Влияние вымываемого наполнителя на параметры пористой структуры и сорбцию воды фильтрами из поливинилформаля
- Авторы: Акимова А.А.1, Ломовской В.А.2, Симонов-Емельянов И.Д.1
-
Учреждения:
- МИРЭА – Российский технологический университет (Институт тонких химических технологий имени М.В. Ломоносова)
- Институт физической химии и электрохимии им. А.Н. Фрумкина
- Выпуск: Том 57, № 2 (2023)
- Страницы: 188-193
- Раздел: Статьи
- Статья опубликована: 01.03.2023
- URL: https://bakhtiniada.ru/0040-3571/article/view/138443
- DOI: https://doi.org/10.31857/S0040357123020021
- EDN: https://elibrary.ru/EINHGZ
- ID: 138443
Цитировать
Полный текст
Аннотация
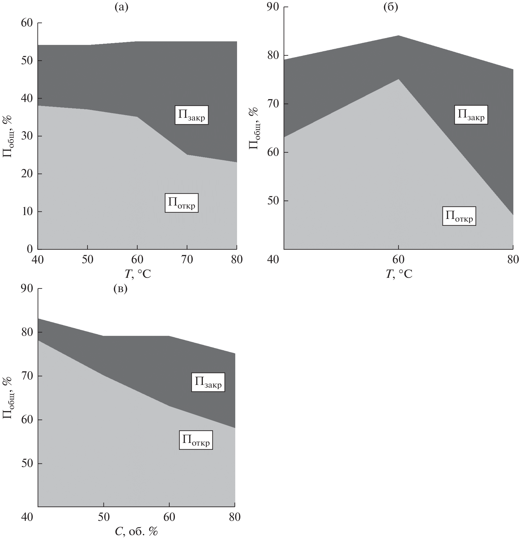
В работе представлены данные по формированию в процессе химической реакции ацеталирования ПВС пористой структуры из поливинилформаля (ПВФ) с вымываемым наполнителем (крахмалом). Установлено, что при оптимальных условиях синтеза ПВФ введение крахмала в заданном количестве приводит к росту общей пористости с 58 до 84% и открытой пористости с 37 до 78%. Установлено, что минимальная кажущая плотность составляет 0.2 г/см3 для образцов ПВФ с крахмалом и достигается при температуре синтеза 60°С и концентрации катализатора 40 об. %. Приведены зависимости водопоглощения ПВФ от времени, температуры синтеза и концентрации катализатора. Установлено, что сорбция воды достигает максимальных значений ~900% только при введении вымываемого наполнителя (крахмала). Введение вымываемого наполнителя (крахмал) приводит к росту сорбции воды в ~2 раза по сравнению с ПВФ без крахмала, что позволяет получать фильтры с высокой эффективностью по отделению воды от углеводородных топлив.
Ключевые слова
Об авторах
А. А. Акимова
МИРЭА – Российский технологический университет (Институт тонких химических технологий имени М.В. Ломоносова)
Email: akimova@mirea.ru
Россия, Москва
В. А. Ломовской
Институт физической химии и электрохимии им. А.Н. Фрумкина
Email: akimova@mirea.ru
Россия, Москва
И. Д. Симонов-Емельянов
МИРЭА – Российский технологический университет (Институт тонких химических технологий имени М.В. Ломоносова)
Автор, ответственный за переписку.
Email: akimova@mirea.ru
Россия, Москва
Список литературы
- Ломовской В.А., Абатурова Н.А., Ломовская Н.Ю., Хлебникова О.А., Саков Д.М., Галушко Т.Б., Бартенева А.Г. Влияние пористости структуры поливинилформаля на его сорбционные характеристики. 5-ая Научная конференция “Физическая химия поверхностных явлений и адсорбции”. 1–6 июля 2013 г. Плес: Труды конференции / ФБГОУ ВПО Иван.гос.хим.-технол. ун-т. Иваново, 2014. С. 52
- Акимова А.А., Ломовской В.А., Симонов-Емельянов И.Д. Пенообразование растворов поливинилового спирта с разной молекулярной массой в воде. Тонкие химические технологии. 2021; 16(4): 337–344. https://doi.org/10.32362/2410-6593-2021-16-4-337-344
- Акимова А.А., Ломовской В.А., Симонов-Емельянов Д. Кинетика устойчивости пен из водных растворов поливинилового спирта с разной молекулярной массой // Материаловедение. 2022. Т. 1. № 1. С. 18–23.
- Ушаков С.Н. Поливиниловый спирт и его производные. М.Л.: Изд. АН СССР. 1960. Т. 1. 552 с.
- Rigved Nagarkar, Jatin Patel. Polyvinyl Alcohol: A Comprehensive Study // Acta Scientific Pharmaceutical Sciences. 2019. V. 3. Is. 4. P. 34–44.
- Muppalaneni S., Omidian H. Polyvinyl Alcohol in Medicine and Pharmacy: A Perspective // J. Develop. Drugs. 2013. V. 2. Is. 3. https://doi.org/10.4172/2329-6631.1000112
- Манжай В.Н., Фуфаева М.С. Дисперсность и устойчивость пены, полученной из раствора поливинилового спирта и свойства сформированных пенокриогелей // Коллоидный журн. 2014. Т. 76. № 4. С. 495–499. https://doi.org/10.7868/S0023291214040090
- Вилкова Н.Г., Мишина С.И., Дорчина О.В. Устойчивость пен, содержащих дизельное топливо // Изв. высших учебных заведений. Серия: Химия и химическая технология. 2018. Т. 61. № 6. С. 48–53.
- Панов Ю.Т. Научные основы создания пенопластов второго поколения: монография / Ю.Т. Панов. Владимир: Ред.-издат. комплекс ВлГУ, 2003. 176 с. ISBN 5-89368-379-Х.
Дополнительные файлы








