Analysis of the Chemical Composition and Structure of Micrometer-Thick Complex Oxide Films: A Case Study of a MgAl2O4 Film on SiO2 Using Electron Probe Microanalysis and Confocal Raman Spectroscopy
- Authors: Bulatov V.A.1, Shchapova Y.V.1, Zamyatin D.A.1, Sushanek L.Y.1, Kamenetskikh A.S.2, Votyakov S.L.1
-
Affiliations:
- Zavaritsky Institute of Geology and Geochemistry, Ural Branch, Russian Academy of Sciences, 620110, Yekaterinburg, Russia
- Institute of Electrophysics, Ural Branch, Russian Academy of Sciences, 620110, Yekaterinburg, Russia
- Issue: Vol 78, No 12 (2023)
- Pages: 1106-1118
- Section: ORIGINAL ARTICLES
- Submitted: 26.12.2023
- URL: https://bakhtiniada.ru/0044-4502/article/view/232890
- DOI: https://doi.org/10.31857/S0044450223120034
- EDN: https://elibrary.ru/EJCKSA
- ID: 232890
Cite item
Full Text
Abstract
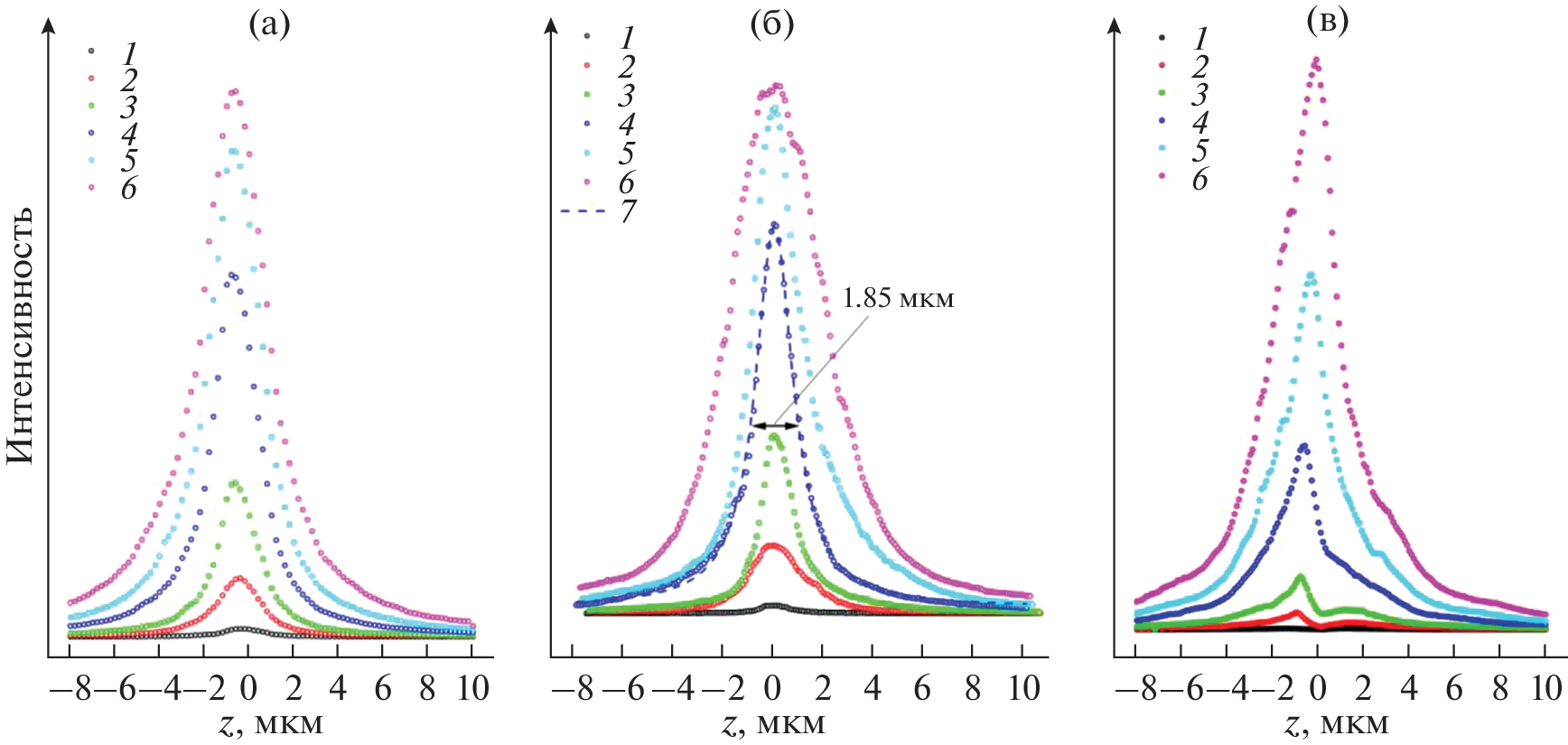
Methodological approaches to both qualitative structural analysis and quantitative compositional analysis of transparent complex oxide films on dielectric substrates, performed using a Horiba LabRAM HR800 confocal Raman spectrometer and a Cameca SX100 electron probe microanalyzer, are described. The studies were carried out using magnesium–aluminum spinel films of a thickness of 1–3 µm on a quartz glass substrate, obtained by magnetron sputtering. The characterization of the film structure consisted of recording 3D arrays of its Raman spectra based on z depth profiling. The film has a disordered spinel structure with a partially reversed distribution of Mg and Al cations over octa- and tetra-positions. Operation parameters are identified to evaluate the concentration of structure-forming elements (Mg and Al) and impurities (Ti, Cr, Ca, P, Fe, Ni, and Gd) in the film using various X-ray emission lines (optimal accelerating voltage, etc.). The performance of the procedure was determined, and its capabilities and limitations were assessed. The resulting data on the chemical composition of the film are presented.
About the authors
V. A. Bulatov
Zavaritsky Institute of Geology and Geochemistry, Ural Branch, Russian Academy of Sciences, 620110, Yekaterinburg, Russia
Email: vladislavtalica@gmail.com
Россия, 620110, Екатеринбург, ул. Академика Вонсовского, 15
Yu. V. Shchapova
Zavaritsky Institute of Geology and Geochemistry, Ural Branch, Russian Academy of Sciences, 620110, Yekaterinburg, Russia
Email: vladislavtalica@gmail.com
Россия, 620110, Екатеринбург, ул. Академика Вонсовского, 15
D. A. Zamyatin
Zavaritsky Institute of Geology and Geochemistry, Ural Branch, Russian Academy of Sciences, 620110, Yekaterinburg, Russia
Email: vladislavtalica@gmail.com
Россия, 620110, Екатеринбург, ул. Академика Вонсовского, 15
L. Ya. Sushanek
Zavaritsky Institute of Geology and Geochemistry, Ural Branch, Russian Academy of Sciences, 620110, Yekaterinburg, Russia
Email: vladislavtalica@gmail.com
Россия, 620110, Екатеринбург, ул. Академика Вонсовского, 15
A. S. Kamenetskikh
Institute of Electrophysics, Ural Branch, Russian Academy of Sciences, 620110, Yekaterinburg, Russia
Email: vladislavtalica@gmail.com
Россия, 620110, Екатеринбург, ул. Амундсена, 106
S. L. Votyakov
Zavaritsky Institute of Geology and Geochemistry, Ural Branch, Russian Academy of Sciences, 620110, Yekaterinburg, Russia
Author for correspondence.
Email: vladislavtalica@gmail.com
Россия, 620110, Екатеринбург, ул. Академика Вонсовского, 15
References
- Погребняк А.Д., Лозован А.А., Кирик Г.В., Щитов Н.Н., Стадник А.Д., Братушка С.Н. Структура и свойства нанокомпозитных, гибридных и полимерных покрытий. М.: Либроком, 2018. 344 с.
- Schindler M., Singer D. Mineral surface coatings: Environmental records at the Nanoscale // Elements. 2017. V. 13. P. 159.
- Сенина М.О., Лемешев Д.О. Способы синтеза порошков алюмомагниевой шпинели для получения оптически прозрачной керамики (обзор) // Успехи в химии и химической технологии. 2016. Т. 30. № 7. С. 101.
- Sampath S.K., Kanhere D.G., Pande R. Electronic structure of spinel oxides: Zinc aluminate and zinc gallate // J. Phys.: Condens. Matter. 1999. V. 11. № 18. P. 3635.
- Surendran K.P., Bijumon P.V., Mohanan P., Sebastian M.T. (1–x)MgAl2O4–xTiO2 dielectrics for microwave and millimeter wave applications // Appl. Phys. A. 2005. V. 81. P. 823.
- Valanarasu S., Karunakaran M., Vijayan T. A., Kulandaisamy I., Chandramohan R., Lee K.K., Mahalingam T. Optical and microstructural properties of sol-gel spin coated MgAl2O4 thin films // Digest J. Nanomater. Biostruct. 2015. V. 10. № 2. P. 643.
- Gavrilov N.V., Ivanov V.V., Kamenetskikh A.S., Nikonov A.V. Investigations of Mn–Co–O and Mn–Co–Y–O coatings deposited by the magnetron sputtering on ferritic stainless steels // Surf. Coat. Technol. 2011. V. 206. № 6. P. 1252.
- Фелдман Л., Майер Д. Основы анализа поверхности и тонких пленок. Пер. с англ. М.: Мир, 1989. 344 с.
- Золотарев В.М., Никоноров Н.В., Игнатьев А.И. Современные методы исследования оптических материалов. Часть 2. Учебное пособие, курс лекций. СПб.: НИУ ИТМО, 2013. 166 с.
- Lambert D., Muehlethaler C., Gueissaz L., Massonnet G. Raman analysis of multilayer automotive paints in forensic science: Measurement variability and depth profile: Raman analysis of multilayer automotive paints in forensic science // J. Raman Spectrosc. 2014. V. 45. P. 1285.
- Courtecuisse F., Dietlin C., Croutx’e-Barghorn C., Van Der Ven L.G.J. Depth characterization of photopolymerized films by confocal Raman microscopy using an immersion objective // Appl. Spectrosc. 2011. V. 65. P. 1126.
- Saoula N., Djerourou S., Yahiaoui K., Henda K., Kesri R., Erasmus R.M., Comins J. D. Study of the deposition of Ti/TiN multilayers by magnetron sputtering // Surf. Interface Anal. 2010. V. 42. P. 1176.
- Lee S. Raman spectroscopic studies of amorphous vanadium oxide thin films // Solid State Ion. 2003. V. 165. P. 111.
- Gaisler S.V., Semenova O.I., Sharafutdinov R.G., Kolesov B.A. Analysis of Raman spectra of amorphous-nanocrystalline silicon films // Phys. Solid State. 2004. V. 46. P. 1528.
- Ferrari A.C., Robertson J. Interpretation of Raman spectra of disordered and amorphous carbon // Phys. Rev. B. 2001. V. 61. P. 14095.
- Yamazaki H., Koike M., Saitoh M., Tomita M., Yokogawa R., Sawamoto N., Tomita M., Kosemura D., Ogura A. Probing spatial heterogeneity in silicon thin films by Raman spectroscopy // Sci. Rep. 2017. V. 7. P. 16549.
- Sarsembinov S.S., Prikhodko O.Y., Ryaguzov A.P., Maksimova S.Y., Ushanov V.Z. Differences in local structure between amorphous AsSe films prepared by different methods // Semicond. Sci. Technol. 2002. V. 17. P. 1072.
- Nemec P., Nazabal V., Moreac A., Gutwirth J., Beneš L., Frumar M. Amorphous and crystallized Ge–Sb–Te thin films deposited by pulsed laser: Local structure using Raman scattering spectroscopy // Mater. Chem. Phys. 2012. V. 136. P. 935.
- Gasparov L., Jegorel T., Loetgering L., Middey S., Chakhalian J. Thin film substrates from the Raman spectroscopy point of view // J. Raman Spectrosc. 2014. V. 45. P. 465.
- Ramoji A., Galler K., Glaser U., Henkel T., Mayer G., Dellith J., Bauer M., Popp J., Neugebauer U. Characterization of different substrates for Raman spectroscopic imaging of eukaryotic cells // J. Raman Spectrosc. 2016. V. 47. P. 773.
- Degioanni S., Jurdyc A.M., Cheap A., Champagnon B., Bessueille F., Coulm J., Bois L., Vouagner D. Surface-enhanced Raman scattering of amorphous silica gel adsorbed on gold substrates for optical fiber sensors // J. Appl. Phys. 2015. V. 118. Article 153103.
- Novikov S., Khriachtchev L. Surface-enhanced Raman scattering of silicon nanocrystals in a silica film // Sci. Rep. 2016. V. 6. P. 27027.
- Ben Khemis S., Burov E., Montigaud H., Skrelic D., Gouillart E., Cormier L. Structural analysis of sputtered amorphous silica thin films: A Raman spectroscopy investigation // Thin Solid Films. 2021. V. 733. Article 138811.
- Everall N.J. Modeling and measuring the effect of refraction on the depth resolution of confocal Raman microscopy // Appl. Spectrosc. 2000. V. 54. № 6. P. 773.
- Caffrey D., Zhussupbekova A., Vijayaraghavan R.K., Ainabayev A., Kaisha A., Sugurbekova G., Shvets I.V., Fleischer K. Crystallographic characterisation of ultra-thin, or amorphous transparent conducting oxides – The case for Raman spectroscopy // Materials. 2020. V. 13. P. 267.
- Брандон Д., Каплан У. Микроструктура материалов. Методы исследования и контроля. М.: Техносфера, 2004. 384 с.
- Рид С.Дж.Б. Электронно-зондовый микроанализ и растровая электронная микроскопия в геологии. М.: Техносфера, 2008. 232 с.
- Bubert H., Jenett H. Surface and thin film analysis: principles, instrumentation, application. N.Y.: Wiley, 2002. 336 p.
- Goldstein J.I., Newbury D.E., Michael J.R., Ritchie N.W.M., Scott J.H.J., Joy D.C. Scanning electron microscopy and X-Ray microanalysis. N.Y.: Springer, 2018. 4th Ed. 550 p.
- Иго А.В. Комбинационное рассеяние света в кремнии с нарушенной кристаллической структурой за счет имплантации ионов углерода // Оптика и спектроскопия. 2020. Т. 128. № 8. С. 1115.
- Щапова Ю.В., Вотяков С.Л., Замятин Д.А., Червяковская М.В., Панкрушина Е.А. Минералы-концентраторы d- и f-элементов: локальные спектроскопические и ЛА-ИСП-МС исследования состава, структуры и свойств, геохронологические приложения. Новосибирск: Изд-во СО РАН, 2020. 424 с.
- Mishchik K. Ultrafast laser-induced modification of optical glasses: A spectroscopy insight into the microscopic mechanisms. Dissertation. France. 2012. 185 p.
- O’Neill H.S.C., Navrotsky A. Simple spinels; crystallographic parameters, cation radii, lattice energies, and cation distribution // Am. Mineral. 1983. V. 68. № 1–2. P. 181.
- Cynn H., Anderson O.L., Nicol M. Effects of cation disordering in a natural MgAl2O4 spinel observed by rectangular parallelepiped ultrasonic resonance and Raman measurements // Pure Appl. Geophys. 1993. V. 141. № 2–4. P. 415.
- Slotznick S.P., Shim S. H. In situ Raman spectroscopy measurements of MgAl2O4 spinel up to 1400 C // Am. Mineral. 2008. V. 93. № 2–3. P. 470.
Supplementary files











