A Potentiometric Sensor for Cesium Ions with a Film Membrane Based on Dibenzo-21-Crown-7
- Authors: Brechalov A.A.1, Babitova E.S.1, Timoshenko V.V.1, Eremin V.V.1, Kalinin E.O.1, Kalyagin D.S.2, Smirnov I.V.1,2, Ermolenko Y.E.1
-
Affiliations:
- St. Petersburg State University
- Khlopin Radium Institute
- Issue: Vol 78, No 1 (2023)
- Pages: 90-93
- Section: ORIGINAL ARTICLES
- Submitted: 14.10.2023
- URL: https://bakhtiniada.ru/0044-4502/article/view/136024
- DOI: https://doi.org/10.31857/S0044450222110032
- EDN: https://elibrary.ru/KLKLPA
- ID: 136024
Cite item
Full Text
Abstract
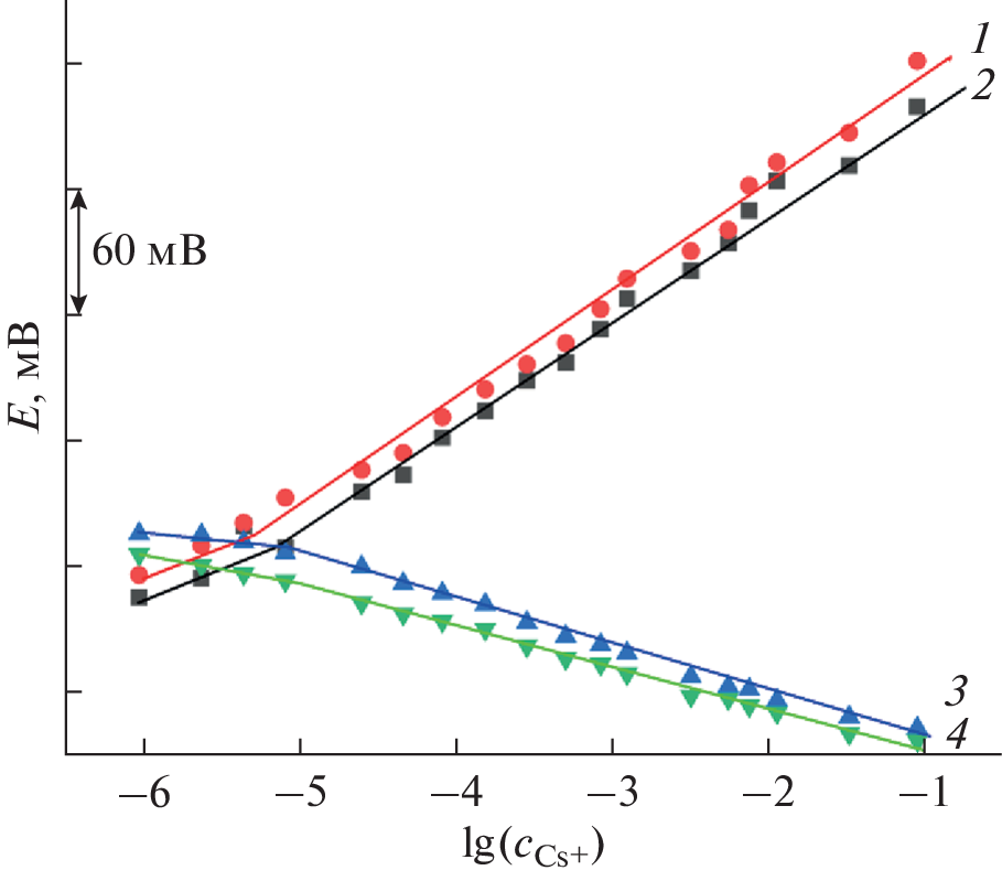
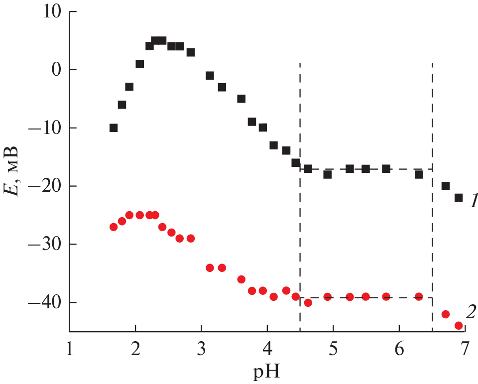
A new type of potentiometric sensor for cesium ions based on a crown ether (dibenzo-21-crown-7) is proposed; its analytical characteristics are presented: limit of detection, slope of electrode function, selectivity to a number of interfering ions, and the working pH range of solutions.
About the authors
A. A. Brechalov
St. Petersburg State University
Email: y.ermolenko@spbu.ru
199034, St. Petersburg, Russia
E. S. Babitova
St. Petersburg State University
Email: y.ermolenko@spbu.ru
199034, St. Petersburg, Russia
V. V. Timoshenko
St. Petersburg State University
Email: y.ermolenko@spbu.ru
199034, St. Petersburg, Russia
V. V. Eremin
St. Petersburg State University
Email: y.ermolenko@spbu.ru
199034, St. Petersburg, Russia
E. O. Kalinin
St. Petersburg State University
Email: y.ermolenko@spbu.ru
199034, St. Petersburg, Russia
D. S. Kalyagin
Khlopin Radium Institute
Email: y.ermolenko@spbu.ru
194021, St. Petersburg, Russia
I. V. Smirnov
St. Petersburg State University; Khlopin Radium Institute
Email: y.ermolenko@spbu.ru
199034, St. Petersburg, Russia; 194021, St. Petersburg, Russia
Yu. E. Ermolenko
St. Petersburg State University
Author for correspondence.
Email: y.ermolenko@spbu.ru
199034, St. Petersburg, Russia
References
- Zdrachek E., Bakker E. Potentiometric sensing // Anal. Chem. 2019. V. 91. P. 2. https://doi.org/10.1021/acs.analchem.8b04681
- Ding R., Cheong Y.H., Ashiq A., Lisak G. Heavy metals detection with paper-based electrochemical sensors // Anal. Chem. 2021. 93. P. 1880. https://doi.org/10.1021/acs.analchem.0c04247
- Zhang H.X., Huang Z.X., Zhao P.Y., Hou Y., Guo J.J, Wu Y.C. Crown ether functionalized graphene oxide as ultrasensitive electrochemical sensor for detection of potassium ions // Mater. Res. Express. 2019. V. 6. № 12. Article 125095. https://doi.org/10.1088/2053-1591/ab5d65
- Ozbek O., Isildak O., Gürdere M.B., Cetin A. The use of crown ethers as sensor material in potentiometry technique // Org. Commun. 2021. V. 14. № 3. P. 228. https://doi.org/10.25135/acg.oc.110.2106.2114
- Ekmekci G., Uzun D., Somer G., Kalayci S. A novel iron(III) selective membrane electrode based on benzo-18-crown-6 crown ether and its applications // J. Membr. Sci. 2007. V. 288. P. 36. https://doi.org/10.1016/j.memsci.2006.10.044
- Khaled E., Kamel M.S., Hassan H.N.A. Novel multi walled carbon nanotubes /crown ether based disposable sensors for determination of lead in water samples // Anal. Chem. Lett. 2015. V. 6. № 5. P. 329. https://doi.org/10.1080/22297928.2016.1143393
- Gupta V.K., Pankaj K., Rajni M. PVC based monoaza-18-crown-6 membrane potentiometric sensors for cadmium // Electroanalysis. 2000. V.12. № 10. P. 752. https://doi.org/10.1002/1521-4109(200006)12:10<752: :AID-ELAN752>3.0.CO;2-V
- Bouazizi A., Maaref H., Nyamsi-Hendji. A.M., Jaffrezic-Renault N., Chevalier Y. Chemically modified ISFETs with thin polymeric membranes working in a differential mode // Sens. Mater. 1997. V. 9. № 3. P. 149. https://myukk.org/SM2017/sm_pdf/SM281.pdf
Supplementary files







