialkyl-pyridine-carboxamides // Hydrometallurgy. 2007. V. 85. № 2. P. 116. https://doi.org/10.1016/j.hydromet.2006.08.008
- Кирсанов Д.О., Меднова О.В., Поль шин Е.Н., Легин А.В., Аляпышев М.Ю., Елисеев И.И., Бабаин В.А., Власов Ю.Г. Новые полимерные химические сенсоры для определения ионов свинца // Журн. прикл. химии. 2009. Т. 82. № 2. C. 247. (Kirsanov D.O., Me dnova O.V., Pol’shin E.N., Legin A.V., Al yapyshev M.Yu., Eliseev I.I., Babain V.A., Vlasov Yu. G. New polymeric chemical sensors for determination of lead ions // Russ. J. Appl. Chem. 2009. V. 82. P. 247. https://doi.org/10.1134/S1070427209020165 )
- Konopkina E.A., Pozdeev A.S., Kalle P., Kirsanov D.O., Smol'yanov N.A., Kirsanova A.A., Matveev P. I. Sensing and extraction of hazardous metals by di-phosphonates of heterocycles: A combined experimental and theoretical study // Dalton Trans. 2023. V. 36. P. 12934. https://doi.org/10.1039/d3dt01534c
- Galletta M., Scaravaggi S., Macerata E., Famulari A., Mele A., Panzeri W., Mariani M. 2,9-Dicarbonyl-1,10-phenanthroline deri vatives with an u nprecedented Am(III)/Eu(III) selectivity under highly acidic conditions // Dalton Trans. 2013. V. 48. P. 16930. https://doi.org/10.1039/c3dt52104d
- Wang C., Wu Q.Y., Wang C.Z., Lan J.H., Nie C.M., Chai Z.F. Prediction of binding stability of Pu(IV) and PuO2(VI) by nitrogen tridentate ligands in aqueous solution // Dalton Trans. 2020. V. 21. № 8. P. 2791. https://doi.org/10.3390/ijms21082791
- Butsch K., Sandleben A., Dokoohaki M.H., Zolgha dr A.R., Klein A. Pyridine-2,6-dicarboxylic acid esters (pydicR2) as O,N,O-pincer ligands in CuII // Inorganics. 2019. V. 7. № 4. P. 53. https://doi.or g/ 10.3390/inorganics7040053
- Chevallier P., Soutif J.C., Brosse J.C., Grote M. Poly(amide ester)s from 2,6-pyridinedicarboxylic acid and ethanolamine derivatives: Identification of macrocycles by matri x-assisted laser desorption/ionization mass spec trometry / / React. Funct. Polym. 1999. V. 15. № 15. P. 1476. https://doi.org/10.1002/RC M.742
- Kadir M.A., Mansor N., Yusof M.S.M., Sumby M.S.M. Synthesis and crystal structure of N-6-[(4-pyridylamino)carbonyl]-pyridine-2-carboxyl ic acid methyl ester zinc complex // Complex Metals. 2014. V. 1. p. 32. https://doi.org/10.1080/2164232X.2014.883289
- Johansen J.E., Christie B.D., Rapoport H. Iminium salts from α-amino acid decarbonylation. Application to the synthesis of berbines // J. Org. Chem. 1978. V. 43. № 11. P. 2115. https://doi.org/10.1021/jo00405a006
- S mirnov I.V., Chirkov A.V., Babain V.A., Pokrovskaya E.Y., Artamonova T.A. Am and Eu extraction from acidic media by synergistic mixtures of substitute d bis-tetrazolyl pyridines with chlorinated cobalt dicarbollide // Radiochim. Act a. 2009. V. 97. № 10. P. 593. https://doi.org/10.1524/ract.2009.1648
- Rais J., Tachimori S., Selucký P., Kadlecova L. Synergetic extraction in systems with dicarbollide and bidentate phosphonate // Sep. Sci. Technol. 1994. V. 29. № 2. P. 261. https://doi.org/10.1080/01496399408002482
- Bakker E., Buhlmann P., Pretsch. E. ChemInform abstract: Carrier-based ion-selective electrodes and bulk optodes. Part 1. General characteristics // Chem. Rev. 1997. V. 29. № 11. P. 92. https://doi.org/10.1002/chin.199811318
- Esbensen K.H. Multivariate Data An alysis – In Practice. An Introduction to Multivariate Data Analysis and Experimental Design, 5th Ed., Oslo: CAMO AS, 2001.
- Бабаин В.А., Аляпышев М.Ю., Смирнов И.В., Шадрин А.Ю. Экстракция америция и европия диамидами ди пиколиновой кислоты во фторорганических растворителях // Радиохимия. 2006. Т. 48. № 4. С. 331. (Babain V.A., Alyapyshev M.Y., Smirnov I.V., Shadrin A.Y. Extraction of Am and Eu with N, N′-substituted pyridine-2, 6-dicarboxamide s in fluorinated diluents // Radiochemistry. 2006. V. 48. № 4. P. 331. https://doi.org/10.1134/S1066362206040102)
- Rais J., Grüner B. Ion Exchange and Solvent Extraction. Boca Raton: CRC Press, 1973.
- Grüner B., Rais J., Selucký P., Lucˇaníková M. Boron Science: New Technologies and Applications. Boca Raton: CRC Press, 2016
- Suzuki H., Naganawa H., Tachimori S. Extraction of europium(III) into W/O microemulsion containing aerosol OT and a bulky diamide. I. Cooperative effect // S olvent Extr. Ion Exch. 2003. V. 21. № 4. P. 527. https://doi.org/10.1081/SEI-120022519
- Rey J., Atak S., Dourdain S., Arrachart G., Berthon L., Pellet-Rostaing S. Synergistic extraction of rare earth elements from phosphoric acid medium using a mixture of surfactant AOT and DEHCNPB // Solvent Extr. Ion Exch. 2017. V. 35. № 5. P. 321. https://doi.org/10.1080/07366299.2017.1362852
- Аляпышев М.Ю., Бабаин В.А., Смирнов И.В. Изучение экстракционных свойств синергетных смесей диамидов дипико линовой кислоты и хлорированного дикарболлида кобальта // Радиохимия. 2004. Т. 46. № 3. С. 250. (Alyapyshev M.Y., Babain V.A., Smirnov I.V. Extractive properties of synergistic mixtures of dipicolinic acid diamides and chlorinated cobalt dicarbol lide // Radiochemistry. 2004. V. 46. P. 2 5 0. https://doi.org/10.1023/B:RACH.0000031687.46581.eb)
- Chmutova M.K., Litvina M.N., Nesterova N.P., Myasoedov B.F., Kabachnik M.I. Extraction of lanthanide chlorides, nitrates, and perchlorates by methylenebis(di-n-hexylphosphine oxide) and related extractants // Solvent. Extr. Ion Exch. 1992. V. 41. № 14. P. 2010. https://doi.org/10.1021/ac50159a035
- Туранов А.Н., Карандашев В.К., Яркевич А.Н., Сафронова З.В. Селективность экстракции U (VI), Th (IV), и РЗЭ(III) из растворов хлорной кислоты бидентатными фосфорилзамещенными бутилфенилфосфинатами // Радиохимия. 2011. Т. 53. С. 264. (Turanov A.N., Karandashev V.K., Yarkevich A.N., Safronova Z.V. Selectivity of extraction of U(VI), Th(IV), and REE(III) from perchloric acid solutions with bidentate phosphoryl-substituted butyl phenylphosphinates // Radiochemistry. 2011. V. 53. P. 264. https://doi.org/10.1134/S1066362211030064)
- Туранов А. Н., Карандашев В. К., Баулин В. Е., Баулин Д. В. Экстракция U(VI), Th(IV), РЗЭ (III) и Sc(III) из нитратных и перхлоратных растворов 1,5- бис [ди (п - толил) фосфорил]-3- оксапентаном // Радиохимия (Turanov A.N., Karandashev V.K., Baulin V.E., Baulin D.V. Extraction of U(VI), Th(IV), REE(III), and Sc(III) from nitrate and perchlorate solutions with 1,5-Bis[di(p-tolyl)phosphoryl]-3-oxapentane // Radiochemistry. 2023. V. 65. P. 404. https://doi.org/10.1134/S1066362223040021)
- Туранов А.Н., Карандашев В.К., Баулин В.Е., Баулин Д.В. Экстракция РЗЭ(III), U (VI) и Th (IV) диоксидом тетрафенил(о-оксифениленметилен)дифосфина из перхлоратных растворов // Радиохимия. 2019. Т. 61. № 2. С. 117. (Turanov A.N., Karandashev V.K., Baulin V.E., Baulin D.V. Extraction of REE(III), U(VI), and Th(IV) from perchlorate solutions with tetraphenyl(o -oxyphenylenemethylene)diphosphine dioxide // Radiochemistry. 2019. V. 61. P. 156. https://doi.org/10.1134/S1066362219020048)
- Ansari S.A., Pathak P.N., Manchanda V.K., Husain M., Prasad A.K., Parmar V.S. N,N,N′,N′-Tetraoctyl diglycolamide (TODGA): A promising extractant for actinide-partitioning from high-level waste (HLW) // Solvent Extr. Ion Exch. 2005. V. 23. № 4. P. 463. https://doi.org/10.1081/SEI-200066296
- Аляпышев М.Ю., Бабаин В.А., Антонов Н.Г., Смирнов И.В. Экстракция америция и европия ди-и тетера-алкилдиамидами дипиколиновой кислоты из хлорных сред // Журн. прикл. химии. 2006. T. 79. № 11. C. 1827. (Alyapyshev M.Y., Babain V.A., Antonov N.G., Smirnov I.V. Extraction of americium and europium from perchloric acid solutions with N,N′-dialkyl-and N,N,N′,N′-tetraalkylpyridine-2,6-dicarboxamides // Russ. J. Appl. Chem. 2006. V. 79. P. 1808. https://doi.org/10.1134/S1070427206110139)
- Simonnet M., Suzuki S., Miyazaki Y., Kobayashi T., Yokoyama K., Yaita T. Lanthanide intra-series separation by a 1,10-phenanthroline derivative: Counterion effect // Solvent Extr. Ion Exch. 2020. V. 38. № 4. P. 430. https://doi.org/10.1080/07366299.2020.1744806
- Sun M., Xu L., Yang X., Wang S., Lei L., Xiao C. Complexation behaviors of a tridentate phenanthroline carboxamide ligand with trivalent f-block elements in different anion systems: A thermodynamic and crystallographic perspective // Inorg. Chem. 2022 V. 61. № 6. Р. 2824. https://doi.org/10.1021/acs.inorgchem.1c03270
- Yang X., Xu L., Hao Y., Meng R., Zhang X., Lei L., Xiao C. Effect of counteranions on the extraction and complexation of trivalent lanthanides with tetradentate phenanthroline-derived phosphonate ligands // Inorg. Chem. 2020. V. 59. № 23. P. 17453. https://doi.org/10.1021/acs.inorgchem.0c02728
- Chen B., Liu J., Lv L., Yang L., Luo S., Yang Y., Peng S. Complexation of lanthanides with N,N,N′,N′-tetramethylamide derivatives of bipyridinedicarboxylic acid and phenanthrolinedicarboxylic acid: Thermodynamics and coordination modes // Inorg. Chem. 2019. V. 58. № 11. Р. 7416. https://doi.org/10.1021/acs.inorgchem.9b00545
- Ярошенко И.С., Аляпышев М.Ю., Бабаин В.А., Легин А.В., Кирсанов Д.О. Потенциометрические сенсоры и мультисенсорные системы для определения лантанидов // Журн. аналит. химии. 2019. Т. 74. № 10. С. 784. (Yaroshenko I.S., Alyapyshev M.Yu., Babain V.A., Legin A.V., Kirsanov D.O. Potentiometric sensors and multisensor systems for the determination of lanthanides // J. Anal. Chem. 2019. V. 74. P. 1003. https://doi.org/10.1134/S1061934819100113)
- Темердашев З.А., Абакумов А.Г., Каунова А.А., Шелудько О.Н., Цюпко Т.Г. Оценка качества и региона происхождения вин // Журн. аналит. химии. 2023. Т. 78. С. 1784. (Temerdashev Z.A., Abakumov A.G., Kaunova A.A., Shelud’ko O.N., Tsyupko T.G. Assessment of quality and region of origin of wines // J. Anal. Chem. 2023. V. 78. P. 1724. https://doi.org/10.1134/S1061934823120171 )
- Бобрешова О.В., Паршина А.В., Пожидаева Ю.В. Потенциометрические перекрестно чувствительные ПД-сенсоры для совместного определения никотиновой кислоты и пиридоксина гидрохлорида в водных растворах // Журн. аналит. химии. 2013. Т. 68. № 4. С. 348. (Bobreshova O.V., Parshina A. V., Poshideva Yu. V. Potentiometric cross-sensitive PD sensors for the simultaneous determination of nicotinic acid and pyridoxine hydrochloride in aqueous solutions // J. Anal. Chem. 2013. V. 68. P. 321. https://doi.org/10.1134/S1061934813020044)
Дополнительные файлы












