Analytical Capabilities of the Determination of Carbohydrates by Chromatographic and Electrophoretic Methods
- Authors: Kartsova L.A.1, Maliushevska A.V.1, Kolobova E.A.1,2
-
Affiliations:
- St. Petersburg State University
- Nikiforov Russian Center of Emergency and Radiation Medicine, EMERCOM of Russia
- Issue: Vol 78, No 2 (2023)
- Pages: 108-128
- Section: REVIEWS
- Submitted: 14.10.2023
- URL: https://bakhtiniada.ru/0044-4502/article/view/135995
- DOI: https://doi.org/10.31857/S0044450223020044
- EDN: https://elibrary.ru/CDPKAH
- ID: 135995
Cite item
Full Text
Abstract
The review discusses the advantages and limitations of chromatographic and electrophoretic approaches to the determination of neutral carbohydrates in various samples with complex matrices, the possibility of implementing a variety of liquid chromatography and capillary electrophoresis modes (in zone and micellar versions), and their combinations with various derivatization, detection, and sample preparation techniques. Conditions for the indirect detection of sugars upon the introduction of various absorbing additives into a mobile phase or supporting electrolyte, ligand-exchange capillary electrophoresis, and intracapillary complexation and the determination of carbohydrates by anion-exchange and hydrophilic chromatography are discussed.
About the authors
L. A. Kartsova
St. Petersburg State University
Email: malushevskaa@gmail.com
198504, St. Petersburg, Russia
A. V. Maliushevska
St. Petersburg State University
Email: malushevskaa@gmail.com
198504, St. Petersburg, Russia
E. A. Kolobova
St. Petersburg State University; Nikiforov Russian Center of Emergency and Radiation Medicine, EMERCOM of Russia
Author for correspondence.
Email: malushevskaa@gmail.com
198504, St. Petersburg, Russia; 194044, St. Petersburg, Russia
References
- Wiecinska P., Zurawska A., Falkowski P., Jeong D.Y., Szafran M. Sweet ceramics: How saccharide-based compounds have changed colloidal processing of ceramic materials // J. Korean Ceram. Soc. 2020. V. 57. № 3. P. 231. https://doi.org/10.1007/S43207-020-00036-X
- Gerwig G.J. The Art of Carbohydrate Analysis. Groningen: Springer, 2021. https://doi.org/10.1007/978-3-030-77791-3
- Varki A. Biological roles of oligosaccharides: All of the theories are correct // Glycobiology. 1993. V. 3. № 2. P. 97. https://doi.org/10.1093/GLYCOB/3.2.97
- Varki A. Biological roles of glycans // Glycobiology. 2017. V. 27. № 1. P. 3. https://doi.org/10.1093/GLYCOB/CWW086
- Gandhi N.S., Mancera R.L. The Structure of glycosaminoglycans and their interactions with proteins // Chem. Biol. Drug Des. 2008. V. 72. № 6. P. 455. https://doi.org/10.1111/J.1747-0285.2008.00741.X
- Cortés-Sánchez A., Hernández-Sánchez H., Jaramillo-Flores M.E. Biological activity of glycolipids produced by microorganisms: New trends and possible therapeutic alternatives // Microbiol. Res. 2013. V. 168. № 1. P. 22. https://doi.org/10.1016/j.micres.2012.07.002
- Niaz K., Khan F., Shah M.A. Analysis of carbohydrates (monosaccharides, polysaccharides) / Recent Advances in Natural Products Analysis / Eds. Nabavi S.M., Saeedi M., Nabavi S.F., Silva A.S. Amsterdam: Elsevier, 2020. P. 621. https://doi.org/10.1016/B978-0-12-816455-6.00018-4
- Geijtenbeek T., Torensma R., van Vliet S., van Duijnhoven G., Adema G., Kooyk Y., Figdor C. Identification of DC-SIGN, a novel dendritic cell–specific ICAM-3 receptor that supports primary immune responses // Cell. 2000. V. 100. P. 575. https://doi.org/10.1016/S0092-8674(00)80693-5
- Kapaev R., Egorova K., Toukach P. Carbohydrate structure generalization scheme for database-driven simulation of experimental observables, such as NMR chemical shifts // J. Chem. Inf. Model. 2014. V. 54. № 9. P. 2594. https://doi.org/10.1021/ci500267u
- Varki A., Freeze H.H., Manzi A.E. Preparation and analysis of glycoconjugates / Current Protocols in Molecular Biology. Hoboken: John Wiley & Sons, Inc, 2009. P. 1. https://doi.org/10.1002/0471142727.mb1700s88
- Карцова Л.А., Бессонова Е.А., Сомова В.Д. Гидрофильная хроматография // Журн. аналит. химии. 2019. Т. 74. № 5. P. 323. (Kartsova L.A., Bessonova E.A., and Somova V. D. Hydrophilic interaction chromatography // J. Anal. Chem. 2019. V. 74. № 5. P. 415. https://doi.org/10.1134/S106193481905005810.1134/S1061934819050058https://doi.org/10.1134/S0044450219050050
- Nagy G., Peng T., Pohl N.L.B. Recent liquid chromatographic approaches and developments for the separation and purification of carbohydrates // Anal. Methods UK. 2017. V. 9. № 24. P. 3579. https://doi.org/10.1039/c7ay01094j
- Ikegami T., Horie K., Saad N., Hosoya K., Fiehn O., Tanaka N. Highly efficient analysis of underivatized carbohydrates using monolithic-silica-based capillary hydrophilic interaction (HILIC) HPLC // Anal. Bioanal. Chem. 2008. V. 391. № 7. P. 2533. https://doi.org/10.1007/s00216-008-2060-6
- Tang K., Liang L., Cai Y., Mou S. Determination of sugars and alditols in tobacco with high-performance anion-exchange chromatography // J. Sep. Sci. 2007. V. 30. P. 2160. https://doi.org/10.1002/jssc.200700044
- Захарова А.М., Гринштейн И.Л., Карцова Л.А. Определение углеводов и подсластителей в пищевых продуктах и биологически активных добавках методом высокоэффективной жидкостной хроматографии // Журн. аналит. химии. 2013. V. 68. № 12. P. 1208. (Zakharova A.M., Grinshtein I.L., and Kartsova L.A. Determination of sugars using ligand-exchange capillary electrophoresis // J. Anal. Chem. 2010. V. 68. № 12. P. 1081. https://doi.org/10.1134/S106193481310012210.1134/S1061934813100122)https://doi.org/10.7868/s0044450213100149
- Fu Q., Liang T., Zhang X., Du Y., Guo Z., Liang X. Carbohydrate separation by hydrophilic interaction liquid chromatography on a “click” maltose column // Carbohydr. Res. 2010. V. 345. № 18. P. 2690. https://doi.org/10.1016/j.carres.2010.09.033
- Fu Q., Liang T., Li Z., Xu X., Ke Y., Jin Y., Liang X. Separation of carbohydrates using hydrophilic interaction liquid chromatography // Carbohydr. Res. 2013. V. 379. P. 13. https://doi.org/10.1016/J.CARRES.2013.06.006
- Liu J., Li J., Yi D., Liu Y., Liu R., Xue Y., Huang Q., Liu S., Jiang Y. Non-derivatization strategy for the comprehensive characterization of neutral monosaccharide isomers and neutral disaccharide isomers using hydrophilic interaction liquid chromatography coupled to quadrupole/time-of-flight mass spectrometry // J. Chromatogr. B: Anal. Technol. Biomed. Life Sci. 2021. V. 1185. https://doi.org/10.1016/j.jchromb.2021.122972
- Antonio C., Larson T., Gilday A., Graham I., Bergström E., Thomas-Oates J. Hydrophilic interaction chromatography/electrospray mass spectrometry analysis of carbohydrate-related metabolites from Arabidopsis thaliana leaf tissue // Rapid Commun. Mass Spectrom. 2008. V. 22. № 9. P. 1399. https://doi.org/10.1002/rcm.3519
- Pismennõi D., Kiritsenko V., Marhivka J., Küt M.L., Vilu R. Development and optimisation of HILIC-LC-MS method for determination of carbohydrates in fermentation samples // Molecules. 2021. V. 26. № 12. P. 3669. https://doi.org/10.3390/molecules26123669
- Gervasoni J., Primiano A., Graziani C., Scaldaferri F., Gasbarrini A., Urbani A., Persichilli S. Validation of UPLC-MS/MS Method for determination of urinary lactulose/mannitol // Molecules. 2018. V. 23. № 10. P. 2705. https://doi.org/10.3390/molecules23102705
- Grootjans J. Non-invasive assessment of barrier integrity and function of the human gut // World J. Gastrointest. Surg. 2010. V. 2. № 3. P. 61. https://doi.org/10.4240/wjgs.v2.i3.61
- Vismeh R., Humpula J.F., Chundawat S.P.S., Balan V., Dale B.E., Jones A.D. Profiling of soluble neutral oligosaccharides from treated biomass using solid phase extraction and LC-TOF MS // Carbohydr. Polym. 2013. V. 94. № 2. P. 791. https://doi.org/10.1016/j.carbpol.2013.02.005
- Ikegami T., Horie K., Saad N., Hosoya K., Fiehn O., Tanaka N. Highly efficient analysis of underivatized carbohydrates using monolithic-silica-based capillary hydrophilic interaction (HILIC) HPLC // Anal. Bioanal. Chem. 2008. V. 391. № 7. P. 2533. https://doi.org/10.1007/s00216-008-2060-6
- Bi W., Zhou J., Row K.H. Separation of xylose and glucose on different silica-confined ionic liquid stationary phases // Anal. Chim. Acta. 2010. V. 677. № 2. P. 162. https://doi.org/10.1016/j.aca.2010.08.004
- Tian M., Bi W., Row K.H. Separation of monosaccharides by solid-phase extraction with ionic liquid-modified microporous polymers // J. Sep. Sci. 2011. V. 34. № 22. P. 3151. https://doi.org/10.1002/jssc.201100546
- Chikurova N.Yu., Shemiakina O., Shpigun O.A., Chernobrovkina A.V. Multicomponent Ugi reaction as a tool for fast and easy preparation of stationary phases for hydrophilic interaction liquid chromatography. Part I: The influence of attachment and spacing of the functional ligand obtained via the Ugi reaction // J. Chromatogr. A. 2022. V. 1666. Article 462804. https://doi.org/10.1016/j.chroma.2022.462804
- Maier M., Reusch D., Bruggink C., Bulau P., Wuhrer M., Mølhøj M. Applying mini-bore HPAEC-MS/MS for the characterization and quantification of Fc N-glycans from heterogeneously glycosylated IgGs // J. Chromatogr. B. 2016. V. 1033–1034. P. 342. https://doi.org/10.1016/J.JCHROMB.2016.08.001
- Corradini C., Cavazza A., Bignardi C. High-performance anion-exchange chromatography coupled with pulsed electrochemical detection as a powerful tool to evaluate carbohydrates of food interest: Principles and applications // Int. J. Carbohydr. Chem. 2012. V. 2012. P. 1. https://doi.org/10.1155/2012/487564
- Tommaso R., Cataldi I., Margiotta G., Iasi L., di Chio B. Determination of sugar compounds in olive plant extracts by anion-exchange chromatography with pulsed amperometric detection // Anal. Chem. 2000. V. 72. P. 3902. https://doi.org/10.1021/ac000266o
- Sequeira I.R., Kruger M.C., Hurst R.D., Lentle R.G. A simple, robust, and convenient HPLC assay for urinary lactulose and mannitol in the dual sugar absorption test // Molecules. 2022. V. 27. № 9. P. 2677. https://doi.org/10.3390/molecules27092677
- de Souza M.F., Pereira D.S., Freitas S.P., Bon E., Rodrigues M.A. Neutral sugars determination in Chlorella: Use of a one-step dilute sulfuric acid hydrolysis with reduced sample size followed by HPAEC analysis // Algal Res. 2017. V. 24. P. 130. https://doi.org/10.1016/J.ALGAL.2017.03.019
- Bruggink C., Maurer R., Herrmann H., Cavalli S., Hoefler F. Analysis of carbohydrates by anion exchange chromatography and mass spectrometry // J. Chromatogr. A. 2005. V. 1085. № 1. P. 104. https://doi.org/10.1016/j.chroma.2005.03.108
- Schmid T., Baumann B., Himmelsbach M., Klampfl C.W., Buchberger W. Analysis of saccharides in beverages by HPLC with direct UV detection // Anal. Bioanal. Chem. 2016. V. 408. № 7. P. 1871. https://doi.org/10.1007/s00216-015-9290-1
- Gonzalez N.M., Fitch A., Al-Bazi J. Development of a RP-HPLC method for determination of glucose in Shewanella oneidensis cultures utilizing 1-phenyl-3-methyl-5-pyrazolone derivatization // PLoS ONE. 2020. V. 15. № 3. Article e0229990. https://doi.org/10.1371/journal.pone.0229990
- Bai W., Fang X., Zhao W., Huang S., Zhang H., Qian M. Determination of oligosaccharides and monosaccharides in Hakka rice wine by precolumn derivation high-performance liquid chromatography // J. Food Drug Anal. 2015. V. 23. № 4. P. 645. https://doi.org/10.1016/J.JFDA.2015.04.011
- Rakete S., Glomb M.A. A novel approach for the quantitation of carbohydrates in mash, wort, and beer with RP-HPLC using 1-naphthylamine for precolumn derivatization // J. Agric. Food Chem. 2013. V. 61. № 16. P. 3828. https://doi.org/10.1021/JF400463R
- Wu W., Hamase K., Kiguchi M., Yamamoto K., Zaitsu K. Reversed-phase HPLC of monosaccharides in glycoproteins derivatized with aminopyrazine with fluorescence detection // Anal Sci. 2000. V. 16. № 9. P. 919. https://doi.org/10.2116/analsci.16.919
- Nakamura A., Hatanaka C., Nagamatsu Y. Ultraviolet spectrometric determination of neutral monosaccharides by HPLC with ethanolamine // Biosci. Biotechnol. Biochem. 2000. V. 64. № 1. P. 178. https://doi.org/10.1271/bbb.64.178
- Melmer M., Stangler T., Premstaller A., Lindner W. Comparison of hydrophilic-interaction, reversed-phase and porous graphitic carbon chromatography for glycan analysis // J. Chromatogr. A. 2011. V. 1218. № 1. P. 118. https://doi.org/10.1016/J.CHROMA.2010.10.122
- Templeton D.W., Quinn M., van Wychen S., Hyman D., Laurens L.M.L. Separation and quantification of microalgal carbohydrates // J. Chromatogr. A. 2012. V. 1270. P. 225. https://doi.org/10.1016/j.chroma.2012.10.034
- Stoll D.R., Carr P.W. Two-dimensional liquid chromatography: A state of the art tutorial // Anal. Chem. 2017. V. 89. № 1. P. 519. https://doi.org/10.1021/ACS.ANALCHEM.6B03506
- Chen L., Zhu W., Yan N., Guo Y., Yi L., Ouyang Y., Zhang Z. Analysis of heparinase derived LMWH products using a MHC 2D LC system linked to Q-TOF MS // J. Pharm. Biomed. Anal. 2022. V. 212. Article 114616. https://doi.org/10.1016/J.JPBA.2022.114616
- Chen L., Ouyang Y., Yan N., Guo Y., Yi L., Sun Y., Liu D., Zhang Z. Comprehensive analysis of heparinase derived heparin-products using two-dimensional liquid chromatography coupled with mass spectrometry // J. Chromatogr. A. 2021. V. 1643. Article 462049. https://doi.org/10.1016/J.CHROMA.2021.462049
- Ruiz-Matute A.I., Brokl M., Soria A.C., Sanz M.L., Martínez-Castro I. Gas chromatographic–mass spectrometric characterisation of tri- and tetrasaccharides in honey // Food Chem. 2010. V. 120. № 2. P. 637. https://doi.org/10.1016/J.FOODCHEM.2009.10.050
- Ruiz-Matute A.I., Hernández-Hernández O., Rodríguez-Sánchez S., Sanz M.L., Martínez-Castro I. Derivatization of carbohydrates for GC and GC-MS analyses // J. Chromatogr. B: Anal. Technol. Biomed. Life Sci. 2011. V. 879. № 17–18. P. 1226. https://doi.org/10.1016/J.JCHROMB.2010.11.013
- Wang H., Geppert H., Fischer T., Wieprecht W., Möller D. Determination of sucrose in honey with derivatization/solid-phase microextraction and gas-chromatography/mass spectrometry // J. Chromatogr. Sci. 2015. V. 53. № 9. P. 1427. https://doi.org/10.1093/chromsci/bmv044
- Morvai-Vitányi M., Molnár-Perl I., Knausz D., Sass P. Simultaneous GC derivatization and quantification of acids and sugars // Chromatographia. 1993. V. 36. № 1. P. 204. https://doi.org/10.1007/BF02263864
- Xia Y.G., Sun H.M., Wang T.L., Liang J., Yang B.Y., Kuang H.X. A modified GC-MS analytical procedure for separation and detection of multiple classes of carbohydrates // Molecules. 2018. V. 23. № 6. P. 1284. https://doi.org/10.3390/MOLECULES23061284
- Silva F.O. Microwave-assisted derivatization of glucose and galactose for gas chromatographic determination in human plasma // Clin. Chem. 2006. V. 52. № 2. P. 334. https://doi.org/10.1373/CLINCHEM.2005.062109
- Li Z., Wang J., Huang C., Zhang S., Yang J., Jiang A., Zhou R., Pan D. Gas chromatography/time-of-flight mass spectrometry-based metabonomics of hepatocarcinoma in rats with lung metastasis: Elucidation of the metabolic characteristics of hepatocarcinoma at formation and metastasis // Rapid Commun. Mass Spectrom. 2010. V. 24. № 18. P. 2765. https://doi.org/10.1002/RCM.4703
- Rojas-Escudero E., Alarcón-Jiménez A.L., Elizalde-Galván P., Rojo-Callejas F. Optimization of carbohydrate silylation for gas chromatography // J. Chromatogr. A. 2004. V. 1027. P. 117. https://doi.org/10.1016/j.chroma.2003.10.131
- Zarate E., Boyle V., Rupprecht U., Green S., Villas-Boas S.G., Baker P., Pinu F.R. Fully automated trimethylsilyl (TMS) derivatisation protocol for metabolite profiling by GC-MS // Metabolites. 2017. V. 7. № 1. P. 1. https://doi.org/10.3390/METABO7010001
- Becker M., Liebner F., Rosenau T., Potthast A. Ethoximation-silylation approach for mono- and disaccharide analysis and characterization of their identification parameters by GC/MS // Talanta. 2013. V. 115. P. 642. https://doi.org/10.1016/j.talanta.2013.05.052
- Xia Y.G., Sun H.M., Wang T.L., Liang J., Yang B.Y., Kuang H.X. A modified GC-MS analytical procedure for separation and detection of multiple classes of carbohydrates // Mol. A J. Synth. Chem. Nat. Prod. Chem. 2018. V. 23. № 6. P. 1284. https://doi.org/10.3390/MOLECULES23061284
- Weber P.L., Lunte S.M. Capillary electrophoresis with pulsed amperometric detection of carbohydrates and glycopeptides // Electrophoresis. 1996. V. 17. № 2. P. 302. https://doi.org/10.1002/elps.1150170204
- Carvalho A., da Silva F.J.A., do Lago C.L. Determination of mono- and disaccharides by capillary electrophoresis with contactless conductivity detection // Electrophoresis. 2003. V. 24. № 12–13. P. 2138. https://doi.org/10.1002/elps.200305408
- Klampfl C.W., Buchberger W. Determination of carbohydrates by capillary electrophoresis with electrospray-mass spectrometric detection // Electrophoresis. 2001. V. 22. № 13. P. 2737. https://doi.org/10.1002/15222683(200108)22:13<2737::AID- ELPS2737>3.0.CO;2-Z
- Schmid T., Himmelsbach M., Oliver J.D., Gaborieau M., Castignolles P., Buchberger W. Investigation of photochemical reactions of saccharides during direct ultraviolet absorbance detection in capillary electrophoresis // J. Chromatogr. A. 2015. V. 1388. P. 259. https://doi.org/10.1016/J.CHROMA.2015.02.030
- Schmid T., Himmelsbach M., Buchberger W. Investigation of photochemical reaction products of glucose formed during direct UV detection in CE // Electrophoresis. 2016. V. 37. № 7–8. P. 947. https://doi.org/10.1002/elps.201500283
- Sarazin C., Delaunay N., Costanza C.V. Eudes, Mallet J.M., Gareil P. New avenue for mid-UV-range detection of underivatized carbohydrates and amino acids in capillary electrophoresis // Anal. Chem. 2011. V. 83. № 19. P. 7381. https://doi.org/10.1021/ac2012834
- Rovio S., Yli-Kauhaluoma J., Sirén H. Determination of neutral carbohydrates by CZE with direct UV detection // Electrophoresis. 2007. V. 28. № 17. P. 3129. https://doi.org/10.1002/elps.200600783
- Rovio S., Simolin H., Koljonen K., Sirén H. Determination of monosaccharide composition in plant fiber materials by capillary zone electrophoresis // J. Chromatogr. A. 2008. V. 1185. № 1. P. 139. https://doi.org/10.1016/J.CHROMA.2008.01.031
- Alinat E., Jemmali S., Delaunay N., Archer X., Gareil P. Analysis of underivatized cellodextrin oligosaccharides by capillary electrophoresis with direct photochemically induced UV-detection // Electrophoresis. 2015. V. 36. № 14. P. 1555. https://doi.org/10.1002/elps.201400605
- Kaijanen L., Metsämuuronen S., Reinikainen S.P., Pietarinen S., Jernström E. Profiling of water-soluble carbohydrates in pine and spruce extracts by capillary zone electrophoresis with direct UV detection // Wood Sci. Technol. 2015. V. 49. № 4. P. 795. https://doi.org/10.1007/s00226-015-0729-5
- Zhao L., Chanon A.M., Chattopadhyay N., Dami I.E., Blakeslee J.J. Quantification of carbohydrates in grape tissues using capillary zone electrophoresis // Front. Plant. Sci. 2016. V. 7. P. 818. https://doi.org/10.3389/fpls.2016.00818
- Lagane B., Treilhou M., Couderc F. Capillary electrophoresis: Theory, teaching approach and separation of oligosaccharides using indirect UV detection // Biochem. Mol. Biol. Educ. 2000. V. 28. № 5. P. 251. https://doi.org/10.1016/S1470-8175(00)00031-X
- Xu X., Kok W.T., Poppe H. Sensitive determination of sugars by capillary zone electrophoresis with indirect UV detection under highly alkaline conditions // J. Chromatogr. A. 1995. V. 716. № 1–2. P. 231. https://doi.org/10.1016/0021-9673(95)00552-X
- Zemann A., Nguyen D.T., Bonn G. Fast separation of underivatized carbohydrates by coelectroosmotic capillary electrophoresis // Electrophoresis. 1997. V. 18. № 7. P. 1142. https://doi.org/10.1002/ELPS.1150180720
- Zemann A.J. Sub-minute separations of organic and inorganic anions with co-electroosmotic capillary electrophoresis // J. Chromatogr. A. 1997. V. 787. № 1–2. P. 243. https://doi.org/10.1016/S0021-9673(97)00645-6
- Lee Y.H., Lin T.I., Luh T.Y. Determination of carbohydrates by high-performance capillary electrophoresis with indirect absorbance detection // J. Chromatogr. B: Biomed. Sci. Appl. 1996. V. 681. № 1. P. 87. https://doi.org/10.1016/0378-4347(95)00503-X
- Ramírez S.C., Carretero A.S., Blanco C.C., de Castro M.H.B., Gutiérrez A.F. Indirect determination of carbohydrates in wort samples and dietetic products by capillary electrophoresis // J. Sci. Food Agric. 2005. V. 85. № 3. P. 517. https://doi.org/10.1002/JSFA.2010
- Warren C.R., Adams M.A. Capillary electrophoresis for the determination of major amino acids and sugars in foliage: Application to the nitrogen nutrition of sclerophyllous species // J. Exp. Bot. 2000. V. 51. № 347. P. 1147. https://doi.org/10.1093/JEXBOT/51.347.1147
- Stroka J., Dossi N., Anklam E. Determination of the artificial sweetener Sucralose® by capillary electrophoresis // Food Addit. Contam. 2003. V. 20. № 6. P. 524. https://doi.org/10.1080/0265203031000070803
- Soga T., Heiger D.N. Simultaneous determination of monosaccharides in glycoproteins by capillary electrophoresis // Anal. Biochem. 1998. V. 261. № 1. P. 73. https://doi.org/10.1006/abio.1998.2727
- Soga T., Serwe M. Determination of carbohydrates in food samples by capillary electrophoresis with indirect UV detection // Food Chem. 2000. V. 69. № 3. P. 339. https://doi.org/10.1016/S0308-8146(00)00044-3
- Soga T., Ross G.A. Simultaneous determination of inorganic anions, organic acids, amino acids and carbohydrates by capillary electrophoresis // J. Chromatogr. A. 1999. V. 837. № 1–2. P. 231. https://doi.org/10.1016/S0021-9673(99)00092-8
- Lu B., Westerlund D. Indirect UV detection of carbohydrates in capillary zone electrophoresis by using tryptophan as a marker // Electrophoresis. 1996. V. 17. № 2. P. 325. https://doi.org/10.1002/ELPS.1150170207
- Алексеева А.В., Карцова Л.А., Казачищева Н.В. Определение сахаров методом лигандообменного капиллярного электрофореза // Журн. аналит. химии. 2010. Т. 65. № 2. P. 205. (Alekseeva A.V., Kartsova L.A., Kazachishcheva N.V. Determination of sugars using ligand-exchange capillary electrophoresis // J. Anal. Chem. 2010. V. 65. № 2. P. 202.)https://doi.org/10.1134/S1061934810020176
- Gürel A., Hızal J., Öztekin N., Erim F.B. CE determination of carbohydrates using a dipeptide as separation electrolyte // Chromatographia. 2006. V. 64. № 5–6. P. 321. https://doi.org/10.1365/s10337-006-0032-6
- Vaher M., Koel M., Kazarjan J., Kaljurand M. Capillary electrophoretic analysis of neutral carbohydrates using ionic liquids as background electrolytes // Electrophoresis. 2011. V. 32. № 9. P. 1068. https://doi.org/10.1002/elps.201000575
- Hoffstetter-Kuhn S., Paulus A., Gassmann E., Widmer M.H. Influence of borate complexation on the electrophoretic behavior of carbohydrates in capillary electrophoresis // Anal. Chem. 1991. V. 63. № 15. P. 1541. https://doi.org/10.1021/AC00015A009/ASSET/AC00015A009.FP.PNG_V03
- Schmitt-Kopplin P., Fischer K., Freitag D., Kettrupgsf A. Capillary electrophoresis for the simultaneous separation of selected carboxylated carbohydrates and their related 1,4-lactones // J. Chromatogr. A. 1998. V. 807. № 1. P. 89. https://doi.org/10.1016/S0021-9673(98)00056-9
- Angyal S.J. Complexing of carbohydrates with copper ions: A reappraisal // Carbohydr. Res. 1990. V. 200. P. 181. https://doi.org/10.1016/0008-6215(90)84189-2
- Алексеева А.В., Карцова Л.А. Возможности лигандообменного капиллярного электрофореза при определении биологически активных веществ // Журн. аналит. химии. 2011. Т. 66. № 7. P. 764. (Alekseeva A.V., Kartsova L.A. Potencies of ligand-exchange capillary electrophoresis in the determination of biologically active compounds // J. Anal. Chem. 2011. V. 66. № 7. P. 651.)https://doi.org/10.1134/S1061934811070021
- Bazzanella A., Bachmann K. Separation and direct UV detection of sugars by capillary electrophoresis using chelation of copper(II) // J. Chromatogr. A. 1998. V. 799. № 1–2. P. 283. https://doi.org/10.1016/S0021-9673(97)01039-X
- Алексеева А.В., Карцова Л.А. Лигандообменный капиллярный электрофорез // Журн. аналит. химии. 2011. Т. 66. № 7. P. 677. (Kartsova L.A., Alekseeva A.V. Ligand-exchange capillary electrophoresis // J. Anal. Chem. 2011. V. 66. № 7. P. 563.)https://doi.org/10.1134/S1061934811050066
- Čokrtová K., Mareš V., Křížek T. On-capillary fluorescent labeling of saccharides for capillary electrophoresis // Electrophoresis. 2022. https://doi.org/10.1002/elps.202200136
- Wang X.Y., Chen Y., Li Z., Wang Z. Analysis of carbohydrates by capillary zone electrophoresis with on-capillary derivatization // J. Liq. Chromatogr. Relat. Technol. 2002. V. 25. № 4. P. 589. https://doi.org/10.1081/JLC-120008813
- Taga A., Suzuki S., Honda S. Capillary electrophoretic analysis of carbohydrates derivatized by in-capillary condensation with 1-phenyl-3-methyl-5-pyrazolone // J. Chromatogr. A. 2001. V. 911. № 2. P. 259. https://doi.org/10.1016/S0021-9673(01)00516-7
- Wang X.Y., Chen Y., Li Z., Wang Z. Analysis of carbohydrates by capillary zone electrophoresis with on-capillary derivatization // J. Liquid Chromatogr. Relat. Technol. 2002. V. 25. I. 4. P. 589. https://doi.org/10.1081/JLC-120008813
- Maeda E., Kataoka M., Hino M., Kajimoto K., Kaji N., Tokeshi M., Kido J., Shinohara Y., Baba Y. Determination of human blood glucose levels using microchip electrophoresis // Electrophoresis. 2007. V. 28. P. 2927. https://doi.org/10.1002/elps.200600795
- Rovio S., Yli-Kauhaluoma J., Sirén H. Determination of neutral carbohydrates by CZE with direct UV detection // Electrophoresis. 2007. V. 28. № 17. P. 3129. https://doi.org/10.1002/elps.200600783
- Schwaiger H., Oefner P.J., Huber C., Grill E., Bonn G.K. Capillary zone electrophoresis and micellar electrokinetic chromatography of 4-aminobenzonitrile carbohydrate derivatives // Electrophoresis. 1994. V. 15. № 7. P. 941. https://doi.org/10.1002/ELPS.11501501138
- Andersen K.E., Bjergegaard C., Sørensen H. Analysis of reducing carbohydrates by reductive tryptamine derivatization prior to micellar electrokinetic capillary chromatography // J. Agric. Food Chem. 2003. V. 51. № 25. P. 7234. https://doi.org/10.1021/jf030329e
- Jager A.V., Tonin F.G., Tavares M.F.M. Comparative evaluation of extraction procedures and method validation for determination of carbohydrates in cereals and dairy products by capillary electrophoresis // J. Sep. Sci. 2007. V. 30. P. 586. https://doi.org/10.1002/jssc.200600370
- Soria A.C., Brokl M., Sanz M.L., Martínez-Castro I. Sample preparation for the determination of carbohydrates in food and beverages / Comprehensive Sampling and Sample Preparation. V. 4 / Ed. Pawliszyn J. Amsterdam: Elsevier, 2012. P. 213. https://doi.org/10.1016/B978-0-12-381373-2.10135-8
- Sanz M.L., Martínez-Castro I. Recent developments in sample preparation for chromatographic analysis of carbohydrates // J. Chromatogr. A. 2007. V. 1153. № 1–2. P. 74. https://doi.org/10.1016/J.CHROMA.2007.01.028
- Бирюлин С.И., Посокина Н.Е., Тришканева М.В. Выделение углеводов из растительного сырья и их идентификация с применением капиллярного электрофореза // Овощи России. 2019. Т. 5. С. 84. https://doi.org/10.18619/2072-9146-2019-5-84-87
- Norikoshi R., Imanishi H., Ichimura K. A simple and rapid extraction method of carbohydrates from petals or sepals of four floricultural plants for determination of their content // J. Japan. Soc. Hort. Sci. 2008. V. 77. № 3. P. 289.
- Wanek W., Heintel S., Richter A. Preparation of starch and other carbon fractions from higher plant leaves for stable carbon isotope analysis // Rapid Commun. Mass Spectrom. 2001. V. 15. № 14. P. 1136. https://doi.org/10.1002/RCM.353
- Hassan E.S.R.E., Mutelet F., Moïse J.C. From the dissolution to the extraction of carbohydrates using ionic liquids // RSC Adv. 2013. V. 3. № 43. P. 20219. https://doi.org/10.1039/C3RA42640H
- Fishman M.L., Chau H.K. Cooke P.H., Yadav M.P., Hotchkiss A.T. Physico-chemical characterization of alkaline soluble polysaccharides from sugar beet pulp // Food Hydrocoll. 2009. V. 23. № 6. P. 1554. https://doi.org/10.1016/J.FOODHYD.2008.10.015
- Montañés F., Fornari T., Stateva R.P., Olano A., Ibáñez E. Solubility of carbohydrates in supercritical carbon dioxide with (ethanol + water) cosolvent // J. Supercrit. Fluids. 2009. V. 49. № 1. P. 16. https://doi.org/10.1016/J.SUPFLU.2008.11.014
- Montañés F., Olano A., Reglero G., Ibáñez E., Fornari T. Supercritical technology as an alternative to fractionate prebiotic galactooligosaccharides // Sep. Purif. Technol. 2009. V. 66. № 2. P. 383. https://doi.org/10.1016/J.SEPPUR.2008.12.006
- Guan J., Yang F.Q., Li S.P. Evaluation of carbohydrates in natural and cultured Cordyceps by pressurized liquid extraction and gas chromatography coupled with mass spectrometry // Molecules. 2010. V. 15. № 6. P. 4227. https://doi.org/10.3390/molecules15064227
- Cai K., Hu D., Lei B., Zhao H., Pan W., Song B. Determination of carbohydrates in tobacco by pressurized liquid extraction combined with a novel ultrasound-assisted dispersive liquid-liquid microextraction method // Anal. Chim. Acta. 2015. V. 882. P. 90. https://doi.org/10.1016/J.ACA.2015.03.013
- Ruiz-Matute A.I., Ramos L., Martínez-Castro I., Sanz M.L. Fractionation of honey carbohydrates using pressurized liquid extraction with activated charcoal // J. Agric. Food Chem. 2008. V. 56. № 18. P. 8309. https://doi.org/10.1021/JF8014552
- Al-Suod H., Ratiu I.A., Górecki R., Buszewski B. Pressurized liquid extraction of cyclitols and sugars: Optimization of extraction parameters and selective separation // J. Sep. Sci. 2019. V. 42. № 6. P. 1265. https://doi.org/10.1002/JSSC.201801269
- de Villiers A., Lynen F., Crouch A., Sandra P. Development of a solid-phase extraction procedure for the simultaneous determination of polyphenols, organic acids and sugars in wine // Chromatographia. 2004. V. 59. № 7–8. P. 403. https://doi.org/10.1365/S10337-004-0204-1
- Megherbi M., Herbreteau B., Faure R., Dessalces G., Grenier-Loustalot M.F. Solid phase extraction of oligo- and polysaccharides; Application to maltodextrins and honey qualitative analysis // J. Liq. Chromatogr. Relat. Technol. 2008. V. 31. № 7. P. 1033. https://doi.org/10.1080/10826070801924915
- Barnes J., Tian L., Loftis J., Hiznay J., Comhair S., Lauer M., Dweik R. Isolation and analysis of sugar nucleotides using solid phase extraction and fluorophore assisted carbohydrate electrophoresis // MethodsX. 2016. V. 3. P. 251. https://doi.org/10.1016/J.MEX.2016.03.010
- Morales-Cid G., Simonet B.M., Cárdenas S., Valcárcel M. On-capillary sample clean up method for the electrophoretic determination of carbohydrates in juice samples // Electrophoresis. 2007. V. 28. P. 1557. https://doi.org/10.1002/elps.200600518
- Hernández O., Ruiz-Matute A.I., Olano A., Moreno F.J., Sanz M.L. Comparison of fractionation techniques to obtain prebiotic galactooligosaccharides // Int. Dairy J. 2009. V. 19. № 9. P. 531. https://doi.org/10.1016/J.IDAIRYJ.2009.03.002
- Ruiz-Matute A.I., Soria A.C., Martínez-Castro I., Sanz M.L. A new methodology based on GC-MS to detect honey adulteration with commercial syrups // J. Agric. Food Chem. 2007. V. 55. № 18. P. 7264. https://doi.org/10.1021/JF070559J
- Amelung W., Cheshire M.V., Guggenberger G. Determination of neutral and acidic sugars in soil by capillary gas-liquid chromatography after trifluoroacetic acid hydrolysis // Soil Biol. Biochem. 1996. V. 28. № 12. P. 1631. https://doi.org/10.1016/S0038-0717(96)00248-9
- Santos S.M., Duarte A.C., Esteves V.I. Development and application of capillary electrophoresis based method for the assessment of monosaccharide in soil using acid hydrolysis // Talanta. 2007. V. 72. P. 165. https://doi.org/10.1016/j.talanta.2006.10.009
- Xiao W., Chen X., Zhang Y., Qu T., Han L. Product analysis for microwave-assisted methanolysis of lignocellulose // Energy and Fuels. 2016. V. 30. № 10. P. 8246. https://doi.org/10.1021/ACS.ENERGYFUELS.6B01186
- Arnous A., Meyer A.S. Quantitative prediction of cell wall polysaccharide composition in grape (Vitis vinifera L.) and apple (Malus domestica) skins from acid hydrolysis monosaccharide profiles // J. Agric. Food Chem. 2009. V. 57. № 9. P. 3611. https://doi.org/10.1021/JF900780R
- Olennikov D.N., Rokhin A.V., Tankhaeva L.M. Lamiaceae carbohydrates. V. Structure of glucoarabinogalactan from Scutellaria baicalensis // Chem. Nat. Compd. 2008. V. 44. № 5. P. 560. https://doi.org/10.1007/S10600-008-9148-2
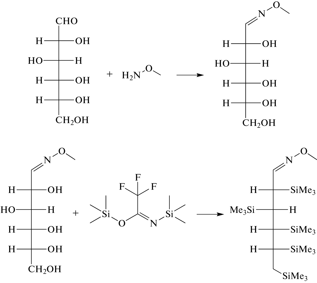
- Harvey D.J. Derivatization of carbohydrates for analysis by chromatography; electrophoresis and mass spectrometry // J. Chromatogr. B. 2011. V. 879. P. 1196. https://doi.org/10.1016/j.jchromb.2010.11.010
- Yu R.B., Dalman N.A.V., Wuethrich A., Quirino J.P. Derivatization of carbohydrates for analysis by liquid chromatography and capillary electrophoresis / Carbohydrate Analysis by Modern Liquid Phase Separation Techniques / Ed. El Rassi Z. Amsterdam: Elsevier, 2021. P. 1. https://doi.org/10.1016/B978-0-12-821447-3.00019-6
- Campa C., Rossi M. Capillary electrophoresis of neutral carbohydrates mono-, oligosaccharides, and glycosides / Capillary Electrophoresis / Ed. Schmitt-Kopplin P. Groningen: Springer, 2008. P. 247. https://doi.org/10.1007/978-1-59745-376-9_11
- Dupont A.L., Egasse C., Morin A., Vasseur F. Comprehensive characterisation of cellulose- and lignocellulose-degradation products in aged papers: Capillary zone electrophoresis of low-molar mass organic acids, carbohydrates, and aromatic lignin derivatives // Carbohydr. Polym. 2007. V. 68. № 1. P. 1. https://doi.org/10.1016/j.carbpol.2006.07.005
- Sjöberg J., Adorjan I., Rosenau T., Kosma P. An optimized CZE method for analysis of mono- and oligomeric aldose mixtures // Carbohydr. Res. 2004. V. 339. № 11. P. 2037. https://doi.org/10.1016/j.carres.2004.06.003
- Sato K., Sato K., Okubo A., Yamazaki S. Optimization of derivatization with 2- aminobenzoic acid for determination of monosaccharide composition by capillary electrophoresis // Anal. Biochem. 1998. V. 262. № 2. P. 195. https://doi.org/10.1006/abio.1998.2798
- Windwarder M., Figl R., Svehla E., Moscai R., Farcet J.-B., Staudacher E., Kosma P., Altmann F. ‘Hypermethylation’ of anthranilic acid-labeled sugars confers the selectivity required for liquid chromatography-mass spectrometry // Anal. Biochem. 2016. V. 514. P. 24. https://doi.org/10.1016/j.ab.2016.09.008
- Lorenz D., Janzon R., Saake B. Determination of uronic acids and neutral carbohydrates in pulp and biomass by hydrolysis, reductive amination and HPAEC-UV // Holzforschung. 2017. V. 71. № 10. P. 767. https://doi.org/10.1515/hf-2017-0020
- Vojvodić-Cebin A., Komes D., Ralet M.C. Development and validation of HPLC-DAD method with pre-column PMP derivatization for monomeric profile analysis of polysaccharides from agro-industrial wastes // Polymers. 2022. V. 14. № 3. P. 544. https://doi.org/10.3390/polym14030544
- Lattová E., Perreault H. Method for investigation of oligosaccharides using phenylhydrazine derivatization / Glycomics / Eds. Packer N.H., Karlsson N.G. Groningen: Springer, 2009. P. 65. https://doi.org/10.1007/978-1-59745-022-5_5
- Nguyen D.T., Lerch H., Zemann A., Bonn G. Separation of derivatized carbohydrates by co-electroosmotic capillary electrophoresis // Chromatographia. 1997. V. 46. № 3. P. 113. https://doi.org/10.1007/BF02495320
- Kwon H., Kim J. High performance liquid chromatography of mono- and oligosaccharides derivatized with p-aminobenzoic ethyl ester on a c18-bonded silica column // J. Liq. Chromatogr. 1995. V. 18. № 7. P. 1437. https://doi.org/10.1080/10826079508010422
- Blanco D., Muro D., Gutiérrez. M.D. A comparison of pulsed amperometric detection and spectrophotometric detection of carbohydrates in cider brandy by liquid chromatography // Anal. Chim. Acta. 2004. V. 517. № 1–2. P. 65. https://doi.org/10.1016/j.aca.2004.04.056
- Evangelista R.A., Liu M.S., Chen F.T.A. Characterization of 9-aminopyrene-1,4,6-trisulfonate derivatized sugars by capillary electrophoresis with laser-induced fluorescence detection // Anal. Chem. 1995. V. 67. № 13. P. 2239. https://doi.org/10.1021/ac00109a051
- Albrecht S., Schols H.A., van den Heuvel E.G.H.M., Voragen A.G.J., Gruppen H. CE-LIF-MSn profiling of oligosaccharides in human milk and feces of breast-fed babies // Electrophoresis. 2010. V. 31. № 7. P. 1264. https://doi.org/10.1002/elps.200900646
- Chen F.T.A., Dobashi T.S., Evangelista R.A. Quantitative analysis of sugar constituents of glycoproteins by capillary electrophoresis // Glycobiology. 1998. V. 8. № 11. P. 1045. https://doi.org/10.1093/GLYCOB/8.11.1045
- Chiesa C., Horváth C. Capillary zone electrophoresis of malto-oligosaccharides derivatized with 8-aminonaphthalene-1,3,6-trisulfonic acid // J. Chromatogr. A. 1993. V. 645. № 2. P. 337. https://doi.org/10.1016/0021-9673(93)83394-8
- Larsson M., Sundberg R., Folestad S. On-line capillary electrophoresis with mass spectrometry detection for the analysis of carbohydrates after derivatization with 8-aminonaphthalene-1,3,6-trisulfonic acid // J. Chromatogr. A. 2001. V. 934. № 1–2. P. 75. https://doi.org/10.1016/S0021-9673(01)01274-2
- Sato K., Sato K., Okubo A., Yamazaki S. Determination of monosaccharides derivatized with 2-aminobenzoic acid by capillary electrophoresis // Anal. Biochem. 1997. V. 251. № 1. P. 119. https://doi.org/10.1006/ABIO.1997.2266
- Saddic G.N., Dhume S.T., Anumula K.R. Carbohydrate composition analysis of glycoproteins by HPLC using highly fluorescent anthranilic acid (AA) tag / Po-st-translational Modifications of Proteins / Ed. Kannicht C. Groningen: Springer, 2008. P. 215. https://doi.org/10.1007/978-1-60327-084-7_15
- Stepan H., Staudacher E. Optimization of monosaccharide determination using anthranilic acid and 1-phenyl-3-methyl-5-pyrazolone for gastropod analysis // Anal. Biochem. 2011. V. 418. № 1. P. 24. https://doi.org/10.1016/j.ab.2011.07.005
- Wang W., Wang Y., Chen F., Zheng F. Comparison of determination of sugar-PMP derivatives by two different stationary phases and two HPLC detectors: C18 vs. amide columns and DAD vs. ELSD // J. Food Compos. Anal. 2021. V. 96. Article 103715. https://doi.org/10.1016/j.jfca.2020.103715
- Fan B., Li T., Song X., Wu C., Qian C. A rapid, accurate and sensitive method for determination of monosaccharides in different varieties of Osmanthus fragrans Lour by pre-column derivatization with HPLC-MS/MS // Int. J. Biol. Macromol. 2019. V. 125. P. 221. https://doi.org/10.1016/j.ijbiomac.2018.12.033
- Rajendiran V., El Rassi Z. Reversed-phase capillary electrochromatography of pre-column derivatized mono- and oligosaccharides with three different ultraviolet absorbing tags // J. Chromatogr. A. 2022. V. 1671. Article 463025. https://doi.org/10.1016/j.chroma.2022.463025
- Alyuruk H., Kontas A., Altay O. A comparative study of two HPLC methods for dissolved monosaccharide analysis in seawater using 2-amino benzamide and 2-amino pyrazine as pre-column derivatization reagents // Talanta. 2021. V. 234. Article 122629. https://doi.org/10.1016/J.TALANTA.2021.122629
Supplementary files





















