Реконструкция сигналов линейных стационарных систем с помощью тестовых испытаний
- Авторы: Новиков-Бородин А.В.1
-
Учреждения:
- Институт ядерных исследований РАН
- Выпуск: Том 68, № 7 (2023)
- Страницы: 632-649
- Раздел: ТЕОРИЯ И МЕТОДЫ ОБРАБОТКИ СИГНАЛОВ
- URL: https://bakhtiniada.ru/0033-8494/article/view/138303
- DOI: https://doi.org/10.31857/S0033849423070082
- EDN: https://elibrary.ru/WPIOFD
- ID: 138303
Цитировать
Полный текст
Аннотация
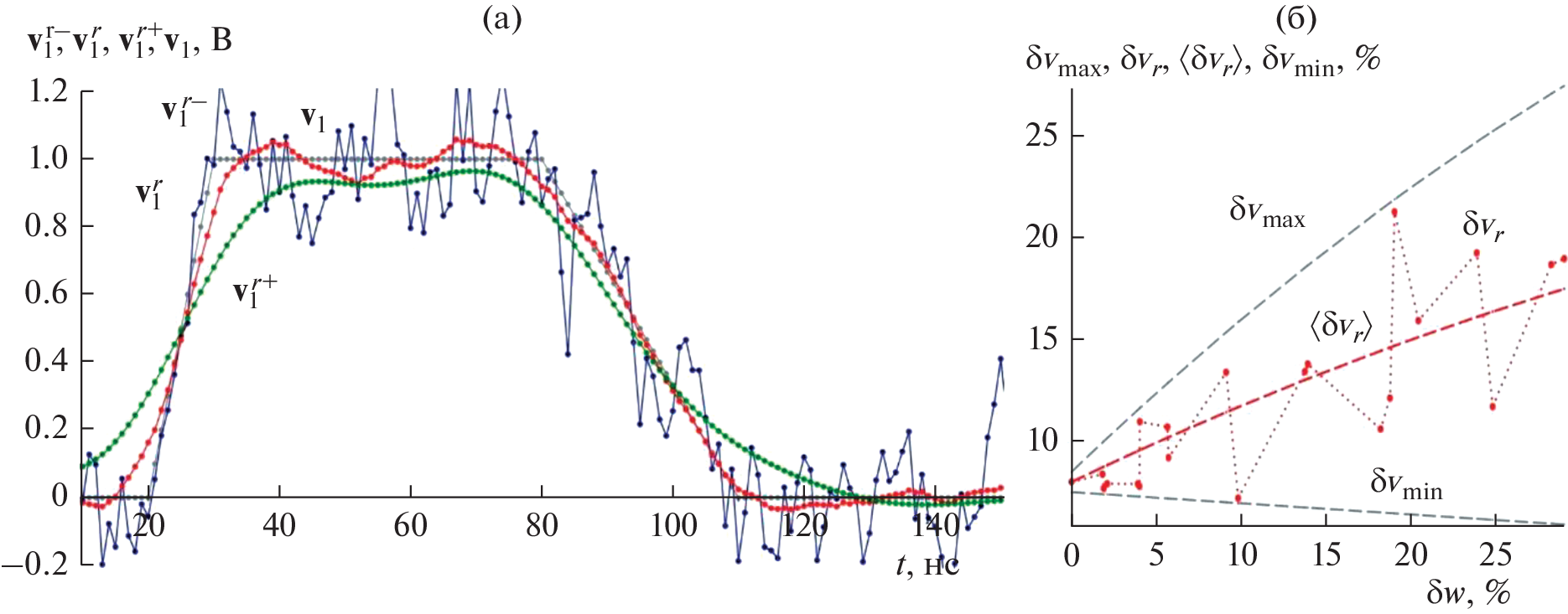
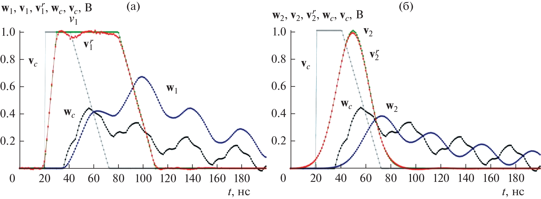
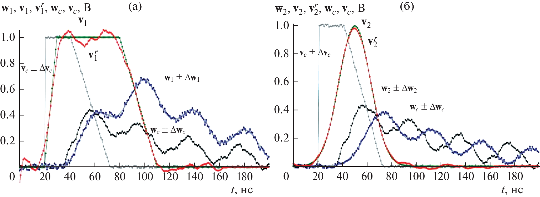
Предложены и проанализированы методы тестовых испытаний, предназначенные для математической реконструкции входных сигналов линейных стационарных систем обработки информации из искаженных ими и зашумленных выходных сигналов. Показано, что использование данных тестовых испытаний позволяет осуществить не слепую реконструкцию без определения функций искажений сигналов или аппаратных функций систем обработки, которые, в общем случае, могут принадлежать к классу обобщенных функций. Рассмотрены особенности применения техники регуляризации в методах тестовых испытаний при решении некорректно поставленных и плохо обусловленных задач реконструкции реальных недетерминированных сигналов. Проанализированы критерии выбора тестовых сигналов. Представлены результаты численных экспериментов по восстановлению одномерных сигналов и двумерных изображений при разных уровнях зашумления.
Ключевые слова
Об авторах
А. В. Новиков-Бородин
Институт ядерных исследований РАН
Автор, ответственный за переписку.
Email: novikov.borodin@gmail.com
Российская Федерация, 117312, Москва, пр. 60-летия Октября, 7а
Список литературы
- Mueller J.L., Siltanen S. Linear and Nonlinear Inverse Problems with Practical Applications. Philadelphia: SIAM, 2012. V. 10.
- Hansen P.C. Discrete Inverse Problems: Insight and Algorithms. Fundamentals of Algorithms. Philadelphia: SIAM, 2010.
- Kaipio J., Somersalo E. Statistical and Computational Inverse Problems. N.Y.: Springer, 2010.
- Chen K. Matrix Preconditioning Techniques and Applications. Cambridge: Cambridge Univ. Press, 2005.
- Tarantola A. Inverse Problem Theory and Methods for Model Parameter Estimation. Philadelphia: SIAM, 2005.
- Vito E.D., Rosasco L., Caponnetto A. et al. // J. Machine Learning Research. 2005. P. 883.
- Ben-Israel A., Greville T.N.E. Generalized Inverses: Theory and Applications. 2nd ed. N.Y.: Springer, 2003. https://doi.org/10.1007/b97366
- Zhang X., Burger M., Bresson X., Osher S. // SIAM J. Imaging Sci. 2010. V. 3. № 3. P. 253. https://doi.org/10.1137/090746379
- Afonso M.V., Bioucas-Dias J.M., Figueiredo M.A.T. // IEEE Trans. 2011. V. IP-20. № 3. P. 681.
- Gonzalez C.R., Woods R.E. Digital Image Processing. 3rd ed. Upper Saddle River: Pearson Prentice Hall, 2008.
- Василенко Г.И., Тараторин А.М. Восстановление изображений. М.: Радио и связь, 1986.
- Benning M., Burger M. // 2018. arXiv:1801.09922v1 [math.NA].
- Kazufumi I., Bangti J. Inverse Problems: Tikhonov Theory and Algorithms. Singapore: World Scientific., 2014.
- Тихонов А.Н., Гончарский А.В., Степанов В.В., Ягола А.Г. Численные методы решения некорректных задач. М.: Наука, 1990.
- Тихонов А.Н., Гончарский А.В., Степанов В.В., Ягола А.Г. Регуляризирующие алгоритмы и априорная информация. М.: Наука, 1983.
- Иванов В.К., Васин В.В., Танана В.П. Теория линейных некорректных задач и её приложения. М.: Наука, 1978.
- Тихонов А.Н., Арсенин В.Я. Методы решения некорректных задач. М.: Наука, 1974.
- Матысик О.В. Итерационная регуляризация некорректных задач. Saarbrücken: LAP LAMBERT Acad. Publ., 2015.
- Самарский А.А., Вабищевич П.Н. Численные методы решения обратных задач математической физики. М.: УРСС, 2004.
- Vogel C.R. Computational Methods for Inverse Problems. Philadelphia: SIAM, 2002.
- Gilyazov S.F., Goldman N.L. Regularization of Ill-posed Problems by Iteration Methods. Dordrecht: Kluwer Acad. Publ., 2000.
- Шлома А.М. // Журн. вычисл. математики и матем. физики. 1996. Т. 36. № 3. С. 15.
- Vaidyanathan P.P., Chen T. // IEEE Trans. 1995. V. SP-43. № 5. P. 1090.
- Денисов А.М. Введение в теорию обратных задач. М.: МГУ, 1994.
- Бакушинский А.Б., Гончарский А.В. Итеративные методы решения некорректных задач. М.: Наука, 1989.
- Chen S.S., Donoho D.L., Saunders M.A. // SIAM Rev. 2001. V. 43. № 1. P. 129.
- Percival D.B., Walden A.T. Wavelet Methods for Time Series Analysis. Cambridge: Cambridge Univ. Press, 2000.
- Mallat S. A Wavelet Tour of Signal Processing. 2nd ed. San Diego: Academic Press, 1999.
- Domínguez A. // IEEE Pulse. 2015. V. 6. № 1. P. 38.
- von zur Gathen J., Gerhard J. Modern Computer Algebra. 3-rd ed. Cambridge: Cambridge Univ. Press, 2013.
- Crutchfield S. The Joy of Convolution. Web Applet. N.Y.: Johns Hopkins Univ., 2010. http:// www.jhu.edu/signals/convolve/.
- Hespanha J.P. Linear System Theory. Princeton: Princeton Univ. Press, 2009.
- Phillips C.I., Parr J.M., Riskin E.A. Signals, Systems and Transforms. Upper Saddle River: Prentice Hall, 2007.
- Баскаков С.И. Радиотехнические цепи и сигналы. М.: Высш. школа, 2005.
- Uludag A.M. // J. Mathematical Analysis and Appl. 1998. V. 227. № 2. P. 335. https://doi.org/10.1006/jmaa.1998.6091
- Sobolev V.I. Convolution of Functions, Encyclopedia of Mathematics. Helsinki: EMS Press, 2001.
- Напалков В.В. Уравнения свертки в многомерных пространствах. М.: Наука, 1982.
- Колмогоров А.Н., Фомин С.В. Элементы теории функций и функционального анализа. М.: Наука, 2004. 7-е изд.
- Владимиров В.С. Уравнения математической физики. М.: Наука, 1981.
- Прасолов В.В. Задачи и теоремы линейной алгебры. М.: Наука, 1996.
Дополнительные файлы








