Сорбционное концентрирование флавоноидов упорядоченными мезопористыми кремнеземами, синтезированными в присутствии потенциального сорбата
- Авторы: Завалюева А.С.1, Карпов С.И.1, Селеменев В.Ф.1
-
Учреждения:
- Воронежский государственный университет
- Выпуск: Том 79, № 12 (2024)
- Страницы: 1291-1299
- Раздел: ОРИГИНАЛЬНЫЕ СТАТЬИ
- Статья получена: 06.03.2025
- Статья одобрена: 06.03.2025
- URL: https://bakhtiniada.ru/0044-4502/article/view/282594
- DOI: https://doi.org/10.31857/S0044450224120024
- EDN: https://elibrary.ru/stuqli
- ID: 282594
Цитировать
Аннотация
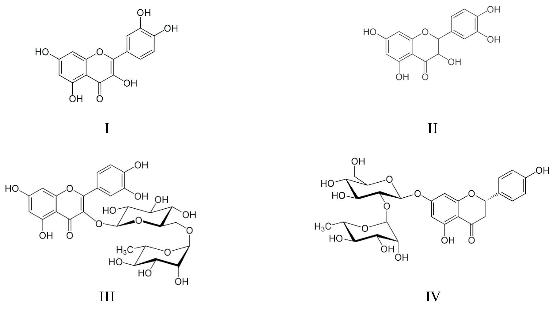
Применение наностуктурированных сорбентов на стадиях пробоподготовки (извлечения, концентрирования) многокомпонентных смесей в процессах твердофазной экстракции органических веществ вызывает широкий интерес. В представленной работе изучены сорбционные свойства упорядоченных мезопористых аналогов SBA-15, синтезированных в присутствии кверцетина как потенциального сорбата. Рассмотрены особенности сорбционного выделения и концентрирования кверцетина, дигидрокверцетина, нарингина и рутина в динамических условиях из ацетонитрильных растворов методом выходных кривых. Использование обобщенного критерия оптимизации сорбционного концентрирования CЕ в рамках модели динамического сорбционного концентрирования Веницианова–Цизина с учетом лимитирующей (смешанно-диффузионной) стадии кинетики сорбции позволило оценить эффективность сорбционного концентрирования флавоноидов на исследуемых сорбентах. Показано, что использование упорядоченного кремнезема, синтезированного в присутствии потенциального сорбата, позволяет значительно увеличить эффективность концентрирования по сравнению с неструктурированными кремнеземами, а также образцами немодифицированного аналога SBA-15.
Полный текст
Об авторах
А. С. Завалюева
Воронежский государственный университет
Автор, ответственный за переписку.
Email: a-kh-01@yandex.ru
Россия, Университетская пл., 1, Воронеж, 394018
С. И. Карпов
Воронежский государственный университет
Email: a-kh-01@yandex.ru
Россия, Университетская пл., 1, Воронеж, 394018
В. Ф. Селеменев
Воронежский государственный университет
Email: a-kh-01@yandex.ru
Россия, Университетская пл., 1, Воронеж, 394018
Список литературы
- Темердашев З.А., Виницкая Е.А., Милевская В.В., Статкус М.А. Концентрирование углеродными сорбентами фенольных соединений и их хроматографическое определение в водных экстрактах лекарственных растений // Журн. аналит. химии. 2021. Т. 76. № 3. С. 208. https://doi.org/10.31857/S0044450221030142 (Temerdashev Z.A., Vinitskaya E.A., Milevskaya V.V., Statkus M.A. Preconcentration of phenolic compounds on carbon sorbents and their chromatographic determination in aqueous extracts of medicinal plants // J. Anal. Chem. 2021. V. 76. №. 3. P. 296. https://doi.org/10.1134/S106193482103014X)
- Ланин С.Н., Рычкова С.А. Виноградов А.Е., Вирясов М.Б., Востров И.А., Шаталов И.А. Сорбция водорастворимых витаминов на сорбентах различной природы // Сорбционные и хроматографические процессы. 2015. Т. 15. № 2. С. 179.
- Чикурова Н.Ю., Шемякина А.О., Брыскина Д.Э., Нуриев В.Н., Комаров А.А., Статкус М.А., Ставрианиди А.Н., Чернобровкина А.В. Новый сорбент для гидрофильной хроматографии на основе силикагеля, модифицированного по реакции Уги // Журн. аналит. химии. 2021. Т. 76. № 9. С. 832. https://doi.org/10.31857/S0044450221090036 (Chikurova N.Y., Shemyakina A.O., Nuriev V.N., Statkus M.A., Stavrianidi A.N., Chernobrovkina A.V., Bryskina D.E., Komarov A.A. A novel adsorbent for hydrophilic chromatography based on silica modified by the Ugi reaction // J. Anal. Chem. 2021. V. 76. № 9. P. 1083. https://doi.org/10.1134/S1061934821090033)
- Федорова И.А., Шаповалова Е.Н., Шпигун О.А. Разделение энантиомеров β -блокаторов и аминокислот на смешанном хиральном сорбенте, модифицированном макроциклическими антибиотиками эремомицином и ванкомицином // Журн. аналит. химии. 2017. Т. 72. № 1. P. 57. https://doi.org/10.7868/S0044450217010078 (Fedorova I.A., Shapovalova E.N., Shpigun O.A. Separation of β -blocker and amino acid enantiomers on a mixed chiral sorbent modified with macrocyclic antibiotics eremomycin and vancomycin // J. Anal. Chem. 2017. V. 72. № 1. P. 76. https://doi.org/10.1134/S1061934817010075)
- Beck J.S., Vartuli J.C., Roth W.J., Leonowicz M.E., Kresge C.T., Schmitt K.D. et al. A new family of mesoporous molecular sieves prepared with liquid crystal templates // J. Am. Chem. Soc. 1992. V. 114. P. 10834. https://doi.org/10.1021/JA00053A020
- Kresge C.T., Leonowicz M.E., Roth W.J., Vartuli J.C., Beck J.S. Ordered mesoporous molecular sieves synthesized by a liquid-crystal template mechanism // Nature. 1992. V. 359. P. 710. https://doi.org/10.1038/359710a0
- Zhao D., Feng J., Huo Q., Melosh N., Fredrickson G.H., Chmelka B.F., Stucky G.D. Triblock copolymer syntheses of mesoporous silica with periodic 50 to 300 angstrom pores // Science. 1998. V. 279. P. 548. https://doi.org/10.1126/science.279.5350.548
- Gañán J., Pérez-Quintanilla D., Morante-Zarcero S., Sierra I. Comparison of different mesoporous silicas for off-line solid phase extraction of 17β-estradiol from waters and its determination by HPLC-DAD // J. Hazard. Mater. 2013. V. 260. P. 609. https://doi.org/10.1016/ j. jhazmat.2013.06.016
- Синяева Л.А., Беланова Н.А., Карпов С.И., Селеменев В.Ф., Roessner F. Сорбционное концентрирование фосфатидилхолина наноструктурированными мезопористыми материалами в динамических условиях // Журн. аналит. химии. Т. 73. № 9. С. 663. https://doi.org/10.1134/S0044450218090141 (Sinyaeva L.A., Belanova N.A., Karpov S.I., Selemenev V.F., Roessner F. Adsorption preconcentration of phosphatidylcholine on nanostructured mesoporous materials under dynamic conditions // J. Anal. Chem. 2018. V. 73. № 9. P. 847. https://doi.org/10.1134/S1061934818090149)
- Карпов С.И., Корабельникова Е.О. Разделение (+)-катехина и кверцетина на мезопористых композитах МСМ-41. Динамика сорбции флавоноидов // Журн. физ. химии. 2015. Т. 89. № 6. С. 1030. https://doi.org/10.7868/s0044453715060151 (Karpov S.I., Korabel'nikova E.O. Separation of (+)-catechin and quercetin on mesoporous MCM-41 composites: Dynamics of the sorption of flavonoids // Russ. J. Phys. Chem. A. 2015. V. 89. № 6. P. 1096. https://doi.org/10.1134/S0036024415060151)
- Карпов С.И., Беланова Н.А., Корабельникова Е.О., Недосекина И.В., Roessner F., Селеменев В.Ф. Хроматографическое разделение и концентрирование кверцетина и (+)-катехина с использованием мезопористых композитов на основе МСМ-41 // Журн. физ. химии. 2015. Т. 89. № 5. С. 855. https://doi.org/10.7868/S0044453715050179 (Karpov S.I., Belanova N.A., Korabel'nikova E.O., Nedosekina I.V., Selemenev V.F., Roessner F. Chromatographic separation and concentration of quercetin and (+)-catechin using mesoporous composites based on MCM-41 // Russ. J. Phys. Chem. A. 2015. V. 89. № 5. P. 882. https://doi.org//10.1134/S0036024415050179)
- Boateng I.D., Yang X.-M., Yin H., Liu W. Separation and purification of polyprenols from Ginkgo biloba leaves by silver ion anchored on imidazole-based ionic liquid functionalized mesopo rous MCM-41 sorbent // Food Chem. 2024. V. 450. Article 139284. https://doi.org/10.1016/j.foodchem.2024.139284
- Cao W., Ye L.H., Cao J., Xu J.-J., Peng L.-Q., Zhu Q.-Y., et al. Quantitative analysi s of flavanones from citrus fruits by using mesoporous molecular sieve-based miniaturized solid phase extraction coupled to ultrahigh-performance liquid chromatography and quadrupole time-of-flight mass spectrometry // J. Chromatogr. A. 2015. V. 1406. P. 68. https://doi.org/10.1016/j.chroma.2015.06.035
- Wang X., Li J., Yang X., Gao X.-M., Wang H., Chang Y.-X. A rapid and efficient extraction method based on industrial MCM-41-miniaturized matrix solid-phase dispersion extraction with response surface methodology for simultaneous quantification of six flavonoids in Pollen typhae by ultra-high-performance liquid chromatography // J. Sep. Sci. 2019. V. 42. № 14. P. 2426. https://doi.org/10.1002/jssc.201900227
- Cotea V. V., Luchiana C.E., Bilbaa N., Niculauac M. Mesoporous silica SBA-15, a new adsorbent for bioactive polyphenols from red wine // Anal. Chim. Acta. 2012. V. 732. P. 180. https://doi.org/10.1016/ j. aca.2011.10.019
- Золотов Ю.А., Цизин Г.И., Моросанова Е.И., Дмитриенко С.Г. Сорбционное концентрирование микрокомпонентов для целей химического анализа // Успехи химии. 2005. Т. 74. № 1. С. 41.
- Хлуднева А.С., Карпов С.И., Roessner F., Селеменев В.Ф. Структура и сорбционные свойства мезопористых кремнеземов, синтезированных при варьировании температуры и кремниевой основы // Сорбционные и хроматографические процессы. 2021. Т. 21. № 5. С. 669. https://doi.org/10.17308/ sorpchrom.2021.21/3773
- Мамылов С.Г., Ломовский И.О., Ломовский О.И. Термическое взаимодействие кверцетина и глюкозы. Влияние механохимического воздействия. Квантово-химический расчет маршрутов реакции // Фундаментальные проблемы современного материаловедения. 2022. Т. 19. № 3. С. 315. https://doi.org/10.25712/ASTU.1811-1416.2022. 03.004
- Hafezian S.M., Azizi S.N., Biparva P., Bekhradnia A. High-efficiency purification of sulforaphane from the broccoli extract by nanostructured SBA-15 silica using solid-phase extraction method // J. Chromatogr. B. 2019. V. 1108. P. 1. https://doi.org/10.1016/j.jchromb.2019.01.007
- Wang L., Yan H., Yang C., Li Z., Qiao F. Synthesis of mimic molecularly imprinted ordered mesoporous silica adsorbent by thermally reversible semicovalent approach for pipette-tip solid-phase extraction-liquid chromatography fluorescence determination of estradiol in milk // J. Chromatogr. A. 2016. V. 1456. P. 58. https://doi.org/10.1016/j.chroma.2016.06.010
- Scheid C., Mello W., Buchner S., Benvenutti E.V., Deon M., Merib J. Efficient analysis of polycyclic aromatic hydrocarbons by dispersive-µ-solid-phase extraction using silica-based nanostructured sorbent phases coupled to gas chromatography-mass spectrometry // Adv. Sample Prep. 2023. V. 7. P. 10070. https://doi.org/10.1016/ j. sampre.2023.100070
- Беланова Н.А., Карпов С.И., Селеменев В.Ф., Ресснер Ф., Макаревич Е.О. Способ концентрирования и разделения флавоноидов. Патент РФ № 2646805 C 1. Заявка 2016149469 от 15.12.2016, опубл. 07.03.2018.
- Кузьминых В.А., Чикин Г.А., Селеменев В.Ф. Асимптотическая теория динамики ионообменной сорбции при необменном поглощении электролита и соизмеримых диффузионных сопротивлениях взаимодействующих фаз / Труды VIII региональной конференции “Проблемы химии и химической технологии”. Воронеж. 21–22 сентября 2000. С. 123.
- Fang Z., Welzt B. Optimisation of experimental parameters for flow injection flame atomic absorption spectrom etry // J. Anal. Atom. Spectrom. 1989. V. 4. P. 83.
- Веницианов Е.В., Ковалев И.А., Цизин Г.И. Оптимизация динамического сорбционного концентрирования в аналитической химии // Теория и практика сорбционных процессов. Межвузовский сб. науч. трудов. 1998. Т. 23. С. 24.
- Веницианов В.В., Волков Б.И., Иоффе В.П., Колосова Г.М., Рубинштейн Н.Н. Некоторые задачи динамики сорбции в области линейной изотермы при внешнедиффузионной кинетике // Заводск. лаборатория. 1971. № 5. С. 544.
Дополнительные файлы






