Комплексная кулонометрическая оценка антиоксидантных свойств пива
- Авторы: Матвеева С.Ю.1, Зиятдинова Г.К.1
-
Учреждения:
- Химический институт им. А.М. Бутлерова, Казанский федеральный университет
- Выпуск: Том 78, № 6 (2023)
- Страницы: 559-567
- Раздел: ОРИГИНАЛЬНЫЕ СТАТЬИ
- Статья получена: 14.10.2023
- URL: https://bakhtiniada.ru/0044-4502/article/view/136043
- DOI: https://doi.org/10.31857/S0044450223040114
- EDN: https://elibrary.ru/KZOCAF
- ID: 136043
Цитировать
Полный текст
Аннотация
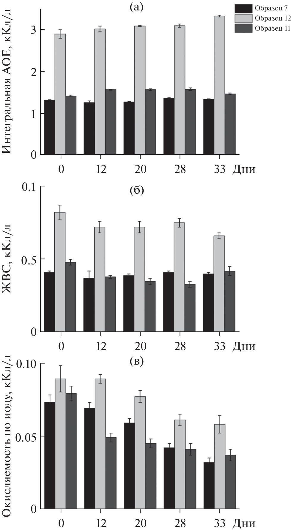
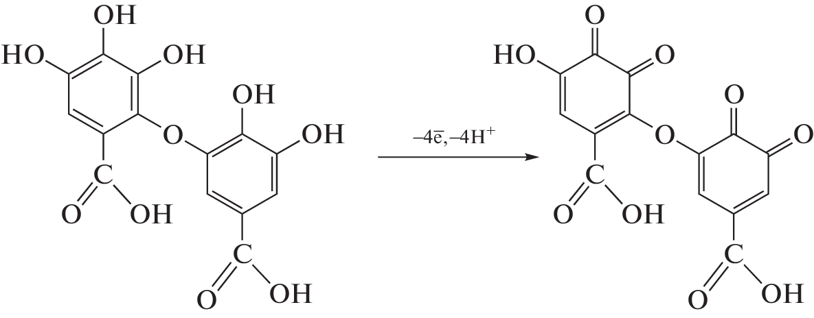
Оценена реакционная способность кулонометрических титрантов (брома, иода и гексацианоферрат(III)-ионов) по отношению к антиоксидантам (АО) пива. Показано, что электрогенерированный иод взаимодействует с аскорбиновой кислотой и серосодержащими соединениями, но не окисляет фенольные АО. Найдены стехиометрические коэффициенты реакций фенольных АО с электрогенерированными бромом и гексацианоферрат(III)-ионами. Проведена комплексная оценка антиоксидантных свойств пива через обобщенные антиоксидантные показатели (интегральную антиоксидантную емкость (АОЕ) по реакции с электрогенерированным бромом, железовосстанавливающую способность (ЖВС) по реакции с электрогенерированными гексацианоферрат(III)-ионами и окисляемость по иоду). Рассмотрены 16 образцов, отличающихся типом брожения, сортом и стилем. Показано статистически достоверное отличие параметров для отдельных образцов. Интегральная АОЕ и ЖВС пива коррелирует с общим содержанием фенольных соединений и антиоксидантной активностью (r = 0.7175−0.8703 при rкрит = 0.4973), что подтверждает правильность полученных с помощью кулонометрического титрования результатов. Различия обобщенных антиоксидантных параметров пива верхового и низового брожения, а также фильтрованного и нефильтрованного светлого и темного пива статистически незначимы (p = 0.10−0.82). Оценено изменение обобщенных антиоксидантных параметров пива при хранении на воздухе.
Об авторах
С. Ю. Матвеева
Химический институт им. А.М. Бутлерова, Казанский федеральный университет
Email: Ziyatdinovag@mail.ru
Россия, 420008, Казань, ул. Кремлевская, 18
Г. К. Зиятдинова
Химический институт им. А.М. Бутлерова, Казанский федеральный университет
Автор, ответственный за переписку.
Email: Ziyatdinovag@mail.ru
Россия, 420008, Казань, ул. Кремлевская, 18
Список литературы
- Vanderhaegen B., Neven H., Verachtert H., Derdelinckx G. The chemistry of beer aging – A critical review // Food Chem. 2006. V. 95. № 3. P. 357. https://doi.org/10.1016/j.foodchem.2005.01.006
- Quifer-Rada P., Vallverdú-Queralt A., Martínez-Huélamo M., Chiva-Blanch G., Jáuregui O., Estruch R., Lamuela-Raventós R. A comprehensive characterisation of beer polyphenols by high resolution mass spectrometry (LC–ESI-LTQ-Orbitrap-MS) // Food Chem. 2015. V. 169. P. 336. https://doi.org/10.1016/j.foodchem.2014.07.154
- Iyuke S.E., Madigoe E.M., Maponya R.J. The effect of hydroxycinnamic acids and volatile phenols on beer quality // Inst. Brew. 2008. V. 114. № 4. P. 300. https://doi.org/10.1002/j.2050-0416.2008.tb00773.x
- Coghe S., Benoot K., Delvaux F., Vanderhaegen B., Delvaux F.R. Ferulic acid release and 4-vinylguaiacol formation during brewing and fermentation: Indications for feruloyl esterase activity in Saccharomyces cerevisiae // J. Agric. Food. Chem. 2004. V. 52. № 3. P. 602. https://doi.org/10.1021/jf0346556
- Bonoli M., Marconi E., Caboni M.F. Free and bound phenolic compounds in barley (Hordeum vulgare L.) flours: Evaluation of the extraction capability of different solvent mixtures and pressurized liquid methods by micel-lar electrokinetic chromatography and spectrophotometry // J. Chromatogr. A. 2004. V. 1057. № 1–2. P. 1. https://doi.org/10.1016/j.chroma.2004.09.024
- Meilgaard M.C. Flavor chemistry of beer: part II: flavour and threshold of 239 aroma volatiles // MBAA TQ. 1975. V. 12. № 3. P. 151.
- Carvalho D.O., Curto A.F., Cuido L.F. Determination of phenolic content in different barley varieties and corresponding malts by liquid chromatography-diode array detection-electrospray ionization tandem mass spectrometry // Antioxidants. 2015. V. 4. № 3. P. 563. https://doi.org/10.3390/antiox4030563
- Maillard M.N., Soum M.H., Boivin P., Berset C. Antioxidant activity of barley and malt: Relationship with phenolic content // LWT – Food Sci. Technol. 1996. V. 29. № 3. P. 238. https://doi.org/10.1006/fstl.1996.0035
- Lu J., Zhao H., Chen J., Fan W., Dong J., Kong W., Sun J., Cao Y., Cai G. Evolution of phenolic compounds and antioxidant activity during malting // J. Agric. Food Chem. 2007. V. 55. № 26. P. 10994. https://doi.org/10.1021/jf0722710
- Goupy P., Hugues M., Boivin P., Amiot M. Antioxidant composition and activity of barley (Hordeum vulgare) and malt extracts and of isolated phenolic compounds // J. Sci. Food Agric. 1999. V. 79. № 12. P. 1625. https://doi.org/10.1002/(SICI)1097-0010(199909)79: 12<1625::AID-JSFA411>3.0.CO;2-8
- Lentz M. The impact of simple phenolic compounds on beer aroma and flavor // Fermentation. 2018. V. 4. № 1. Article 20. https://doi.org/10.3390/fermentation4010020
- Jandera P. Methods for the HPLC analysis of phenolic compounds and flavonoids in beer / Beer in Health and Disease Prevention / Ed. Preedy V.R. Amsterdam: Elsevier, 2009. P. 1003. https://doi.org/10.1016/B978-0-12-373891-2.00098-5
- Zhao H., Chen W., Lu J., Zhao M. Phenolic profiles and antioxidant activities of commercial beers // Food. Chem. 2010. V. 119. № 3. P. 1150. https://doi.org/10.1016/j.foodchem.2009.08.028
- Mitić S.S., Paunović D.Đ., Pavlović A.N., Tošić S.B., Stojković M.B., Mitić M.N. Phenolic profiles and total antioxidant capacity of marketed beers in serbia // Int. J. Food Prop. 2014. V. 17. № 4. P. 908. https://doi.org/10.1080/10942912.2012.680223
- Socha R., Pająk P., Fortuna T., Buksa K. Antioxidant activity and the most abundant phenolics in commercial dark beers // Int. J. Food Prop. 2017. V. 20. № S1. P. S595. https://doi.org/10.1080/10942912.2017.1306550
- García-Guzmán J.J., López-Iglesias D., Cubillana-Aguilera L., Lete C., Lupu S., Palacios-Santander J.M., Bellido-Milla D. Assessment of the polyphenol indices and antioxidant capacity for beers and wines using a tyrosinase-based biosensor prepared by sinusoidal current method // Sensors. 2019. V. 19. № 1. Article 66. https://doi.org/10.3390/s19010066
- Cummings E.A., Mailley P., Linquette–Mailley S., Eggins B.R., McAdams E.T., McFadden S. Amperometric carbon paste biosensor based on plant tissue for the determination of total flavanol content in beers // Analyst. 1998. V. 123. № 10. P. 1975. https://doi.org/10.1039/A804021D
- Hlavatá L., Vyskočil V., Beníková K., Borbélyová M., Labuda J. DNA-based biosensors with external Nafion and chitosan membranes for the evaluation of the antioxidant activity of beer, coffee, and tea // Cent. Eur. J. Chem. 2014. V. 12. № 5. P. 604. https://doi.org/10.2478/s11532-014-0516-4
- Gorjanović S.Z., Novaković M.M., Potkonjak N.I., Leskosek-Cukalović I., Suznjević D.Z. Application of a novel antioxidative assay in beer analysis and brewing process monitoring // J. Agric. Food Chem. 2010. V. 58. № 2. P. 744. https://doi.org/10.1021/jf903091n
- Ziyatdinova G., Ziganshina E., Nguyen Cong Ph., Budnikov H. Ultrasound-assisted micellar extraction of phenolic antioxidants from spices and antioxidant properties of the extracts based on coulometric titration data // Anal. Methods. 2016. V. 8. № 39. P. 7150. https://doi.org/10.1039/c6ay02112c
- Зиятдинова Г.К., Нгуен Конг Ф., Будников Г.К. Оценка антиоксидантных свойств мицеллярных экстрактов специй методом гальваностатической кулонометрии с электрогенерированными гексацианоферрат(III)-ионами // Журн. аналит. химии. 2015. Т. 70. № 8. С. 854. (Ziyatdinova G.K., Nguen Cong F., Budnikov H.C. Assessment of the antioxidant properties of micellar spice extracts by galvanostatic coulometry with electrogenerated hexacyanoferrate(III) ions // J. Anal. Chem. 2015. V.70. № 8. P. 974. )https://doi.org/10.1134/S1061934815080195
- Зиятдинова Г.К., Будников Г.К. Мицеллярная экстракция активных компонентов из специй и оценка церий восстанавливающей способности извлечений // Журн. аналит. химии. 2021. Т. 76. № 9. С. 812. (Ziyatdinova G.K., Budnikov H.C. Micellar extraction of active components from spices and evaluation of the Ce(IV)-based reducing capacity of the extracts // J. Anal. Chem. 2021. V. 76. № 9. P. 1065.)https://doi.org/10.1134/S1061934821090124
- Ziyatdinova G., Nizamova A., Budnikov H. Novel coulometric approach to evaluation of total free polyphenols in tea and coffee beverages in presence of milk proteins // Food Anal. Methods. 2011. V. 4. № 3. P. 334. https://doi.org/10.1007/s12161-010-9174-0
- Низамова А.М., Зиятдинова Г.К., Будников Г.К. Электрогенерированный бром – кулонометрический реагент для оценки биодоступности полифенолов // Журн. аналит. химии. 2011. Т. 66. № 3. С. 308. (Nizamova A.M., Ziyatdinova G.K., Budnikov G.K. Electrogenerated bromine as a coulometric reagent for the estimation of the bioavailability of polyphenols // J. Anal. Chem. 2011. V.66. № 3. P. 301.)https://doi.org/10.1134/S1061934811010114
- Ziyatdinova G., Salikhova I., Budnikov H. Coulometric titration with electrogenerated oxidants as a tool for evaluation of cognac and brandy antioxidant properties // Food Chem. 2014. V.150. P. 80. https://doi.org/10.1016/j.foodchem.2013.10.133
- Абдуллин И.Ф., Турова Е.Н., Гайсина Г.Х., Будников Г.К. Применение электрогенерированного брома для оценки интегральной антиоксидантной способности лекарственного растительного сырья и препаратов на его основе // Журн. аналит. химии. 2002. Т. 57. № 6. С. 666. (Abdullin I.F., Turova E.N., Gaisina G.Kh., Budnikov G.K. Use of electrogenerated bromine for estimating the total antioxidant capacity of plant raw materials and plant-based medicinal preparations // J. Anal. Chem. 2002. V. 57. № 6. P. 557.)https://doi.org/10.1023/A:1015758221044
- Ziyatdinova G., Budnikov H. Analytical capabilities of coulometric sensor systems in the antioxidants analysis // Chemosensors. 2021. V. 9. № 5. Article 91. https://doi.org/10.3390/chemosensors9050091
- Singleton V.L., Rossi J.A. Colorimetry of total phenolics with phosphomolybdic-phosphotungstic acid reagents // Am. J. Enol. Vitic. 1965. V.16. № 3. P. 144.
- Fu L., Xu B.-T., Gan R.-Y., Zhang Y., Xu X.-R., Xia E.-Q., Li H.-B. Total phenolic contents and antioxidant capacities of herbal and tea infusions // Int. J. Mol. Sci. 2011. V. 12. № 4. P. 2112. https://doi.org/10.3390/ijms12042112
- Brand-WilliamsW., Cuvelier M.E., Berset C. Use of a free radical method to evaluate antioxidant activity // LWT – Food Sci. Technol. 1995. V. 28. № 1. P. 25. https://doi.org/10.1016/S0023-6438(95)80008-5
- Radovanović B., Radovanović A. Free radical scavenging activity and anthocyanin profile of cabernet sauvignon wines from the Balkan region // Molecules. 2010. V. 15. № 6. P. 4213. https://doi.org/10.3390/molecules15064213
- Lermusieau G., Collin S. Volatile sulfur compounds in hops and residual concentrations in beer – A review // J. Am. Soc. Brew. Chem. 2003. V. 61. № 3. P. 109. https://doi.org/10.1094/ASBCJ-61-0109
- Feldman K.S., Quideau S., Appel H.M. Galloyl-derived orthoquinones as reactive partners in nucleophilic additions and Diels-Alder dimerizations: A novel route to the dehydrodigalloyl linker unit of agrimoniin-type ellagitannins // J. Org. Chem. 1996. V. 61. № 19. P. 6656. https://doi.org/10.1021/jo961043u
- Oniki T., Takahama U. Free radicals produced by the oxidation of gallic acid and catechin derivatives // J. Wood Sci. 2004. V. 50. № 6. P. 545. https://doi.org/10.1007/s10086-003-0591-1
- Miracle R.E., Ebeler S.E., Bamforth C.W. The measurement of sulfur-containing aroma compounds in samples from production-scale brewery operations // J. Am. Soc. Brew. Chem. 2005. V. 63. № 3. P. 129. https://doi.org/10.1094/ASBCJ-63-0129
- Marshall P.A., Trenerry V.C., Thompson C.O. The determination of total ascorbic acid in beers, wines, and fruit drinks by micellar electrokinetic capillary chromatography // J. Chromatogr. Sci. 1995. V. 33. № 8. P. 426. https://doi.org/10.1093/chromsci/33.8.426
- Richman D. Bock (Classic Beer Style Series Book 9). Boulder: Brewers Publications, 1994. 174 p.
- Coghe S., Gheeraert B., Michiels A., Delvaux F.R. Development of Maillard reaction related characteristics during malt roasting // J. Inst. Brew. 2006. V. 112. № 2. P. 148. https://doi.org/10.1002/j.2050-0416.2006.tb00244.x





