Полисахариды растений Crotalaria alata и Gleditsia triacanthos в качестве компонентов питательной среды для культивирования микроскопических грибов
- Авторы: Закирова Р.П.1, Кодиралиева Ф.1, Хван А.М.1, Рахманбердыева Р.К.1
-
Учреждения:
- Институт химии растительных вещества им. акад. С.Ю. Юнусова АН РУз
- Выпуск: Том 59, № 3 (2023)
- Страницы: 306-313
- Раздел: КОМПОНЕНТНЫЙ СОСТАВ РЕСУРСНЫХ ВИДОВ
- URL: https://bakhtiniada.ru/0033-9946/article/view/138806
- DOI: https://doi.org/10.31857/S003399462303007X
- EDN: https://elibrary.ru/SBYVAM
- ID: 138806
Цитировать
Полный текст
Аннотация
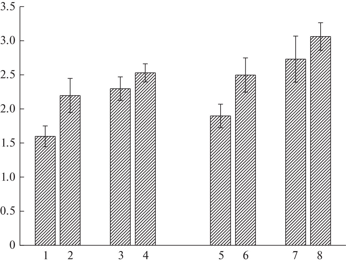
Изучена возможность использования галактоманнанов семян Crotalaria alata L. и Gleditsia triacanthos L. (Fabaceae) в качестве закрепителя питательной среды для культивирования микроскопических грибов Stachybotrys alternans Bonord. (Stachybotrys Cordа) и Fusarium oxysporum Schr f. vasinfectum Bilai. (Fusarium). Оптимальный результат был достигнут при комбинировании агар-агара с галактоманнанами Crotalaria alata и Gleditsia triacanthos в соотношении 1.5 : 4 : 1. Такой состав позволил получить твердую питательную среду, по консистенции и цвету соответствующую 2%-ной агаризованной среде. Для биологической оценки разработанной питательной среды споровый материал микроскопических грибов Stachybotrys alternans и Fusarium oxysporum наносили на поверхность контрольной и опытной сред и инкубировали в термостате при температуре 25–26 °C. Было показано, что рост колоний Stachybotrys alternans и Fusarium oxysporum на среде с использованием галактоманнанов опережал рост в контрольном варианте на пятые сутки на 37.2 и 31.5%, на седьмые – на 8.7 и 11.1% соответственно.
Об авторах
Р. П. Закирова
Институт химии растительных вещества им. акад. С.Ю. Юнусова АН РУз
Автор, ответственный за переписку.
Email: ranozakirova@mail.ru
Республика Узбекистан, г. Ташкент
Ф. Кодиралиева
Институт химии растительных вещества им. акад. С.Ю. Юнусова АН РУз
Email: ranozakirova@mail.ru
Республика Узбекистан, г. Ташкент
А. М. Хван
Институт химии растительных вещества им. акад. С.Ю. Юнусова АН РУз
Email: ranozakirova@mail.ru
Республика Узбекистан, г. Ташкент
Р. К. Рахманбердыева
Институт химии растительных вещества им. акад. С.Ю. Юнусова АН РУз
Email: ranozakirova@mail.ru
Республика Узбекистан, г. Ташкент
Список литературы
- Кизеветтер И.В., Грюнер В.С., Евтушенко В.А. 1967. Переработка морских водорослей и других промысловых водных растений. М. 416 с.
- Лазыкин А.Г., Черкасов Н.А., Ковтун А.Л., Рогожин А.З., Нестеров Ю.Е., Кузнецов В.Г. 1999. https://patents.google.com/patent/RU2129159C1/ru
- Kohlenbach H.W., Wernicke W. 1978. Investigations on the inhibitory effect of agar and the function of active carbon in anther culture. – Ztsch. Pflanzenphysiol. 86(5): 463–472. https://doi.org/10.1016/S0044-328X(78)80292-X
- González M., Hernádes I., Jouve N. 1997. Analysis of anther culture response in hexaploid triticale. – Plant Breed. 116(3): 302–304. https://doi.org/10.1111/j.1439-0523.1997.tb01003.x
- Halberg N., Olesen A., Tuvesson K.D., Andersen S.B. 1990. Genotypes of perennial ryegrass (Lolium perenne L.) with high anther-culture response through hybridization. – Plant Breed. 105(2): 89–94. https://doi.org:/https://doi.org/10.1111/j.1439-0523.1990.tb00459.x
- Finnie S.J., Powell W., Dyer A.F. 1989. The effect of carbohydrate composition and concentration on anther culture response in barley (Hordeum vulgare L.). – Plant Breed. 103(2): 110–118. https://doi.org/10.1111/j.1439-0523.1989.tb00358.x
- Sorvari S. 1986. The effect of starch gelatinized nutrient media in barley anther culture. – Ann. Agr. Fenn. 25: 127–133.
- Белинская Е.В., Дульнев П.Г. 2007. Модифицированный крахмал как компонент питательной среды для получения гаплоидов ячменя в культуре пыльников in vitro. – Физиология и биохимия культурных растений. 39(2): 136–143.
- Nagori B.P., Mathur N.K. 1996. Preparation of galactomannans beads for pharmaceutical applications. – Indian J. Chem. Technol. 3(5): 279–281. http://nopr.niscpr.res.in/handle/123456789/31042
- Edwards M., Reid J.S.G. 1995. Galactomannans and other cell wall storage polysaccharides in seeds. – In: Food Polysaccharides and their application. New York. P. 155–185.
- Rakhmanberdyeva R.K., Rakhimov D.A., Vakhabov A.A., Khushbaktova Z.A., Syrov V.N. 2005. Galactomannans from Gleditsia macracantha seeds and its biological activity. – Chem. Nat. Compd. 41(1): 11–13. https://doi.org/10.1007/s10600-005-0062-6
- Анулов О.В., Смирнова Н.И., Местечкина Н.М., Щербухин В.Д. 1998. Галактоманнаны семян некоторых видов бобовых. – Физиология растений. 45(6): 922–924.
- Щербухин В.Д., Анулов О.В. 1999. Галактоманнаны семян бобовых (обзор). – Прикладная биохимия и микробиология. 35(3): 257–274.
- Закирова Р.П., Курбанова Э.Р., Ташпулатова Ф.Ш., Рахманбердиева Р.К., Асатова С.C. 2016. Использование растительного полисахарида в качестве стимулятора роста на хлопчатнике. – В сб.: Материалы международной научно-практической конференции “Современные тенденции развития аграрного комплекса”. С. Соленое Займище. С. 730.
- Закирова Р.П., Асатова С.С., Ташпулатова Ф.Ш. 2018 г. Влияние галактоманнанов на развитие проростков Cucumis melo. – В сб.: Материалы Международной научно-практической конференции “Воспроизводство плодородия почв и их рациональное использование”. Ижевск. С. 204–206.
- Buckeridge M.S., Reid J.S.G. 1996. Major cell wall storage polysaccharides in legume seeds: Structure, catabolism and biological functions. – Ciencia e Cultura. 48(3): 153–162.
- Рахманбердыева Р.К., Нигматуллаев А.М. 2003. Сезонная динамика содержания и состава углеводов в Cardaria repens (Schrenk) Jarm. – Раст. ресурсы. 39(1): 76–79. https://elibrary.ru/item.asp?id=17080741
- Кодиралиева Ф., Рахманбердыева Р.К. 2011. Полисахариды Сrotalaria alata. – Хим. природ. соедин. 1: 10–11.
- Рахманбердыева Р.К., Талипова М., Газизов Ф., Рахимов Д.А. 2002. Углеводы и липиды семян Gleditsia triacanthos. – Хим. природ. соедин. 1: 19–21.
- Билай В.И., Билай Т.И., Мусич Е.Г. 1982. Трансформация целлюлозы грибами. Киев. 296 с.
- Красильников Н.А. 1966. Методы изучения почвенных микроорганизмов и их метаболитов. М. 216 с.
- Кодиралиева Ф., Шашков А.С., Рахманбердыева Р.К. 2015. Строение галактоманнанов семян Сrotalaria alata. – Хим. природ. соедин. 3: 355–358.
Дополнительные файлы





