Сульфосодержащие гетарилформазаны как перспективные реагенты для гибридных тест-систем
- Authors: Маслакова Т.И.1, Первова И.Г.1, Мельник Т.А.1, Маслаков П.А.1
-
Affiliations:
- Уральский государственный лесотехнический университет
- Issue: Vol 79, No 1 (2024)
- Pages: 3-11
- Section: Articles
- Submitted: 29.06.2024
- Accepted: 29.06.2024
- URL: https://bakhtiniada.ru/0044-4502/article/view/258172
- DOI: https://doi.org/10.31857/S0044450224010014
- EDN: https://elibrary.ru/ljpctx
- ID: 258172
Cite item
Full Text
Abstract
Представлен обзор экспериментальных данных и рассмотрены особенности создания гибридных тест-систем в результате уникального сочетания твердофазных матриц различной природы и водорастворимых сульфосодержащих гетарилформазанов в качестве аналитических иммобилизованных реагентов. Обсуждены аналитические возможности подобных гибридных тест-систем для полуколичественного определения содержания ионов металлов в водных средах.
Keywords
Full Text
Создание гибридных химических тест-систем остается актуальной задачей для сигнального и полуколичественного определения химической загрязненности воды, почвы, воздуха, питания металлами-токсикантами, а также при постановке модельных опытов. Действие оптических тест-систем основано на изменении цвета индикаторной матрицы с закрепленным органическим реагентом (хромогенной функционально-аналитической группировкой) при его взаимодействии с ионами металлов, что позволяет определить их содержание по цветовому оттенку матрицы. Такие гибридные тест-системы особенно востребованы в критических случаях, когда необходимо быстро определить состав объекта окружающей среды без привлечения специализированного оборудования и существенных затрат времени и материальных средств на процедуру анализа.
В настоящее время реализуют три основных метода получения таких тест-систем.
Первый вариант заключается в предварительной иммобилизации (закреплении) реагентов различной структуры на матрицу и последующем взаимодействии полученного таким образом модифицированного сорбента с анализируемым раствором (рис. 1а).
Второй вариант заключается в предварительной сорбции определяемого токсиканта из анализируемого раствора на матрицу и последующей “проявке“ раствором органического реагента (рис. 1б).
Третий вариант состоит в предварительном взаимодействии реагента с ионами металлов непосредственно в анализируемой пробе с последующим извлечением сформированного металлокомплекса выбранным сорбентом (рис. 1в).
Рис. 1. Методы получения гибридных тест-систем: вариант 1 (а), 2 (б) и 3 (в)
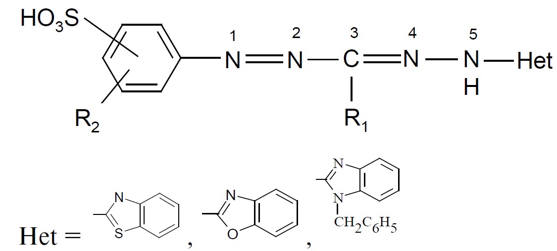
Органические соединения класса гетарилформазанов общей формулы, приведенной на схеме 1, представляют значительный интерес при применении их в качестве хромофорных реагентов благодаря сочетанию единой сопряженной азогидразонной группировки и высокой вариабельности заместителей, вводимых в состав при синтезе [1–5]. Наличие HSO3-группы в составе реагента обеспечивает растворимость синтезированных сульфосодержащих формазанов в органических растворителях и даже в воде, что позволяет использовать матрицы разной природы, в то время как присутствие гидроксигруппы R2 способствует проявлению селективности при комплексообразовании.
Схема 1. Общая формула исследуемых реагентов
Комплексные соединения на основе формазанов давно привлекают внимание исследователей вследствие устойчивой окраски, интенсивность которой сохраняется и в условиях твердофазной реакции. Таким образом, гибридные системы с иммобилизованными формазановыми группировками одновременно выполняют функции сорбентов для концентрирования металлов и аналитических реагентов при определении их содержания.
Следует отметить, что интерес к гибридным методам в последнее время несколько угас, однако задача отыскания возможности определения содержания токсиканта в водных средах просто и быстро без участия высококвалифицированного персонала и применения дорогостоящего оборудования остается нерешенной. Поиск уникальных сочетаний высокочувствительного органического реагента, твердофазной матрицы, на поверхности которой проходят взаимодействие иона металла с реагентом и детектирование образовавшегося комплекса, а также способа взаимодействия функционально-аналитических группировок с аналитом продолжает оставаться актуальной задачей при разработке эффективных гибридных методов.
В течение 15 лет на кафедре физико-химической технологии защиты биосферы Уральского государственного лесотехнического университета ведутся работы по созданию и исследованию разнообразных твердофазных реактивных индикаторных систем (ТРИС) с иммобилизованными гетарилформазанами для обнаружения и определения содержания токсичных металлов в водных средах [3–5]. Для детектирования изменения окраски синтезированных реагентов при взаимодействии с определяемым ионом металла используются спектроскопия отражения, цветометрия, визуальная колориметрия [6].
Данная публикация представляет собой обзор исследований авторов по созданию гибридных твердофазных тест-систем, полученных путем иммобилизации гетарилформазановых функциональных группировок для определения ионов металлов в водных средах.
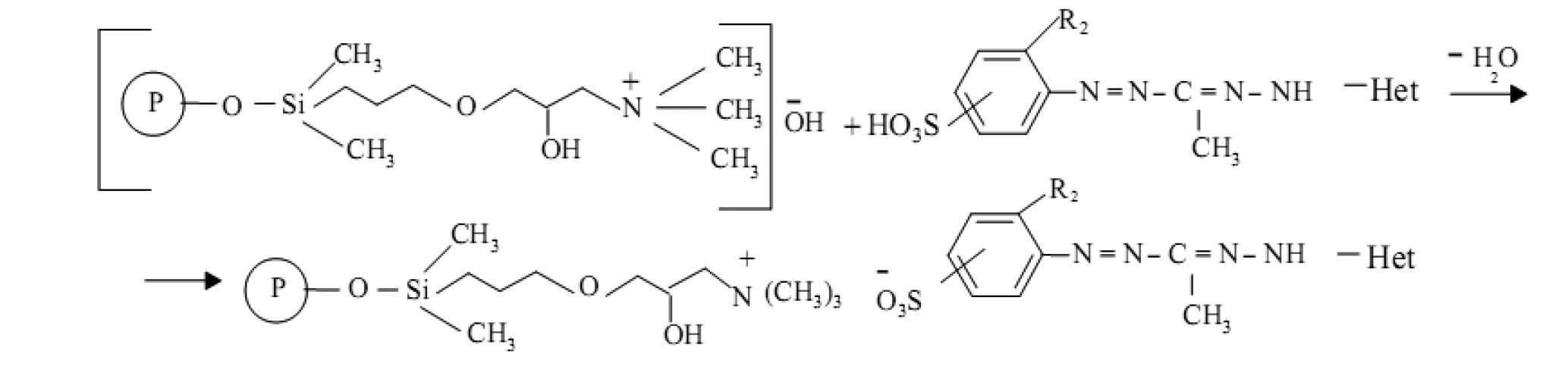
Твердофазные реактивные индикаторные системы на основе иммобилизованных сульфосодержащих формазанов. Ранее [7–12] на примере анионитов АН-18–10п, АН-20, АН-22, АН-31 в ОН-форме нами отработана методика модификации полимерных твердофазных матриц сульфосодержащими формазанами (вариант 1, рис. 1а) по ионному механизму за счет сил электростатического взаимодействия с получением сорбентов для селективного и комплексного извлечения ионов металлов из водных растворов.
Данный синтетический подход (схема 2) реализован при иммобилизации сульфосодержащих 3-метил-5-бензазолилформазанов различного состава на минеральную полимерную матрицу, в качестве которой использовали силикагель ДИАСОРБ-100-ТА дисперсностью 63–200 мкм с триметиламмониевыми группировками в количестве до 0.32 ммоль/г фирмы “БиоХимМак СТ” (Москва, Россия) [13].
Схема 2. Ионный механизм закрепления формазановых группировок на силикагель ДИАСОРБ-100ТА
Результатом реализации первого варианта получения тест-систем является снижение подвижности реагента, а перераспределение электронной плотности в молекуле лиганда при иммобилизации на матрицу способствует изменению его комплексообразующей способности и повышению селективности.
Извлечение ионов Cu(II), Co(II), Ni(II), Zn(II), Cd(II), Pb(II) из растворов в результате комплексобразования с иммобилизованными на твердофазный носитель формазановыми группировками практически во всех случаях сопровождается хромогенной реакцией уже при концентрации металла 30 мг/л [13, 14]. Так, при контакте 1-(4-сульфофенил)-5-(бензоксазол-2-ил) содержащего формазан твердофазного индикатора с ионами Ni(II) с содержанием 30–300 мкг/мл при рН 4.0–6.0 фиксируется изменение окраски поверхности сорбента от красной (λmax = 395 нм) до синей (λmax = 605 нм, Δλ = 210 нм).
Разработаны методики твердофазно-спектроскопического и тест-определения ионов Ni(II) и Cd(II) иммобилизованными на силикагеле 1-(4-сульфофенил)-5-(бензоксазол-2-ил)- и 1-(2-гидрокси-5-сульфофенил)-5-(бензтиазол-2-ил)формазанами соответственно [15, 16]. Разница в изменении цвета индикатора хорошо определяется визуально и позволяет сделать достоверный вывод о наличии или отсутствии ионов металлов в анализируемом растворе, а также выполнить их полуколичественное определение по шкале сравнения. Определению ионов Ni(II) не мешают Со(II), Pb(II), ионы щелочных и щелочноземельных металлов в соотношении 1:5 [15]. Определению ионов Cd(II) не мешают десятикратные избытки Co(II) и Ni(II) (по массе) [16] (табл. 1).
Таблица 1. Аналитические характеристики методик определения содержания металлов в водных средах
Определяемый металл | Реагент | Матрица | Способ взаимодействия (детектирования)* | смин, мкг/см3 | ДОС**, мкг/мл | Уравнение градуировочного графика | R2 |
Ni(II) | 1-(4-Сульфофенил)-3-метил-5-(бензоксазол-2-ил)формазан | Силикагель ДИАСОРБ-100-ТА | 1 / RGB | 30 | 30–100 | Ar =2.222c + 0.141 | 0.986 |
1 / СДО | 15 | F(R) = 0.011c + 0.005 | 0.992 | ||||
Cd(II) | 1-(2-Гидрокси-5-сульфофенил)-3-метил-5-(бензтиазол-2-ил)формазан | 1 / СДО | 0.005 | 0.005–1.000 | F(R) = 0.731c + 0.012 | 0.998 | |
1 / RGB | 0.05 | 0.05–1.00 | Ar = 0.907c + 0.050 | 0.980 | |||
Ni(II) | 1-(4-Сульфофенил)-3-метил-5-(бензтиазол-2-ил)формазан | Силикагель ДИАСОРБ-250-Амин | 1 / RGB | 1.5 | 3.0–60 | Ar = 2.203с + 2.083 | 0.983 |
Ni(II) | ОЖГ | 1 / ЭСП 1 / RGB | 0.006 | 0.1–7.2 | A = 0.036с + 0.007 | 0.996 | |
0.05 | 0.1–7.0 | Ar = 19.140с + 9.285 | 0.975 | ||||
Cu(II) | 0.004 | 0.1–7.5 | A = 0.054с + 0.008 | 0.997 | |||
0.05 | 0.1–7.0 | Ar = 17.50с + 11.66 | 0.984 | ||||
Cu(II) | 1-(4-Сульфофенил)-3-метил-5-(бензилбензимидазол-2-ил)формазан | Тканое полотно — лен | 2 / СДО | 0.009 | 0.03–0.8 | F(R) = 1.480c — 0.011 | 0.991 |
2 / RGB | 0.015 | 0.03–0.8 | Ar = 314.56c + 3.756 | 0.985 | |||
Cu(II) | 1-(4-Сульфофенил)-3-метил-5-(бензтиазол-2-ил)формазан | Силикагель ДИАСОРБ-100-ТА | 3 / RGB | 0.4 | 0.8–4.0 | Ar = 56.030c + 2.774 | 0.987 |
* Способы детектирования: СДО – спектроскопия диффузного отражения, ЭСП – электронная спектроскопия в видимой области, RGB – цветометрические характеристики тест-систем в системе RGB.
** Диапазон определяемых содержаний.
Нами также реализован вариант индикаторной трубки, заполненной “мокрым“ способом содержащим 1-(2-гидрокси-5-сульфофенил)-3-метил-5-(бензтиазол-2-ил)формазан силикагелем ДИАСОРБ-100-ТА, что позволило понизить предел обнаружения ионов Cd(II) до 0.05 мг/л [16, 17]. Металл определяют по интенсивности окраски реакционной зоны индикаторного сорбента после пропускания через него анализируемого раствора. Определению Cd(II) не мешает присутствие ионов Co(II), Ni(II) в соотношении 1:10.
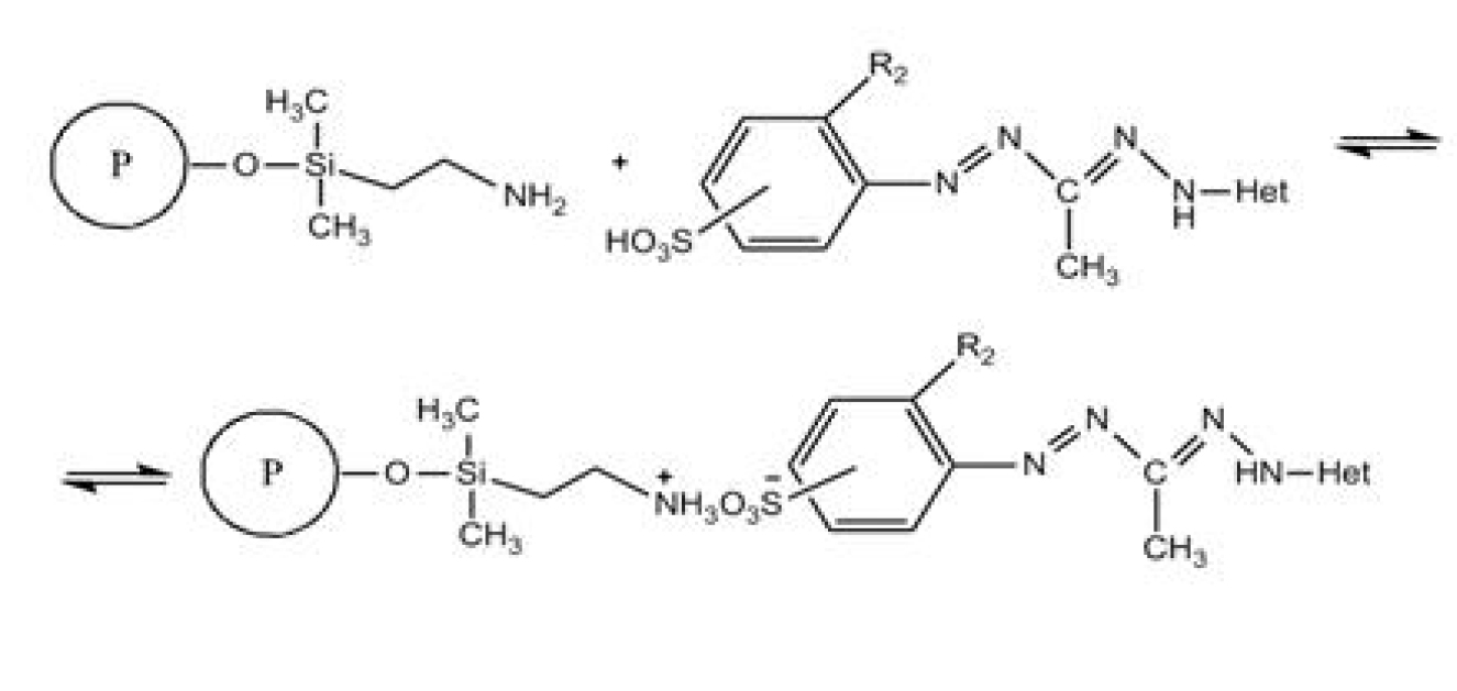
При функционализации поверхности модифицированного γ-аминопропилтриэтоксисиланом силикагеля ДИАСОРБ-250-Амин фирмы “БиоХимМак СТ” (Москва, Россия) с помощью сульфосодержащих формазанов (схема 3) методом квантово-химических расчетов функционала плотности (B3LYP) с базисом 6–31G** системы сорбент–сорбат установлено, что данный тип силикагеля обладает большим сродством к незамещенным формазанам, которые прочнее удерживаются поверхностью матрицы, чем в случае использования о-гидроксифенилзамещенных аналогов [18, 19].
Схема 3. Ионный механизм закрепления формазановых группировок на силикагель ДИАСОРБ-250-Амин
При взаимодействии поверхности силикагеля ДИАСОРБ-250-Амин с иммобилизованными формазанами с водными растворами, содержащими ионы Hg(II), Cu(II), Ni(II), Со(II) и Pd((II), образуются внутрикомплексные соединения, что подтверждается изменением окраски. Цветовые переходы, контрастность которых составляет 90–180 нм и зависит от природы иона-комплексообразователя, наблюдаются уже при начальной концентрации металлов 0.04 мкг/мл [18, 19].
Для изучения цветометрических характеристик матриц в качестве устройства для получения фотографий использовали смартфон S21 Ultra (Samsung, Южная Корея), затем полученное изображение с помощью подключения к компьютеру через дата-кабель USB импортировали в графический редактор GIMP для получения окончательного значения цвета в формате RGB.
В качестве аналитического сигнала Ar использовали цифровые значения интенсивностей зеленого цвета анализируемой пробы. На основе силикагеля ДИАСОРБ-250-Амин с 1-(4-сульфофенил)-3-метил-5-(бензтиазол-2-ил)формазаном разработана тест-система для определения ионов никеля (II) в присутствии ионов ртути (II). В оптимизированных условиях (рН 5.5±0.3) построена визуальная шкала для определения ионов никеля (II) в диапазоне 3–60 мкг/мл, sr < 0.28, нижняя граница определяемых содержаний — 1.5 мкг/мл. Продолжительность тест-анализа составляет 15 мин., при этом определению Ni(II) не мешают ионы Hg(II) в соотношении 1:100 (по массе) [20].
Весьма удобными при широком практическом применении являются тканые матрицы-носители, характеризующиеся более высокими скоростями установления сорбционного равновесия по сравнению с гранулированными сорбентами и обладающие при этом сопоставимыми значениями сорбционной емкости.
Так, нековалентной иммобилизацией 1-(4-сульфофенил)-3-метил-5-(бензилбензимидазол-2-ил)формазана на тканевую матрицу натуральной природы — льняной диск (льняная ткань ГОСТ 15968–2014: целлюлоза — 80%, лигнин — 20%, минеральные вещества) — получена гибридная тест-система для концентрирования и последующего определения ионов Cu(II) [21].
Детектируют либо диффузное отражение при λмакс = 640 нм, либо (визуально) интенсивность сине-зеленой окраски продукта реакции комплексообразования. Спектры диффузного отражения сорбентов регистрировали на спектрофотометре Specord М-40 фирмы Carl Zeiss (Германия) с приставкой диффузного отражения в виде фотометрического шара в кюветах с толщиной слоя исследуемого сорбента 3 мм относительно образца сравнения Mg O.
Для оценки аналитического сигнала в спектроскопии диффузного отражения использовали коэффициент диффузного отражения и функцию Кубелки–Мунка, рассчитанную по формуле F(R) = (1 — R)2/2R, где R — коэффициент диффузного отражения. Сорбционно-спектроскопическое определение ионов Cu(II) осуществляли по градуировочному графику в интервале определяемых концентраций 0.03–0.8 мкг/мл с пределом обнаружения 0.015 мкг/мл.
При разработке методик тест-анализа водных объектов особый интерес представляют твердофазные реагенты, полученные на основе оптически прозрачных полимерных материалов. Высокая однородность, большой диапазон значений показателя преломления света, а также отсутствие собственной окраски не только облегчают визуальную оценку изменения окраски твердофазного реагента при их контакте с токсикантами, но и обеспечивают возможность надежной регистрации спектров поглощения с помощью несложных аналитических приборов.
Среди успешно зарекомендовавших себя подобных сорбентов особый интерес в качестве оригинальной среды представляет оптически прозрачный отвержденный желатиновый гель (ОЖГ). Нами методом ИК-фурье-спектроскопии доказано, что функционализация ОЖГ (пищевого листового желатина фирмы “Грин Пак”, Москва, Россия) водорастворимыми формазановыми группировками проходит по ионному механизму за счет сил электростатического взаимодействия, как и в случае описанных ранее минеральных и полимерных матриц.
Так, основными полосами поглощения для желатина являются широкая полоса с максимумом при частоте 3 300 см-1 (колебания группы –NH), характерные поглощения при частотах 1 660 см-1 (Амид I, валентные колебания групп СО, CN), 1 540 см-1 (Амид II, колебания N–H и CN) и 1 230 см-1 (Амид III).
В качестве аналитической полосы для характеристики вторичной структуры желатина при анализе ИК-спектральных данных наиболее информативной является полоса Амид I. Иммобилизация 1-(4-сульфофенил)-3-метил-5-(бензтиазол-2-ил)-формазана в массив желатина приводит к смещению полосы Амид I в низкочастотную область до 1 652 см-1, полоса поглощения Амид II также сдвигается в область низких частот до 1 539 см-1.
Необходимо отметить низкочастотный сдвиг полосы пропускания сульфатных групп формазана до 1 228 см-1. Наблюдаемые сдвиги свидетельствуют о взаимодействии положительно заряженных амидных групп полипептидной цепи желатина с имеющимися в формазане отрицательно заряженными сульфогруппами. При увеличении концентрации 1-(4-сульфофенил)-производного формазана интенсивность полосы увеличивается, а величина сдвига остается постоянной и не зависит от содержания формазана в желатине.
Кроме того, оказалось, что на величину максимального значения сорбционной емкости ОЖГ по отношению к исследуемым реагентам влияет пространственная структура лигандов. Так, амакс 1-(4-сульфофенил)бензтиазолилпроизводного составляет 32.9 мкмоль/г, что почти в 10 раз больше, чем величина амакс = 3.44 мкмоль/г при иммобилизации его гидроксифенилсодержащего аналога.
Полученные тест-системы на основе ОЖГ и сульфосодержащих формазанов имеют равномерную красно-оранжевую окраску, интенсивность которой зависит от структурных особенностей формазанов. Так, желатиновые матрицы с иммобилизованными 2-гидроксизамещенными формазанами окрашены слабее, чем при использовании незамещенных сульфосодержащих формазанов.
Оптические характеристики реагентов в ОЖГ принципиально не отличаются от аналогичных характеристик в растворе, что свидетельствует о сходстве состояний реагентов в растворе и желатиновой фазе. Наблюдаемые незначительные смещения длин волн максимального поглощения иммобилизованных реагентов Δλ (до 20–25 нм) обусловлены межмолекулярными взаимодействиями с желатиновым микроокружением и не затрагивают хромофорных систем реагентов.
При исследовании сорбционной способности модифицированного ОЖГ по отношению к ионам Cu(II), Co(II), Ni(II), Zn(II), Cd(II), Pb(II) отмечено, что значительные хромогенные изменения наблюдаются лишь по отношению к ионам Cu(II) и Ni(II). Диапазон линейности градуировочного графика для твердофазно-фотометрического определения никеля (II) с использованием модифицированного ОЖГ на основе 1-(4-сульфофенил)-3-метил-5-(бензтиазол-2-ил)формазана составляет 0.1–7.2 мкг/л, предел обнаружения — 0.006 мкг/л. Определению Ni(II) не мешают Zn(II), Co(II), Cd(II) в соотношении 5:1 (по массе) [22]. Мешающее влияние на аналитический сигнал исследуемого индикатора оказывают ионы Cu(II), поэтому при определении Ni(II) в анализируемые растворы следует вводить в качестве маскирующего компонента аскорбиновую кислоту.
Показано, что при твердофазно-фотометрическом определении меди (II) с использованием модифицированного ОЖГ на основе 1-(4-сульфофенил)-3-метил-5-(бензтиазол-2-ил)формазана линейность градуировочного графика сохраняется в пределах 0.1–7.5 мг/л [23], предел обнаружения составляет 0.004 мкг/л. Определению Cu(II) не мешают Zn(II), Co(II), Ni(II), Cd(II) в соотношении 7:1 (по массе).
Твердофазные реактивные индикаторные системы c предварительным концентрированием определяемого компонента. К сожалению, зачастую функционализация поверхности твердофазных носителей органическими реагентами сопровождается значительным снижением хромофорных и комплексообразующих свойств “закрепленных“ формазанов. В связи с этим в ряде случаев предпочтительнее для создания тест-систем использовать второй вариант получения ТРИС, основанный на предварительном извлечении и концентрировании ионов металлов твердофазным носителем с последующей обработкой растворами формазанов и детектированием элементов непосредственно на твердой фазе по изменению окраски сорбента. Такой подход позволяет выделить следовые концентрации веществ из большого объема солевого раствора сложного состава, снизить пределы обнаружения, что, в свою очередь, повышает точность и чувствительность анализа.
Нами показано [24], что использование в качестве концентраторов-сорбентов тканевых дисков из натурального льна, выпускаемого в соответствии с ГОСТ 20272–98, позволяет определять содержание ионов меди (II) на уровне ниже предельно допустимой концентрации (ПДК). Образцы дисков с сорбированными ионами Cu(II) после реакции с этанольным раствором 1-(4-сульфофенил)-3-метил-5-(1-бензилбензимидазол-2-ил)формазана приобретают синий цвет (λmax = 640 нм), причем увеличение интенсивности окраски пропорционально увеличению концентрации ионов Cu(II).
Линейность градуировочного графика соблюдается в концентрационном интервале Cu(II) 0.03–0.8 мкг/мл. Предел обнаружения составляет 0.009 и 0.015 мкг/мл для твердофазно-спектроскопического и тест-методов соответственно. Определению содержания Cu(II) не мешают 50-кратные избытки Ca(II), Mg(II), Pb(II), Zn(II) и 20-кратные — Cr(III).
Данные гибридные тест-системы апробированы на реальных объектах: природных и дождевых водах, снежном покрове, смыве с листьев деревьев, расположенных вдоль городских магистралей. Показано удовлетворительное совпадение данных визуального определения с результатами количественного анализа в области средних значений стандартной шкалы. Метрологические характеристики свидетельствуют об их правильности и отсутствии систематических погрешностей. Правильность методик доказана методом инверсионной вольтамперометрии и методом введено–найдено.
Твердофазные реактивные индикаторные системы с сорбцией сформированного в растворе комплексного соединения. Использование третьего варианта создания тест-систем позволяет избежать негативного влияния структурных и пространственных факторов, определяющих эффективность сорбции внутрикомплексного соединения на твердофазную матрицу, и при этом уменьшить время развития окраски, повысить селективность, чувствительность и точность измерения аналитического сигнала.
Сульфосодержащие формазаны (см. схему 1) легко взаимодействуют с ионами металлов в растворах с образованием внутрикомплексных соединений с высоким хромогенным эффектом. В результате иммобилизации сформированных формазанатов металлов, например гранулами ДИАСОРБ-100-ТА, минеральная матрица окрашивается в тот же цвет, что и комплексное соединение. Это позволяет проводить визуальный скрининг монокомпонентных по металлам проб воды. Максимум полос поглощения в спектрах диффузного отражения твердофазных комплексных соединений практически совпадают с максимумами поглощения комплексов, полученных в растворе, что свидетельствует о сохранении состава и строения формазанатов металлов при сорбции на поверхность носителя.
В случае использования в качестве лиганда 1-(4-сульфофенил)-3-метил-5-(бензоксазол-2-ил)формазана максимальная степень извлечения силикагелем ДИАСОРБ-100-ТА металлов в виде формазанатов при величине рН 5.0±0.5 составляет 98–99%, что превышает почти в два раза данный показатель в случае сорбции ионов металлов на предварительно модифицированный указанными бензазолилформазанами носитель (33–47%).
Стоит отметить, что формазанаты Ni(II), Cu(II), Co(II) извлекаются в течение 5 мин., в то время как максимум сорбции формазанатов Zn(II), Cd(II), Pb(II) достигается через 25 мин. Высокие сорбционные показатели силикагеля по отношению к формазанатам успешно использованы для дробного и коллективного извлечения ионов Cu(II), Co(II), Ni(II), Cd(II), Zn(II), Pb(II) из водных сред [25].
Реализация третьего варианта создания ТРИС позволила расширить круг определяемых ионов металлов. Например, показана возможность определения содержания ионов редкоземельных элементов с пределом обнаружения 5–15 нг/мл [26].
В качестве носителя перспективно использование силикагеля ДИАСОРБ-250-Амин для определения содержания ионов Hg(II), Cu(II) и металлов платиновой группы в природных, сточных водах и технологических растворах. Разработана методика и построена одноцветная визуальная шкала [27] для визуального определения содержания ионов меди (II) с помощью гибридной тест-системы, состоящей из ДИАСОРБ-250-Амин и 1-(4-сульфофенил)-3-метил-5-(бензтиазол-2-ил)формазаната меди (II), в диапазоне 0.8–4.0 мкг/мл при рН 5.0±0.3. Предел обнаружения — 0.4 мкг/мл. Развитию окраски не мешают 10-кратные количества ионов Hg(II), Co(II), Cd(II) и 20-кратные — Sc(III), Y(III), Sm(III), Tb(III), Yb(III), Gb(III).
Стоит отметить, что в случае применения в качестве реагента 1-(4-сульфофенил)-3-изопропил-5-(бензтиазол-2-ил)формазана для достижения равновесия сорбции формазаната меди (II) поверхностью ДИАСОРБ-250-Амин при рН (4.5–5.5)±0.3 требуется 10–15 мин со степенью извлечения 99%, в то время как формазанаты Zn(II) и Cd(II) за указанный промежуток времени извлекаются незначительно — 3 и 6% соответственно, а формазанаты Pb(II), Ni(II) и Co(II) не извлекаются и не мешают определению. Разработанная на основе полученных авторами результатов сорбционно-фотометрическая методика использована при определении меди в природных водах в диапазоне концентраций 0.01–1.0 мг/л [28].
Авторами установлена возможность [29] концентрирования ионов Ni(II) и Zn(II) в виде 1-(2-гидрокси-5-сульфофенил)-3-этил-5-(бензтиазол-2-ил)формазанатов из водных растворов с концентрацией металла 1.8–2.0 мМ с помощью полиакрилонитрильного волокна, наполненного анионитом АВ-17. Контрастность переходов и зависимость интенсивности окраски, развивающейся на поверхности волокна, от концентрации металлов, наблюдаемые при формировании твердофазных формазанатов никеля (II) и цинка (II), позволяют сформировать индикаторную шкалу для их определения в растворе.
***
Представленные результаты по своей значимости и уровню не уступают известным аналитическим системам. Разработанные авторами гибридные тест-системы являются простыми средствами полуколичественного сигнального анализа водных сред, сочетающими максимальную быстроту анализа, удобство применения, наглядность результата и достоверность. По сравнению с известными материалами разработанные нами тест-средства основаны на использовании эффективных аналитических реагентов — водорастворимых сульфосодержащих гетарилформазанов, позволяющих определять индивидуальные экотоксиканты в водных объектах, в том числе и при их совместном присутствии.
About the authors
Т. И. Маслакова
Уральский государственный лесотехнический университет
Email: pervovaig@m.usfeu.ru
Russian Federation, Екатеринбург
И. Г. Первова
Уральский государственный лесотехнический университет
Author for correspondence.
Email: pervovaig@m.usfeu.ru
Russian Federation, Екатеринбург
Т. А. Мельник
Уральский государственный лесотехнический университет
Email: pervovaig@m.usfeu.ru
Russian Federation, Екатеринбург
П. А. Маслаков
Уральский государственный лесотехнический университет
Email: pervovaig@m.usfeu.ru
Russian Federation, Екатеринбург
References
- Золотов Ю.А., Иванов В.М., Амелин В.Г. Химический анализ без лабораторий: тест-методы // Вестник РАН. 1997. Т. 67. № 6. С. 508.
- Бузыкин Б.И. Липунова Г.Н., Сысоева Л.П., Русинова Л.И. Химия формазанов М.: Наука, 1992. 376 с.
- Прогресс в химии формазанов / Под ред. Липунова И.Н., Сигейкина Г.И. М.: Научный мир, 2009. 296 с.
- Липунов И.Н., Сигейкин Г.И., Первова И.Г., Липунова Г.Н. Твердофазные реагенты с формазановыми группировками для экспресс-анализа токсичных элементов в объектах окружающей среды// Рос. хим. журн. (Журн. Рос. хим. об-ва им. Д.И. Менделеева). 2006. Т. 50. № 5. С. 64.
- Липунов И.Н., Маслакова Т.И., Мельник Т.А., Первова И.Г., Скорых Т.В., Юшкова О.Г. Сорбенты для хроматографического разделения и сорбционного концентрирования токсичных металлов из разбавленных растворов // Сорбционные и хроматографические процессы. 2007. Т. 7. № 6. С. 975.
- Саввин С.Б., Кузнецов В.В., Шереметьев С.В., Михайлова А.В. Оптические химические сенсоры (микро- и наносистемы) для анализа жидкостей // Рос. хим. журн. (Журн. Рос. хим. об-ва им. Д.И. Менделеева). 2008. Т. 52. № 2. С. 7.
- Первова И.Г., Маслакова Т.И., Липунова Г.Н., Юшкова О.Г., Потеряева О.М., Липунов И.Н. Синтез и свойства новых азотсодержащих гетероциклических сорбентов на полимерной основе / Азотсодержащие гетероциклы: синтез, свойства, применение. Астрахань. 2000. С. 89.
- Маслакова Т.И., Липунова Г.Н., Первова И.Г., Липунов И.Н., Семипудова Н.В. Применение бензтиазолилформазанов для определения, концентрирования и сорбции свинца (II) / Азотсодержащие гетероциклы: синтез, свойства, применение. Астрахань. 2000. С. 91.
- Первова И.Г., Юшкова О.Г., Липунов И.Н., Маслакова Т.И., Липунова Г.Н. Сорбционные свойства анионита АН-18-l0-n, модифицированного гетарилформазанами // Сорбционные и хроматографические процессы. 2001. Т. 1. № 1. С. 6.
- Первова И.Г., Юшкова О.Г., Липунова Г.Н., Липунов И.Н. Синтез и свойства новых полимерных хелатных сорбентов / Перспективы развития естественных наук в высшей школе. Пермь. 2001. Т. 1. С. 258.
- Липунов И.Н., Мельник Т.А., Первова И.Г., Жданова Е.Г., Липунова Г.Н. Синтез и сорбционные свойства комплексообразующих ионитов // Сорбционные и хроматографические процессы. 2003. Т. 3. № 6. С. 680.
- Первова И.Г., Юшкова О.Г., Липунова Г.Н., Моргалюк В.П., Мельник Т.А., Липунов И.Н. Синтез и свойства сорбентов с ковалентно иммобилизованными гетарилформазанами // Сорбционные и хроматографические процессы. 2003. Т. 2. № 5–6. С. 616.
- Маслакова Т.И., Первова И.Г., Скорых Т.В., Мелкозеров C.А., Главатских С.П., Липунов И.Н. Новые сорбенты с иммобилизованными гетарилформазановыми группировками // Сорбционные и хроматографические процессы. 2009. Т. 9. № 3. С. 354.
- Первова И.Г., Маслакова Т.И., Скорых Т.В., Мельник Т.А., Липунов И.Н. Сорбционно-аналитические свойства минеральных сорбентов с иммобилизованными гетарилформазановыми группировками // Сорбционные и хроматографические процессы. 2009. Т. 9. № 3. С. 383.
- Липунов И.Н., Скорых Т.В., Первова И.Г., Маслакова Т.И., Липунова Г.Н., Мельник Т.А., Олина О.В. Индикатор для определения ионов никеля (II) в растворе. Патент РФ № 2368896. Заявка 2008118016/04 от 05.05.2008, опубл. 27.09.2009.
- Первова И.Г., Скорых Т.В., Липунов И.Н., Маслакова Т.И., Липунова Г.Н., Кривокорытова Т.В., Сигейкин Г.И. Индикатор для определения ионов кадмия (II) в растворе. Патент РФ 2368897. Заявка 2008118017/04 от 05.05.2008, опубл. 27.09.2009.
- Скорых Т.В., Первова И.Г., Маслакова Т.И., Мельник Т.А., Липунов И.Н. Сорбционно-фотометрическое и тест-определение кадмия (II) гетарилформазанами // Журн. аналит. химии. 2009. Т. 64. № 6. С. 592.
- Маслакова Т.И., Первова И.Г., Желновач А.В., Прожерина А.М., Маслаков П.А., Липунов И.Н. Твердофазные индикаторы на основе силикагеля ДИАСОРБ-Амин / Тез. докл. Второго съезда аналитиков России. Москва. 2013. С. 186.
- Колташева А.В., Маслакова Т.И., Первова И.Г. Твердофазный реагент на основе силикагеля ДИАСОРБ-250-Амин / Тез. докл. VI Всерос. конф. молодых учёных “Менделеев-2012”. Секция 1. Аналитическая химия. СПб. 2012. С. 197.
- Колташева А.В., Маслакова Т.И., Первова И.Г. Твердофазный реагент для определения никеля (II) / Студент и научно-технический прогресс. Новосибирск. 2012. С. 209.
- Скорых Т.В., Глазунова Е.А., Мельник Т.А., Первова И.Г., Маслакова Т.И., Липунов И.Н. Сорбционно-спектроскопическое и тест-определение ионов меди с использованием бензилбензимидазолилформазана на твердой фазе натурального волокна: тез. докл. науч. конф. “Проблемы теоретической и экспериментальной химии”. Екатеринбург. 2008. С. 86.
- Серова А.В., Маслаков П.А., Первова И.Г., Маслакова Т.И. Оптически прозрачный сенсор для определения содержания никеля (II) в водных объектах / Тез. докл. науч. конф. “Проблемы теоретической и экспериментальной химии”. Екатеринбург. 2020. С. 187.
- Серова А.В., Маслаков П.А., Первова И.Г., Маслакова Т.И. Исследование сорбционных свойств листового желатина как матрицы для твердофазных тест-систем / Тез. докл. “Проблемы теоретической и экспериментальной химии”. Екатеринбург. 2020. С. 188.
- Скорых Т.В., Маслакова Т.И., Первова И.Г., Липунов И.Н. Определение ионов меди (II) на натуральной матрице с использованием бензилбензимидазолилформазана // Заводск. лаборатория. Диагностика материалов. 2009. Т. 75. № 9. С. 12.
- Скорых Т.В., Маслакова Т.И., Первова И.Г., Липунов И.Н. Применение твердофазной системы «силикагель–гетарилформазанат» для сорбционно-аналитического определения ионов токсичных металлов // Сорбционные и хроматографические процессы. 2012. Т. 12. № 2. С. 205.
- Колташева А.В., Скорых Т.В., Липунов И.Н. Новые хелатные сорбенты для аналитического концентрирования и определения в водных средах ионов двух- и трехвалентных металлов / Физико-химические основы ионообменных и хроматографических процессов”. Воронеж. 2011. С. 175.
- Скорых Т.В., Колташева А.В., Первова И.Г., Маслакова Т.И., Липунов И.Н. Определение ионов Cu(II) путем сорбции металлхелата / III Межд. симп. по сорбции и экстракции “Сорбция и экстракция: проблемы и перспективы”. Владивосток. 2010. С. 154.
- Маслаков П.А., Маслакова Т.И., Первова И.Г. Сорбционно-фотометрическое определение меди (II) / Тез. докл. науч. конф. “Проблемы теоретической и экспериментальной химии”. Екатеринбург. 2018. C. 126.
- Мельник Т.А., Первова И.Г., Маслакова Т.И., Липунов И.Н. Сорбционное концентрирование и определение металлов полимерными хелатообразующими сорбентами // Сорбционные и хроматографические процессы. 2006. Т. 6. № 6. С. 1221.
Supplementary files






