Modern Methods and Current Trends in the Analytical Chemistry of Flavanones
- Authors: Yakupova E.N.1, Ziyatdinova G.K.1
-
Affiliations:
- Butlerov Institute of Chemistry, Kazan Federal University
- Issue: Vol 78, No 4 (2023)
- Pages: 291-316
- Section: REVIEWS
- Submitted: 14.10.2023
- URL: https://bakhtiniada.ru/0044-4502/article/view/135997
- DOI: https://doi.org/10.31857/S0044450223040163
- EDN: https://elibrary.ru/KZZMSL
- ID: 135997
Cite item
Full Text
Abstract
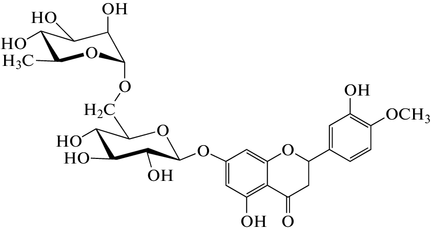
The review covers the specific features of the structure of flavanones and a critical review of methods for their determination in various samples. The data are summarizes according to the methods of analysis: chromatographic, electrophoretic, spectral, and electrochemical. Analytical possibilities of each group of methods and their advantages and disadvantages are discussed. Special attention is paid to the use of chemically modified electrodes based on carbon nanomaterials, 3D nanoporous metal structures, composites of metal oxides and sulfide nanoparticles or dyes with carbon nanomaterials, and also combinations of modifiers of various types in flavanone voltammetry.
About the authors
E. N. Yakupova
Butlerov Institute of Chemistry, Kazan Federal University
Email: Ziyatdinovag@mail.ru
420008, Kazan, Tatarstan, Russia
G. K. Ziyatdinova
Butlerov Institute of Chemistry, Kazan Federal University
Author for correspondence.
Email: Ziyatdinovag@mail.ru
420008, Kazan, Tatarstan, Russia
References
- Зиятдинова Г.К., Будников Г.К. Природные фенольные антиоксиданты в биоаналитической химии: состояние проблемы и перспективы развития // Успехи химии. 2015. Т. 84. № 2. С. 194. (Ziyatdinova G.K., Budnikov H.C. Natural phenolic antioxidants in bioanalytical chemistry: State of the art and prospects of development // Russ. Chem. Rev. 2015. V. 84. № 2. P. 194. )https://doi.org/10.1070/RCR4436
- Veitch N.C., Grayer R.J. Flavonoids and their glycosides, including anthocyanins // Nat. Prod. Rep. 2008. V. 25. № 3. P. 555. https://doi.org/10.1039/B718040N
- Barreca D., Gattuso G., Bellocco E., Calderaro A., Trombetta D., Smeriglio A., Lagan G., Daglia M., Meneghini S., Nabavi S.M. Flavanones: Citrus phytochemical with health-promoting properties // Biofactors. 2017. V. 43. № 4. P. 495. https://doi.org/10.1002/biof.1363
- Ghosal A., Satoh H., Thomas P.E., Bush F., Moore D. Inhibition and kinetics of cytochrome P4503A activity in microsomes from rat, human, and cDNA-expressed human cytochrome P450 // Drug. Metab. Dispos. 1996. V. 24. № 9. P. 940.
- Constantin R.P., do Nascimento G.S., Constantin R.P., Salgueiro C.L., Bracht A., Ishii-Iwamoto E.L., Yamamoto N.S., Constantin J. Citrus flavanones affect hepatic fatty acid oxidation in rats by acting as prooxidant agents // BioMed Res. Int. 2013. V. 2013. Article 342973. https://doi.org/10.1155/2013/342973
- Shen N., Wang T., Gan Q., Liu S., Wang L., Lin B. Plant flavonoids: Classification, distribution, biosynthesis, and antioxidant activity // Food Chem. 2022. V. 383. Article 132531. https://doi.org/10.1016/j.foodchem.2022.132531
- Veitch N.C., Grayer R.J. Chalcones, dihydrochalcones, and aurones / Flavonoids: Chemistry, Biochemistry and Applications / Eds. Andersen O.M., Markham K.R. Boca Raton: CRC Press LLC, 2006. P. 1003.
- Khan M.K., Zill-E-Huma, Dangles O. A comprehensive review on flavanones, the major citrus polyphenols // J. Food Compos. Anal. 2014. V. 33. № 1. P. 85. https://doi.org/10.1016/j.jfca.2013.11.004
- Durazzo A., Lucarini M., Souto E.B., Cicala C., Caiazzo E., Izzo A.A., Novellino E., Santini A. Polyphenols: A concise overview on the chemistry, occurrence, and human health // Phytother. Res. 2019. V. 33. № 9. P. 2221. https://doi.org/10.1002/ptr.6419
- Регистр лекарственных средств России: Энциклопедия лекарств. Вып. 30 / Под ред. Вышковского Г.Л. M.: ВЕДАНТА, 2021. 1536 с.
- Zhang C., Bucheli P., Liang X., Lu Y. Citrus flavonoids as functional ingredients and their role in traditional Chinese medicine // Food. 2007. V. 1. № 2. P. 287.
- e Silva L.C.R.C., David J.M., Borges R. dos S.Q., Ferreira S.L.C., David J.P., dos Reis P.S., Bruns R.E. Determination of flavanones in orange juices obtained from different sources by HPLC/DAD // J. Anal. Methods Chem. 2014. V. 2014. Article 296838. https://doi.org/10.1155/2014/296838
- Hejniak J., Baranowska I., Stencel S., Bajkacz S. Separation and determination of selected polyphenols from medicinal plants // J. Chromatogr. Sci. 2019. V. 57. № 1. P. 17. https://doi.org/10.1093/chromsci/bmy075
- Zheng H., Zhen X.-T., Chena Y., Zhua S.-C., Ye L.-H., Yang S.-W., Wang Q.-Y., Cao J. In situ antioxidation-assisted matrix solid-phase dispersion microextraction and discrimination of chiral flavonoids from citrus fruit via ion mobility quadrupole time-of-flight high-resolution mass spectrometry // Food Chem. 2021. V. 343. Article 128422. https://doi.org/10.1016/j.foodchem.2020.128422
- Baranowska I., Hejniak J., Magiera S. LC-ESI-MS/MS method for the enantioseparation of six flavanones // Anal. Methods. 2017. V. 9. № 6. P. 1018. https://doi.org/10.1039/C6AY02952C
- Bajkacz S., Baranowska I., Buszewski B., Kowalski B., Ligor M. Determination of flavonoids and phenolic acids in plant materials using SLE-SPE-UHPLC-MS/MS method // Food Anal. Methods. 2018. V. 11. № 12. P. 35. https://doi.org/10.1007/s12161-018-1332-9
- Seo C.-S., Shin H.-K. Simultaneous analysis for quality control of traditional herbal medicine, gungha-tang, using liquid chromatography–tandem mass spectrometry // Molecules. 2022. V. 27. № 4. Article 1223. https://doi.org/10.3390/molecules27041223
- Zeng X., Su W., Zheng Y., Liu H., Li P., Zhang W., Liang Y., Bai Y., Peng W., Yao H. UFLC-Q-TOF-MS/MS-based screening and identification of flavonoids and derived metabolites in human urine after oral administration of Exocarpium Citri Grandis extract // Molecules. 2018. V. 23. № 4. Article 895. https://doi.org/10.3390/molecules23040895
- Aziz N., Khan M.N., Ali A., Khadim A., Muhsinah A.B., Uddin J., Musharraf S.G. Rapid analysis of flavonoids based on spectral library development in positive ionization mode using LC-HR-ESI-MS/MS // Arab. J. Chem. 2022. V. 15. № 4. Article 103734. https://doi.org/10.1016/j.arabjc.2022.103734
- Tine Y., Yang Y., Renucci F., Costa J., Wélé A., Paolini J. LC-MS/MS analysis of flavonoid compounds from Zanthoxylum zanthoxyloides extracts and their antioxidant activities // Nat. Prod. Commun. 2017. V. 12. № 12. P. 1865. https://doi.org/10.1177/1934578X1701201213
- Ribeiro I.A., Ribeiro M.H.L. Naringin and naringenin determination and control in grapefruit juice by a validated HPLC method // Food Control. 2008. V. 19. № 4. P. 432. https://doi.org/10.1016/j.foodcont.2007.05.007
- Ni H., Zhang S.F., Gao Q.F., Hu Y., Jiang Z.D., Chen F. Development and evaluation of simultaneous quantification of naringin, prunin, naringenin, and limonin in citrus juice // Food Sci. Biotechnol. 2015. V. 24. № 4. P. 1234. https://doi.org/10.1007/s10068-015-0159-z
- Musmade K.P., Trilok M., Dengale S.J., Bhat K., Reddy M.S., Musmade P.B., Udupa N. Development and validation of liquid chromatographic method for estimation of naringin in nanoformulation // J. Pharm. 2014. V. 2014. Article 864901. https://doi.org/10.1155/2014/864901
- Büyüktuncel E. Fast determination of naringin and hesperidin in natural and commercial citrus juices by HPLC method // Asian J. Chem. 2017. V. 29. № 11. P. 2384. https://doi.org/10.14233/ajchem.2017.20675
- Erlund I., Meririnne E., Alfthan G., Aro A. Plasma kinetics and urinary excretion of the flavanones naringenin and hesperetin in humans after ingestion of orange juice and grapefruit juice // J. Nutr. 2001. V. 131. № 2. P. 235. https://doi.org/10.1093/jn/131.2.235
- Xie F., Wulster-Radcliffe M., Hilt R., Kissinger C.B., Kissinger P.T. Determination of naringenin in rat plasma with the Culex® automated blood sampler coupled with liquid chromatography/electrochemistry // Asian J. Drug Metab. Pharmacokinet. 2004. V. 4. № 1. P. 29.
- Diaconu C., Vlase L., Cuciureanu M., Filip L. Assessment of flavonoids content in citrus juices using a LC/MS method // Farmacia. 2017. V. 65. № 1. P. 92.
- Perlatti B., Fernandes J.B., Silva M.F.G.F., Ardila J.A., Carneiro R.L., Souza B.H.S., Costa E.N., Eduardo W.I., Boiça Junior A.L., Forim M.R. Application of a quantitative HPLC-ESI-MS/MS method for flavonoids in different vegetables matrices // J. Braz. Chem. Soc. 2016. V. 27. № 3. P. 475. https://doi.org/10.5935/0103-5053.20150273
- Csuti A., Sik B., Ajtony Z. Measurement of naringin from citrus fruits by high-performance liquid chromatography – A review // Crit. Rev. Anal. Chem. 2022. https://doi.org/10.1080/10408347.2022.2082241
- Baira E., Dagla I., Siapi E., Zoumpoulakis P., Tsarbopoulos A., Simitzis P., Goliomytis M., Deligeorgis S.G., Skaltsounis A.-L., Gikas E. Development of a validated UHPLC-ESI (-)-HRMS methodology for the simultaneous quantitative determination of hesperidin, hesperetin, naringin, and naringenin in chicken plasma // Food Anal. Methods. 2019. V. 12. № 5. P. 1187. https://doi.org/10.1007/s12161-018-01420-4
- Ma Y., Zhang Y., Zhai Y., Zhu Z., Pan Y., Qian D., Su S., Fan X., Duan J. Development of a UPLC-TQ/MS approach for the determination of eleven bioactive components in Haizao Yuhu decoction plus-minus Haizao and Gancao drug combination after oral administration in a rat model of hypothyroidism // Molecules. 2017. V. 22. № 1. Article 7. https://doi.org/10.3390/molecules22010007
- Yuan J., Wei F., Luo X., Zhang M., Qiao R., Zhong M., Chen H., Yang W. Multi-component comparative pharmacokinetics in rats after oral administration of Fructus aurantia Extract, naringin, neohesperidin, and naringin-neohesperidin // Front. Pharmacol. 2020. V. 11. Article 933. https://doi.org/10.3389/FPHAR.2020.00933
- Chen T., Wu H., He Y., Pan W., Yan Z., Liao Y., Peng W., Gan L., Zhang Y., Su W., Yao H. Simultaneously quantitative analysis of naringin and its major human gut microbial metabolites naringenin and 3-(4'-hydroxyphenyl) propanoic acid via stable isotope deuterium-labeling coupled with RRLC-MS/MS Method // Molecules. 2019. V. 24. № 23. Article 4287. https://doi.org/10.3390/molecules24234287
- Zeng X., Su W., Liu H., Zheng Y., Chen T., Zhang W., Yan Z., Bai Y., Yao H. Simultaneous determination of rosuvastatin, naringin and naringenin in rat plasma by RRLC–MS/MS and its application to a pharmacokinetic drug interaction study // J. Chromatogr. Sci. 2018. V. 56. № 7. P. 611. https://doi.org/10.1093/chromsci/bmy034
- Meier B., Sprian D. Modern HPTLC – A perfect tool for quality control of herbals and their preparations // J. AOAC Int. 2010. V. 93. № 5. P. 1399. https://doi.org/10.1093/jaoac/93.5.1399
- Mikropoulou E.V., Petrakis E.A., Argyropoulou A., Mitakou S., Halabalaki M., Skaltsounis L.A. Quantification of bioactive lignans in sesame seeds using HPTLC densitometry: Comparative evaluation by HPLC-PDA // Food Chem. 2019. V. 288. P. 1. https://doi.org/10.1016/j.foodchem.2019.02.109
- Alam P., Alam A., Anwer Md.K., Alqasoumi S.I. Quantitative estimation of hesperidin by HPTLC in different varieties of citrus peels // Asian Pac. J. Trop. Biomed. 2014. V. 4. № 4. P. 262. https://doi.org/10.12980/APJTB.4.2014C1007
- Alam P., Siddiqui N.A., Al-Rehaily A.J., Alajmi M.F., Basudan O.A., Khan T.H. Stability-indicating densitometric high-performance thin-layer chromatographic method for the quantitative analysis of biomarker naringin in the leaves and stems of Rumex vesicarius L. // JPC – J. Planar Chromatogr. 2014. V. 27. № 3. P. 204. https://doi.org/10.1556/JPC.27.2014.3.10
- Li Y., Zhao C., Lu C., Zhou S., Tian G., He L., Bao Y., Fauconnier M.-L., Xiao H., Zheng J. Simultaneous determination of 14 bioactive citrus flavonoids using thin-layer chromatography combined with surface enhanced Raman spectroscopy // Food Chem. 2021. V. 338. Article 128115. https://doi.org/10.1016/j.foodchem.2020.128115
- Foudah A.I., Shakeel F., Alam P., Alqarni M.H., Abdel-Kader M.S., Alshehri S. A sustainable reversed-phase HPTLC method for the quantitative estimation of hesperidin in traditional and ultrasound-assisted extracts of different varieties of citrus fruit peels and commercial tablets // Agronomy. 2021. V. 11. № 9. Article 1744. https://doi.org/10.3390/agronomy11091744
- Przybylska A., Gackowski M., Koba M. Application of capillary electrophoresis to the analysis of bioactive compounds in herbal raw materials // Molecules. 2021. V. 26. № 8. Article 2135. https://doi.org/10.3390/molecules26082135
- Memon A.F., Solangi A.R., Memon S.Q., Mallah A., Memon N., Memon A.A. Simultaneous determination of quercetin, rutin, naringin, and naringenin in different fruits by capillary zone electrophoresis // Food. Anal. Methods. 2017. V. 10. № 1. P. 83. https://doi.org/10.1007/s12161-016-0552-0
- Şanlı S., Lunte C. Determination of eleven flavonoids in chamomile and linden extracts by capillary electrophoresis // Anal. Methods. 2014. V. 6. № 11. P. 3858. https://doi.org/10.1039/C3AY41878B
- Memon A.F., Solangi A.R., Memon S.Q., Mallah A., Memon N. Quantitative separation of hesperidin, chrysin, epicatechin, epigallocatechin gallate, and morin using ionic liquid as a buffer additive in capillary electrophoresis // Electrophoresis. 2018. V. 39. № 13. P. 1606. https://doi.org/10.1002/elps.201700421
- Sawalha S.M.S., Arráez-Román D., Segura-Carretero A., Fernández-Gutiérrez A. Quantification of main phenolic compounds in sweet and bitter orange peel using CE–MS/MS // Food Chem. 2009. V. 116. № 2. P. 567. https://doi.org/10.1016/j.foodchem.2009.03.003
- Wu T., Guan Y., Ye J. Determination of flavonoids and ascorbic acid in grapefruit peel and juice by capillary electrophoresis with electrochemical detection // Food Chem. 2007. V. 100. № 4. P. 1573. https://doi.org/10.1016/j.foodchem.2005.12.042
- Peng Y., Liu F., Ye J. Quantitative and qualitative analysis of flavonoid markers in Frucus aurantii of different geographical origin by capillary electrophoresis with electrochemical detection // J. Chromatogr. B. 2006. V. 830. № 2. P. 224. https://doi.org/10.1016/j.jchromb.2005.10.043
- Ma F., Zhang W., Wang J., Zhang L., Chen G. Fabrication of a carbon nanotube-polyurethane composite electrode by in situ polyaddition for use in amperometric detection in capillary electrophoresis // Microchim. Acta. 2016. V. 183. № 9. P. 2579. https://doi.org/10.1007/s00604-016-1900-x
- Wang X., Wang J., Zhang L., Chen G. Carbon nanotube-phenolic resin composite electrode fabricated by far infrared-assisted crosslinking for enhanced amperometric detection // Electroanalysis. 2019. V. 31. № 4. P. 756. https://doi.org/10.1002/elan.201800604
- Bachmann S., Huck C.W., Bakry R., Bonn G.K. Analysis of flavonoids by CE using capacitively coupled contactless conductivity detection // Electrophoresis. 2007. V. 28. № 13. P. 799. https://doi.org/10.1002/elps.200600228
- Tsimogiannis D., Samiotaki M., Panayotou G., Oreopoulou V. Characterization of flavonoid subgroups and hydroxy substitution by HPLC-MS/MS // Molecules. 2007. V. 12. № 3. P. 593. https://doi.org/10.3390/12030593
- Mazzaferro L.S., Breccia J.D. Quantification of hesperidin in citrus-based foods using a fungal diglycosidase // Food Chem. 2012. V. 134. № 4. P. 2338. https://doi.org/10.1016/j.foodchem.2012.03.107
- Kuntić V., Pejić N., Mićić S. Direct spectrophotometric determination of hesperidin in pharmaceutical preparations // Acta Chim. Slov. 2012. V. 59. № 2. P. 436.
- Bennani I., Chentoufi M.A., El Otmani I.S., Cheikh A., Bamou N., El Karbane M., Bouatia M. Development and validation of two spectrophotometric methods for simultaneous determination of diosmine and hesperidin in mixture and their applications // J. App. Pharm. Sci. 2020. V. 10. № 7. P. 100.
- Srilatha D., Nasare M., Nagasandhya B., Prasad V., Diwan P. Development and validation of UV spectrophotometric method for simultaneous estimation of hesperidin and diosmin in the pharmaceutical dosage form // ISRN Spectroscopy. 2013. V. 2013. Article 534830. https://doi.org/10.1155/2013/534830
- Jha D.K., Shah D.S., Talele S.R., Amin P.D. Correlation of two validated methods for the quantification of naringenin in its solid dispersion: HPLC and UV spectrophotometric methods // SN Appl. Sci. 2020. V. 2. № 4. Article 698. https://doi.org/10.1007/s42452-020-2536-3
- Sahu A.K., Jain V. Quantification of naringenin encapsulated in solid lipid nanoparticles by validated UV-spectroscopy method // Planta Med. 2015. V. 81. № 5. P. 13. https://doi.org/10.1055/s-0035-1545230
- Mohamed D., Tawakkol S.M. Fluorimetric determination of diosmin and hesperidin in combined dosage forms and in plasma through complex formation with terbium // Bull. Fac. Pharm. Cairo Univ. 2013. V. 51. № 1. P. 81. https://doi.org/10.1016/j.bfopcu.2012.12.001
- Obendorf D., Reichart E. Determination of hesperidin by cathodic stripping voltammetry in orange juice and helopyrin, a phytopharmaceutical preparation // Electroanalysis. 1995. V. 7. № 11. P. 1075. https://doi.org/10.1002/elan.1140071115
- Reichart E., Obendorf D. Determination of naringin in grapefruit juice by cathodic stripping differential pulse voltammetry at the hanging mercury drop electrode // Anal. Chim. Acta. 1998. V. 360. № 1–3. P. 179. https://doi.org/10.1016/S0003-2670(97)00704-6
- Temerk Y.M., Ibrahim M.S., Kotb M. Square-wave cathodic adsorptive stripping voltammetric determination of 3-hydroxyflavone, morin and hesperidin in bulk form and biological fluids in absence and presence of Cu(II) // J. Braz. Chem. Soc. 2011. V. 22. № 11. P. 2056. https://doi.org/10.1590/S0103-50532011001100006
- de Souza Gil E., Enache A.T., Oliveira-Brett A.M. Anodic behaviour of flavonoids orientin, eriodictyol and robinin at a glassy carbon electrode // Electroanalysis. 2012. V. 24. № 7. P. 1576. https://doi.org/10.1002/elan.201200211
- David I.G., Numan N., Buleandră M., Popa D.-E., Lițescu S.C., Riga S., Ciobanu A.M. Rapid voltammetric screening method for the assessment of bioflavonoid content using the disposable bare pencil graphite electrode // Chemosensors. 2021. V. 9. № 11. Article 323. https://doi.org/10.3390/chemosensors9110323
- Šafranko S., Stanković A., Asserghine A., Jakovljević M., Hajra S., Nundy S., Medvidović-Kosanović M., Jokić S. Electroactivated disposable pencil graphite electrode – new, cost-effective, and sensitive electrochemical detection of bioflavonoid hesperidin // Electroanalysis. 2021. V. 33. № 4. P. 1063. https://doi.org/10.1002/elan.202060511
- David I.G., Lițescu S.C., Popa D.E., Buleandra M., Iordache L., Albu C., Alecu A., Penu R.L. Voltammetric analysis of naringenin at a disposable pencil graphite electrode – Application to polyphenol content determination in citrus juice // Anal. Methods. 2018. V. 10. № 48. P. 5763. https://doi.org/10.1039/C8AY02281J
- David I.G., Lițescu S.C., Moraru R., Albu C., Buleandra M., Popa D.E., Riga S., Ciobanu A.M., Noor H. Electroanalysis of naringin at electroactivated pencil graphite electrode for the assessment of polyphenolics with intermediate antioxidant power // Antioxidants. 2022. V. 11. № 12. Article 2306. https://doi.org/10.3390/antiox11122306
- Yiğit A., Yardım Y., Şentürk Z. Square-wave adsorptive stripping voltammetric determination of hesperidin using a boron-doped diamond electrode // J. Anal. Chem. 2020. V. 75. № 5. P. 653. https://doi.org/10.1134/S1061934820050184
- Cai W.-L., Liu L., Liao X.-Q., Tao K.-L., Feng F., Yang G.-J. Determination of eriodictyol by a modified multiwalled carbon nanotube glassy carbon electrode // Anal. Lett. 2016. V. 49. № 10. P. 1502. https://doi.org/10.1080/00032719.2015.1113423
- Xia H.-Q., Gu T., Fan R., Zeng J. Comparative investigation of bioflavonoid electrocatalysis in 1D, 2D, and 3D carbon nanomaterials for simultaneous detection of naringin and hesperidin in fruits // RSC Adv. 2022. V. 12. № 11. P. 6409. https://doi.org/10.1039/D1RA07217J
- Sims M.J., Li Q., Kachoosangi R.T., Wildgoose G.G., Compton R.G. Using multiwalled carbon nanotube modified electrodes for the adsorptive striping voltammetric determination of hesperidin // Electrochim. Acta. 2009. V. 54. № 22. P. 5030. https://doi.org/10.1016/j.electacta.2008.10.056
- Wang W., Gao J., Wang L., Ye B. Electrochemical behavior of naringenin and its sensitive determination based on a single-walled carbon nanotube modified electrode // Anal. Methods. 2015. V. 7. № 20. P. 8847. https://doi.org/10.1039/C5AY01782C
- Yao S., Cai W., Liu L., Liao X., Tao K., Feng F., Yang G. Electrochemical behavior of eriocitrin and highly sensitive determination based on an electrochemically re-duced graphene oxide modified glassy carbon electrode // Anal. Methods. 2016. V. 8. № 18. P. 3722. https://doi.org/10.1039/C6AY00064A
- Wu J., Wang L., Wang Q., Zou L., Ye B. The novel voltammetric method for determination of hesperetin based on a sensitive electrochemical sensor // Talanta. 2016. V. 150. P. 61. https://doi.org/10.1016/j.talanta.2015.12.026
- Beluomini M.A., Stradiotto N.R., Boldrin M.V. Electrosynthesis of three-dimensional nanoporous nickel on screen-printed electrode used for the determination of narirutin in citrus wastewater // Food Chem. 2021. V. 353. Article 129427. https://doi.org/10.1016/j.foodchem.2021.129427
- Beluomini M.A., Stradiotto N.R., Zanoni M.V.B. Simultaneous detection of hesperidin and narirutin in residual water using nanoporous platinum electrosynthesized by alloying-dealloying mechanism // J. Electroanal. Chem. 2022. V. 904. Article 115866. https://doi.org/10.1016/j.jelechem.2021.115866
- Ziyatdinova G., Yakupova E., Davletshin R. Voltammetric determination of hesperidin on the electrode modified with SnO2 nanoparticles and surfactants // Electroanalysis. 2021. V. 33. № 12. P. 2417. https://doi.org/10.1002/elan.202100405
- Sun D., Wang F., Wu K., Chen J., Zhou Y. Electrochemical determination of hesperidin using mesoporous SiO2 modified electrode // Microchim. Acta. 2009. V. 167. № 1. P. 35. https://doi.org/10.1007/s00604-009-0200-0
- Wang L., Wang Q., Sheng K., Li G., Ye B. A new graphene nanocomposite modified electrode as efficient voltammetric sensor for determination of eriocitrin // J. Electroanal. Chem. 2017. V. 785. P. 96. https://doi.org/10.1016/j.jelechem.2016.11.061
- Zhang Y., Liu Z., Zou L., Ye B. A new voltammetry sensor platform for eriocitrin based on CoS2-MoS2-P-DDA-GR nanocomposite // Talanta. 2018. V. 189. P. 345. https://doi.org/10.1016/j.talanta.2018.07.004
- Teradal N.L., Satpati A.K., Seetharamappa J. A facile one-pot hydrothermal synthesis of tin sulfide-decorated reduced graphene oxide nanoribbons and its sensing application for a flavanone naringenin // J. Electroanal. Chem. 2017. V. 797. P. 89. https://doi.org/10.1016/j.jelechem.2017.05.022
- Manasa G., Mascarenhas R.J., Bhakta A.K., Mekhalif Z. MWCNT/Nileblue heterostructured composite electrode for flavanone naringenin quantification in fruit juices // Electroanalysis. 2020. V. 32. № 5. P. 939. https://doi.org/10.1002/elan.201900573
- Manasa G., Mascarenhas R.J., Bhakta A.K., Mekhalif Z. Nano-graphene-platelet/Brilliant-green composite coated carbon paste electrode interface for electrocatalytic oxidation of flavanone hesperidin // Microchem. J. 2021. V. 160. Article 105768. https://doi.org/10.1016/j.microc.2020.105768
- Ziyatdinova G., Yakupova E., Ziganshina E., Budnikov H. First order derivative voltammetry on the in situ surfactant modified electrode for naringin quantification // Electroanalysis. 2019. V. 31. № 11. P. 2130. https://doi.org/10.1002/elan.201900257
- Gao Y., Wu X., Wang H., Lu W., Guo M. Highly sensitive detection of hesperidin using AuNPs/rGO modified glassy carbon electrode // Analyst. 2018. V. 143. № 1. P. 297. https://doi.org/10.1039/C7AN01706E
- Ziyatdinova G., Yakupova E., Guss E., Budnikov H. The selective electrochemical sensing of naringin using electropolymerized ellagic acid film // J. Electrochem. Soc. 2020. V. 167. № 10. Article 107502. https://doi.org/10.1149/1945-7111/ab9280
- Zhupanova A., Guss E., Ziyatdinova G., Budnikov H. Simultaneous voltammetric determination of flavanones using an electrode based on functionalized single-walled carbon nanotubes and polyaluminon // Anal. Lett. 2020. V. 53. № 13. P. 2170. https://doi.org/10.1080/00032719.2020.1732402
- Ma X.-L., Chen R.-Y., Zheng X., Chen X., Chen Z. Preparation and application of naringin sensor based on molecularly imprinting technique // Chinese J. Anal. Chem. 2010. V. 38. № 1. P. 100. https://doi.org/10.3724/SP.J.1096.2010.00100
- Sun B., Hou X., Li D., Gou Y., Hu F., Li W., Shi X. Electrochemical sensing and high selective detection of hesperidin with molecularly imprinted polymer based on ultrafine activated carbon // J. Electrochem. Soc. 2019. V. 166. № 15. P. B1644. https://doi.org/10.1149/2.1141915jes
- Ensafi A.A., Karbalaei S., Heydari–Bafrooei E., Rezaei B. Biosensing of naringin in marketed fruits and juices based on its interaction with DNA // J. Iran. Chem. Soc. 2016. V. 13. № 1. P. 19. https://doi.org/10.1007/s13738-015-0707-8
- Tığ G.A., Bolat E.Ö., Zeybek B., Pekyardımcı Ş. Hesperidin-dsDNA interaction based on electrochemically reduced graphene oxide and poly-(2,6-pyridinedicarboxylic acid) modified glassy carbon electrode // Hacettepe J. Biol. Chem. 2016. V. 44. № 4. P. 487. https://doi.org/10.15671/HJBC.2016.129
- Park S., Song Y.J., Han J.-H., Boo H., Chung T.D. Structural and electrochemical features of 3D nanoporous platinum electrodes // Electrochim. Acta. 2010. V. 55. № 6. P. 2029. https://doi.org/10.1016/j.electacta.2009.11.026
- Ziyatdinova G., Guss E., Yakupova E. Electrochemical sensors based on the electropolymerized natural phenolic antioxidants and their analytical application // Sensors. 2021. V. 21. № 24. Article 8385. https://doi.org/10.3390/s21248385
- Ziyatdinova G., Kozlova E., Budnikov H. Polyquercetin/MWNT-modified electrode for the determination of natural phenolic antioxidants // Electroanalysis. 2017. V. 29. № 11. P. 2610. https://doi.org/10.1002/elan.201700440
- Ziyatdinova G., Kozlova E., Budnikov H. Poly(gallic acid)/MWNT-modified electrode for the selective and sensitive voltammetric determination of quercetin in medicinal herbs // J. Electroanal. Chem. 2018. V. 821. P. 73. https://doi.org/10.1016/j.jelechem.2017.12.071
- Ziyatdinova G., Zhupanova A., Davletshin R. Simultaneous determination of ferulic acid and vanillin in vanilla extracts using voltammetric sensor based on electropolymerized bromocresol purple // Sensors. 2022. V. 22. № 1. Article 288. https://doi.org/10.3390/s22010288
- Forzato C., Vida V., Berti F. Biosensors and sensing systems for rapid analysis of phenolic compounds from plants: a comprehensive review // Biosensors. 2020. V. 10. № 9. Article 105. https://doi.org/10.3390/bios10090105
- Sousa C.S., Lima K.C.M.S., Botelho C.N., Pereira N.M., Fernandes R.N., Silva G.G., Damos F.S., Luz R.C.S. Photoelectrochemical sensor for determination of naringin at low oxidation potential using a modified FTO electrode with cadmium sulfide and titanium dioxide sensitized with chloroprotoporphyrin IX iron(III) // J. Solid State Electrochem. 2020. V. 24. № 8. P. 1715. https://doi.org/10.1007/s10008-020-04568-4
Supplementary files






















