Поведение и фракционирование труднолетучих примесей в дуге постоянного тока при анализе циркония атомно-эмиссионным методом
- Авторы: Золотарева Н.И.1, Гражулене С.С.1
-
Учреждения:
- Институт проблем технологии микроэлектроники и особочистых материалов Российской академии наук
- Выпуск: Том 78, № 2 (2023)
- Страницы: 144-150
- Раздел: ОРИГИНАЛЬНЫЕ СТАТЬИ
- Статья получена: 14.10.2023
- URL: https://bakhtiniada.ru/0044-4502/article/view/136005
- DOI: https://doi.org/10.31857/S0044450223020160
- EDN: https://elibrary.ru/CEBETE
- ID: 136005
Цитировать
Полный текст
Аннотация
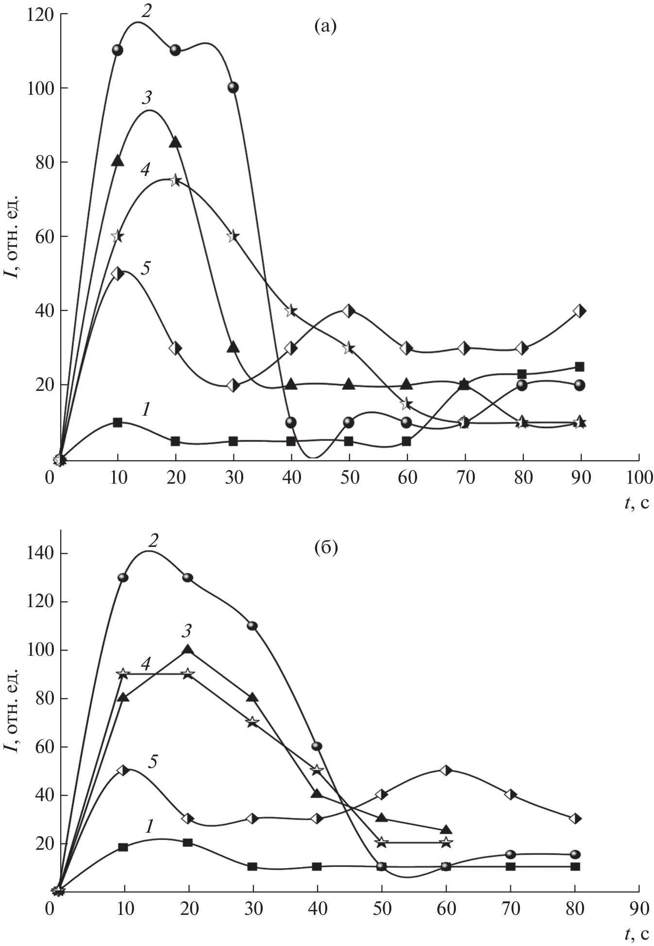
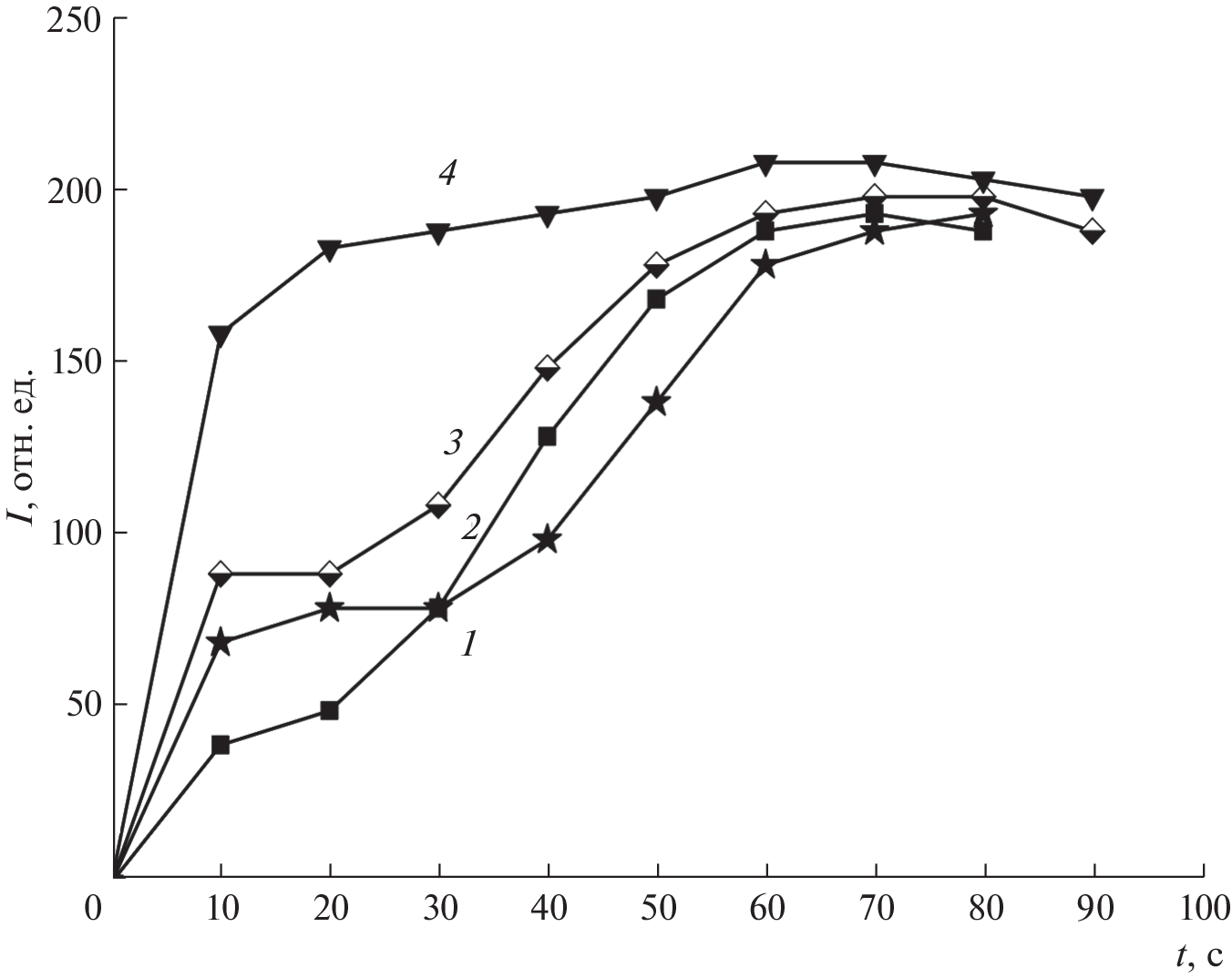
Изучено влияние химически активных фторсодержащих добавок AlF3, BaF2 и ZnF2 на характер испарения ряда труднолетучих элементов из тугоплавкой матрицы в кратере электрода дуги постоянного тока при атомно-эмиссионном анализе циркония. Найдено, что в присутствии добавок происходит образование легколетучих фторидов труднолетучих элементов-примесей и их фракционное испарение по отношению к испарению элемента-основы. Быстрое и полное испарение фторидов примесей происходит в течение первых 30 с горения дуги, и лишь после этого начинается интенсивное испарение основы. Такое фракционирование приводит к значительному росту интенсивности спектральных линий примесей и уменьшению интенсивности фона и, следовательно, снижению пределов определения труднолетучих элементов в оксиде циркония. Установлено, что наиболее эффективной из исследуемых фторирующих добавок является фторид цинка. Его использование позволило снизить пределы определения труднолетучих элементов на два порядка по сравнению с пределами определения в оксиде циркония без добавок, а также улучшить воспроизводимость результатов определений.
Об авторах
Н. И. Золотарева
Институт проблем технологии микроэлектроники и особочистых материалов Российской академии наук
Email: zol@iptm.ru
Россия, 142432, Московская обл., Черноголовка, ул. Академика Осипьяна, 6
С. С. Гражулене
Институт проблем технологии микроэлектроники и особочистых материалов Российской академии наук
Автор, ответственный за переписку.
Email: zol@iptm.ru
Россия, 142432, Московская обл., Черноголовка, ул. Академика Осипьяна, 6
Список литературы
- Решетников Ф.Г. Разработка, производство и эксплуатация тепловыделяющих элементов энергетических реакторов. М.: Энергоиздат, 1995. Кн. 1. С. 126.
- Глинская И.В., Теселкина А.Э., Алексеева Т.Ю., Куфтырев Р.Ю. Анализ диоксида циркония, стабилизированного оксидом иттрия, методом атомно-эмиссионной спектрометрии с индуктивно связанной плазмой // Заводск. лаборатория. Диагностика материалов. 2018. Т. 84. № 4. С. 16.
- Домбровская М.А., Лисиенко Д.Г., Шафар О.Ю. Определение гафния в циркониевых материалах // Заводск. лаборатория. Диагностика материалов. 2019. Т. 85. № 1. Ч. II. С. 56.
- Елинсон С.В., Петров К.И. Аналитическая химия циркония и гафния. М.: Наука, 1965. 240 с.
- Бурмий Ж.П., Золотарева Н.И., Хвостиков В.А., Гражулене С.С. Фотоэлектрическая регистрация эмиссионных спектров на основе приборов с зарядовой связью // Заводск. лаборатория. Диагностика материалов. 2008. Т. 74. № 6. С. 26.
- Верятин У.Д., Маширев В.П. Термодинамические свойства индивидуальных веществ. М.: Атомиздат, 1965. С. 154.
- Чанышева Т.А., Шелпакова И.Р. Унифицированный метод атомно-эмиссионного спектрального анализа объектов разной природы // Аналитика и контроль. 2002. Т. 6. № 3. С. 298.
- Гольдфарб В.М., Ильина Е.В. О зависимости интенсивности спектральных линий от состава плазмы дуги постоянного тока / Прикладная спектроскопия. М.: Наука, 1969. Т. 1. С. 172.
- Зильберштейн Х.И. Спектральный анализ чистых веществ. Л.: Химия, 1971. С. 105.
- Зайдель А.Н., Калитеевский Н.И., Липис Л.В., Чайка М.П. Эмиссионный спектральный анализ атомных материалов. М.: Физматгиз, 1960. 686 с.
- Домбровская М.А., Лисиенко Д.Г., Гильмуллина Ч.Г., Кубрина Е.Д. Совершенствование атомно-эмиссионной методики анализа графитового коллектора // Заводск. лаборатория. Диагностика материалов. 2017. Т. 83. № 1. Ч. II. С. 51.
- Экспериандова Л.П., Беликов К.Н., Химченко С.В., Бланк Т.А. Еще раз о пределах обнаружения и определения // Журн. аналит. химии. 2010. Т. 65. № 3. С. 229. (Eksperiandova L.P., Belikov K.N., Khimchenko S.V., Blank T.A. Once again about determination and detection limits // J. Anal. Chem. 2010. V. 65. № 3. P. 223.)





