Последовательное инжекционное амперометрическое определение глюкозы в слюне на планарном электроде, модифицированном бинарной системой золото–кобальт
- Авторы: Шайдарова Л.Г.1, Челнокова И.А.1, Гафиатова И.А.1, Гедмина А.В.1, Будников Г.К.1
-
Учреждения:
- Казанский Федеральный университет, Химический институт им. А.М. Бутлерова
- Выпуск: Том 78, № 3 (2023)
- Страницы: 253-259
- Раздел: ОРИГИНАЛЬНЫЕ СТАТЬИ
- Статья получена: 14.10.2023
- URL: https://bakhtiniada.ru/0044-4502/article/view/136013
- DOI: https://doi.org/10.31857/S004445022303012X
- EDN: https://elibrary.ru/FUUDHQ
- ID: 136013
Цитировать
Полный текст
Аннотация
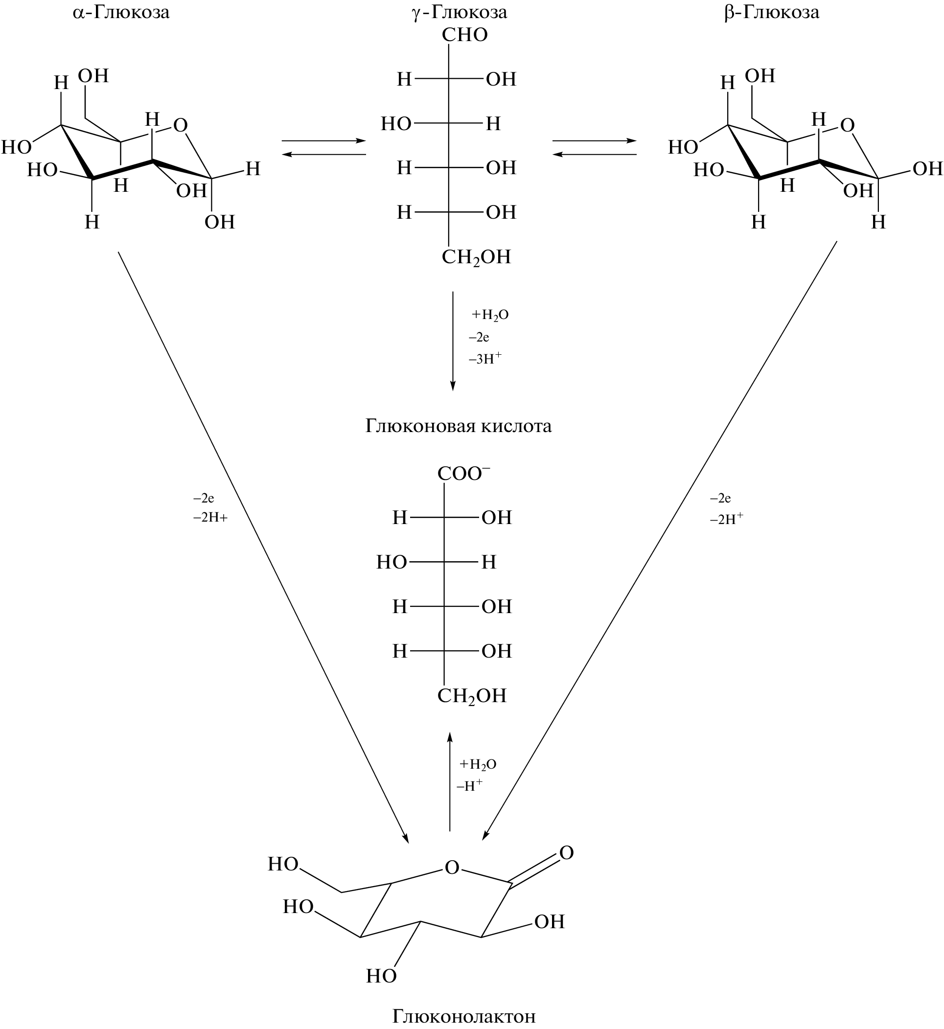
Установлена каталитическая активность электроосажденных на поверхности планарных углеродных электродов частиц золота, кобальта и бинарной системы золото−кобальт при окислении глюкозы в нейтральной среде. Амперометрический отклик планарного электрода, модифицированного бинарной системой золото−кобальт, использовали в качестве аналитического сигнала при определении глюкозы в последовательной инжекционной системе. Линейная логарифмическая зависимость тока от концентрации глюкозы наблюдается в диапазоне от 5 × 10–8 до 5 × 10–2 М. Использование планарного электрода, модифицированного бинарной системой золото–кобальт, в качестве амперометрического детектора в последовательной инжекционной системе позволяет проводить селективное определение глюкозы в слюне в диапазоне концентраций, используемом для медицинской диагностики заболеваний.
Об авторах
Л. Г. Шайдарова
Казанский Федеральный университет, Химический институт им. А.М. Бутлерова
Email: larisashaidarova@mail.ru
Россия, 420008, Казань,, ул. Кремлевская, 18
И. А. Челнокова
Казанский Федеральный университет, Химический институт им. А.М. Бутлерова
Email: larisashaidarova@mail.ru
Россия, 420008, Казань,, ул. Кремлевская, 18
И. А. Гафиатова
Казанский Федеральный университет, Химический институт им. А.М. Бутлерова
Email: larisashaidarova@mail.ru
Россия, 420008, Казань,, ул. Кремлевская, 18
А. В. Гедмина
Казанский Федеральный университет, Химический институт им. А.М. Бутлерова
Email: larisashaidarova@mail.ru
Россия, 420008, Казань,, ул. Кремлевская, 18
Г. К. Будников
Казанский Федеральный университет, Химический институт им. А.М. Бутлерова
Автор, ответственный за переписку.
Email: larisashaidarova@mail.ru
Россия, 420008, Казань,, ул. Кремлевская, 18
Список литературы
- Барсуков И.А., Демина А.А. Новые технологии в управлении сахарным диабетом: от теории − к практике // Consilium Medicum. 2018. Т. 4. № 4. С. 24.
- Ortiz-Martinez M., Flores-DelaToba R., Gonzalez-Gonzalez M., Rito-Palomares M. Current challenges and future trends of enzymatic paper-based point-of-care testing for diabetes mellitus type 2 // Biosensors. 2021. V. 11. № 482. P. 1.
- Mitra K., Ghosh A.B., Sarkar A., Saha N., Dutta A.K. Colorimetric estimation of human glucose level using c-Fe2O3 nanoparticles: An easily recoverable effective mimic peroxidase // Biochem. Biophys. Res. Commun. 2014. V. 451. № 1. P. 30.
- Galant A.L., Kaufman R.C., Wilson J.D. Glucose: Detection and analysis // Food Chemistry. 2015. V. 188. P. 149.
- Zayed M.A., Taha M.M. Spectrophotometric determination of glucose in pure form and in human embryos' culture medium using selective reagent via studying their reaction product // J. Pharm. Appl. Chem. 2018. V. 4. № 1. P. 1.
- Mohammadnejad P., Soleimani S., Aminzadeh S., Haghbeen K. A new sensitive spectrophotometric method for determination of saliva and blood glucose // Spectrochim. Acta A. 2020. V. 229. P. 1.
- Suksom W., Wannachai W., Boonchiangma S., Chanthai S., Srijaranai S. Ion chromatographic analysis of monosaccharides and disaccharides in raw sugar // Chromatographia. 2015. V. 78. № 13–14. P. 873.
- Pereira da Costa M., Conte-Junior C.A. Chromatographic methods for the determination of carbohydrates and organic acids in foods of animal origin // Comrehensive Reviews in Food and Safety. 2015. V. 14. № 5. P. 586.
- Perez-Olmos R., Soto J.C., Zarate N., Araújo A.N., Montenegro M.C.B.S.M. Sequential injection analysis using electrochemical detection: A review // Anal. Chim. Acta. 2005. V. 554. № 1–2. P. 1.
- Шайдарова Л.Г., Будников Г.К. Амперометрическое детектирование лекарственных веществ в проточно-инжекционном анализе / Фармацевтический анализ. Сер. “Проблемы аналитической химии”. М.: АНРАМАК-МЕДИА, 2013. С. 580.
- Park S., Boo H., Chung T.D. Electrochemical non-enzymatic glucose sensors // Anal. Chim. Acta. 2006. V. 556. № 1. P. 46.
- Zhao C., Shao C., Li M., Jiao K. Flow-injection analysis of glucose without enzyme based on electrocatalytic oxidation of glucose at a nickel electrode // Talanta. 2007. V. 71. № 4. P. 1769.
- Prabhu S., Baldwin R. Constant potential amperometric detection of carbohydrates at a copper-based chemically modified electrode // Anal. Chem. 1989. V. 61. № 8. P. 852.
- Шайдарова Л.Г., Челнокова И.А., Дегтева М.А., Лексина Ю.А., Гедмина А.В., Будников Г.К. Порционно-инжекционное определение креатинина на электроде, модифицированном наночастицами золота // Ученые записки КазГУ. Сер. Естеств. науки. 2014. Т. 156. № 4. С. 40.
- Будников Г.К., Евтюгин Г.А., Майстренко В.Н. Модифицированные электроды для вольтамперометрии в химии, биологии и медицине. М.: БИНОМ. Лаборатория знаний, 2010. 416 с.
- Шайдарова Л.Г., Челнокова И.А., Махмутова Г.Ф., Гедмина А.В., Будников Г.К. Вольтамперометрическое и проточно-инжекционное определение углеводов на композитных электродах на основе углеродных нанотрубок и гексацианоферрата никеля(II) // Журн. аналит. химии. 2014. Т. 69. № 7. С. 725.
Дополнительные файлы







