Собственное стимулированное интенсивное пикосекундное излучение в режиме насыщения усиления и “порогового” состояния электронно-дырочной плазмы в гетероструктуре AlxGa1 – xAs–GaAs–AlxGa1 – xAs
- Авторы: Агеева Н.Н.1, Броневой И.Л.1, Кривоносов А.Н.1
-
Учреждения:
- Институт радиотехники и электроники им. В.А. Котельникова РАН
- Выпуск: Том 68, № 3 (2023)
- Страницы: 211-248
- Раздел: ОБЗОР
- URL: https://bakhtiniada.ru/0033-8494/article/view/138134
- DOI: https://doi.org/10.31857/S0033849423030014
- EDN: https://elibrary.ru/ICCPIP
- ID: 138134
Цитировать
Полный текст
Аннотация
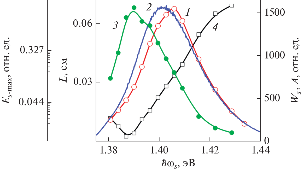
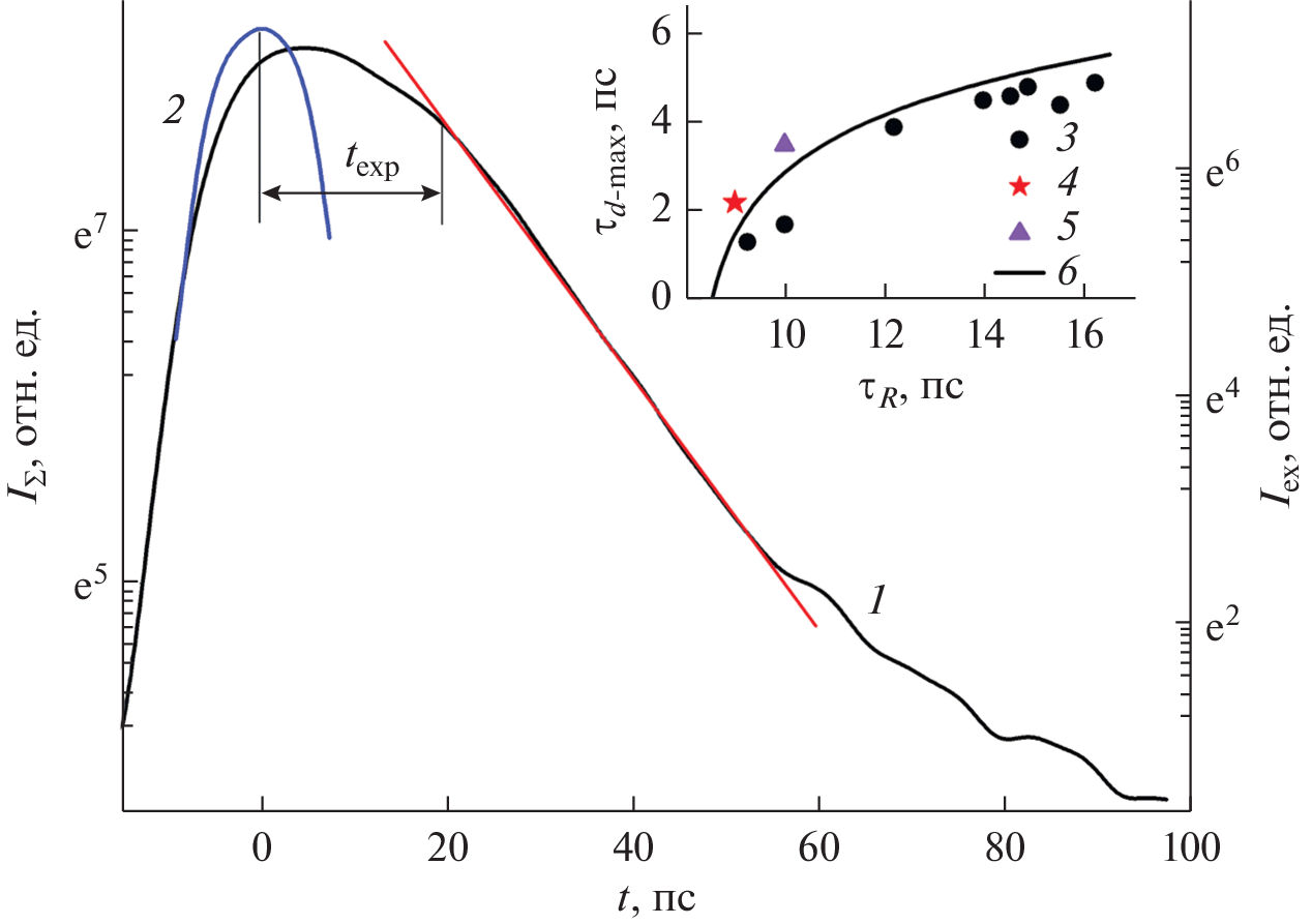
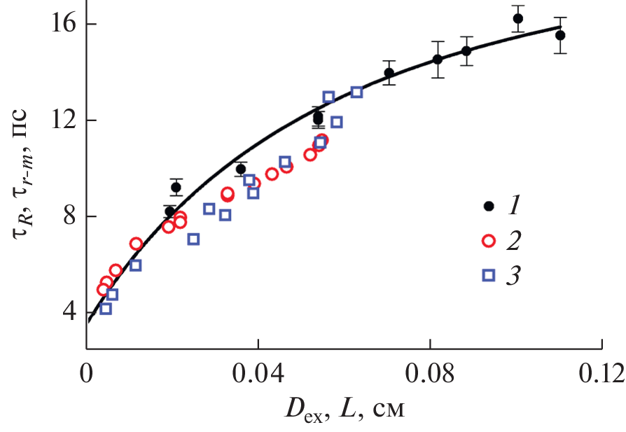
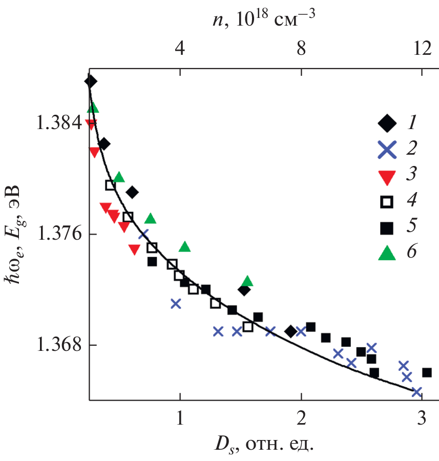
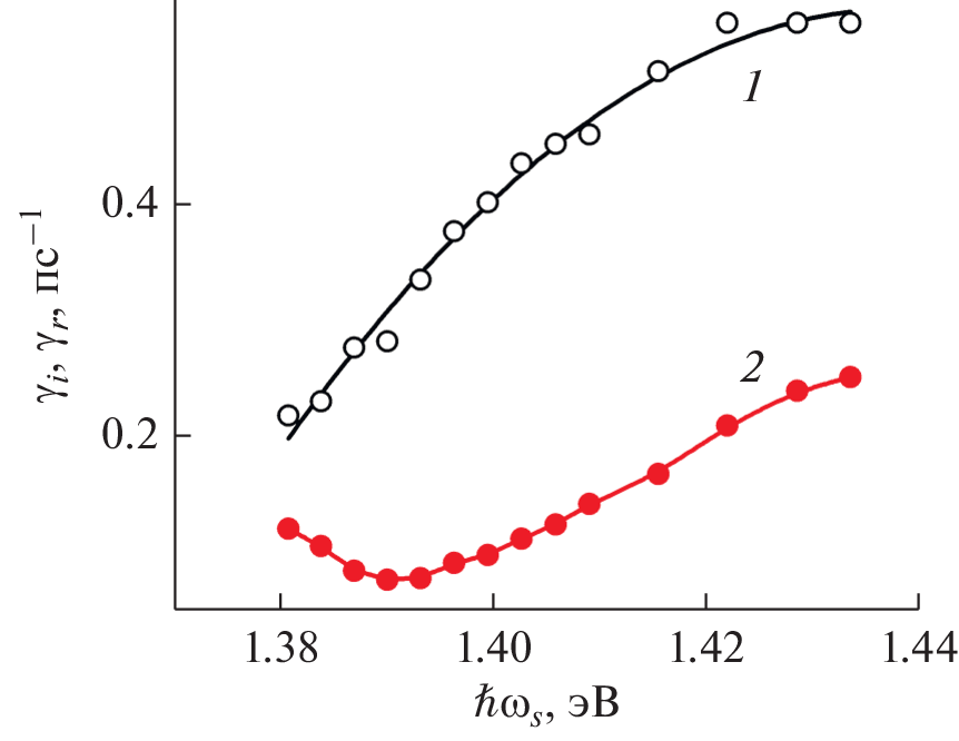
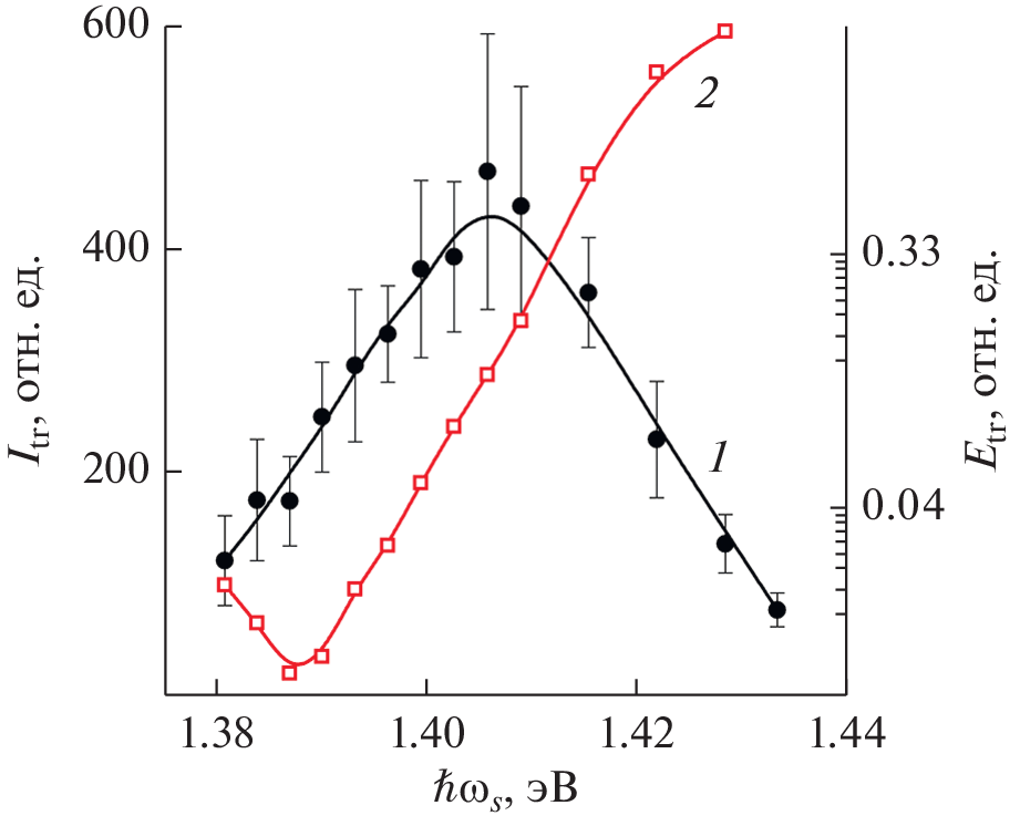
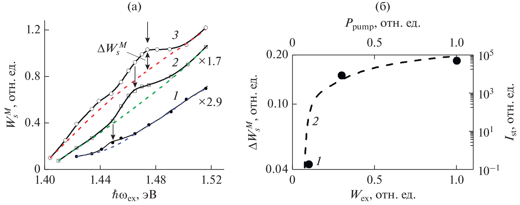
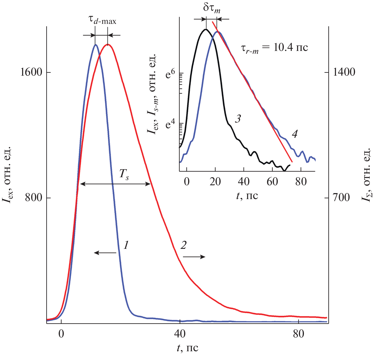
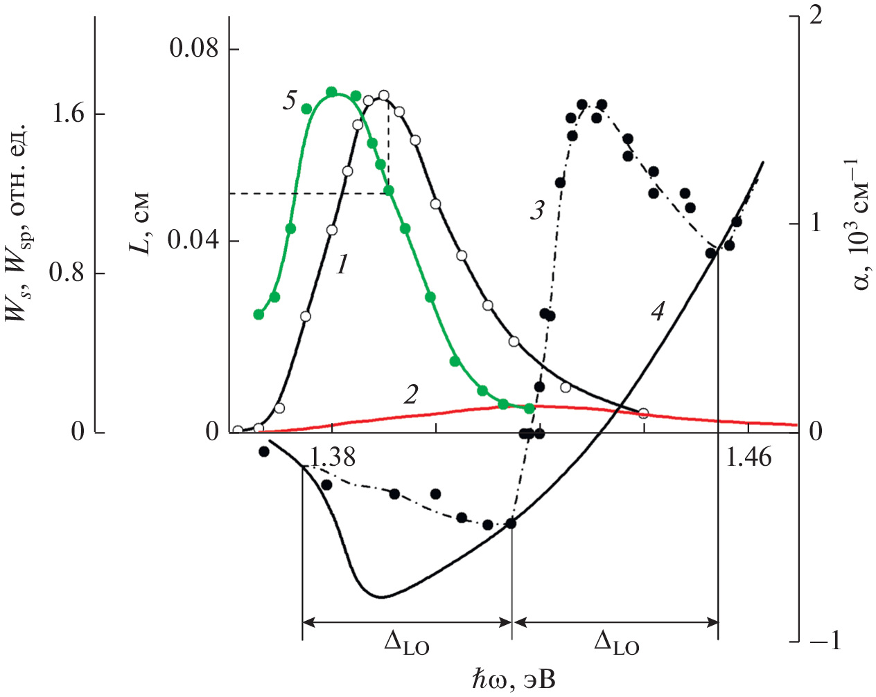
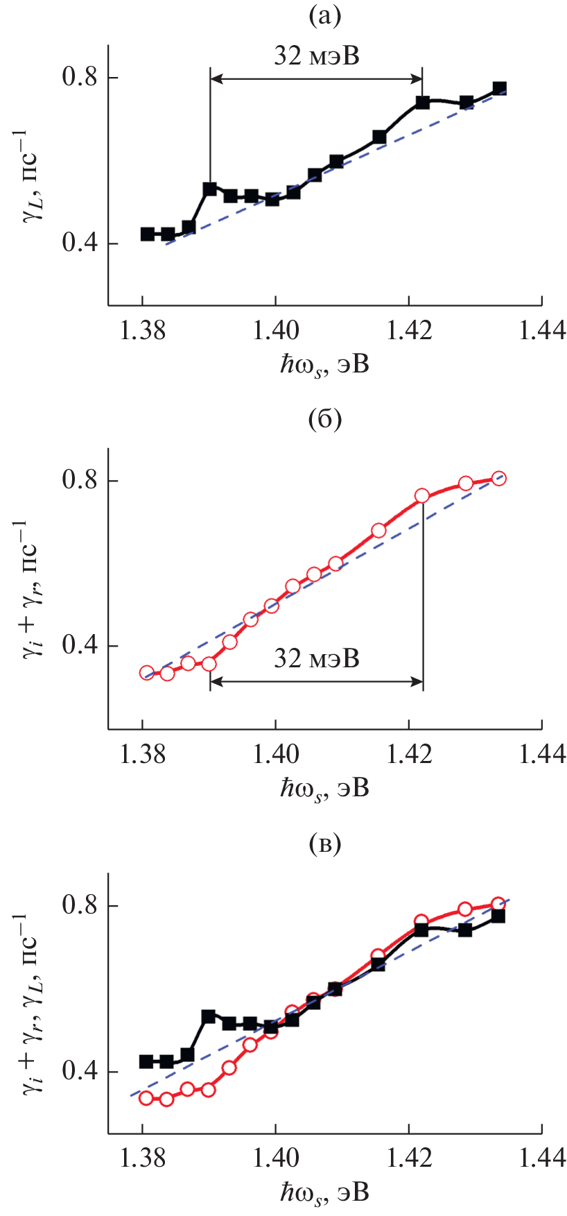
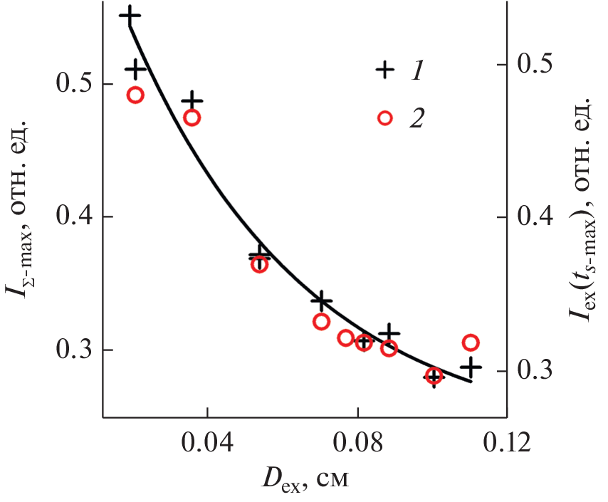
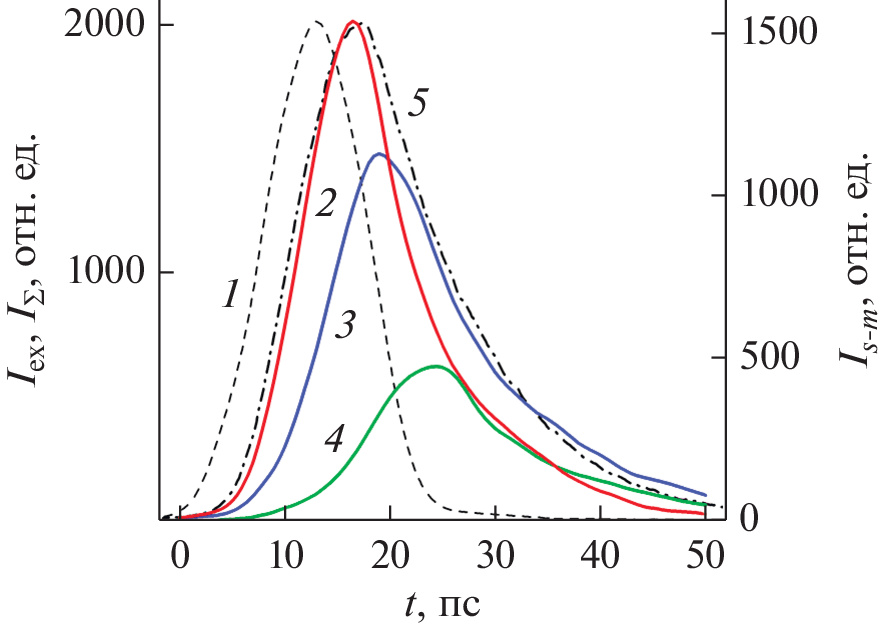
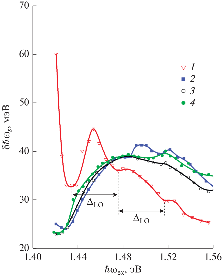
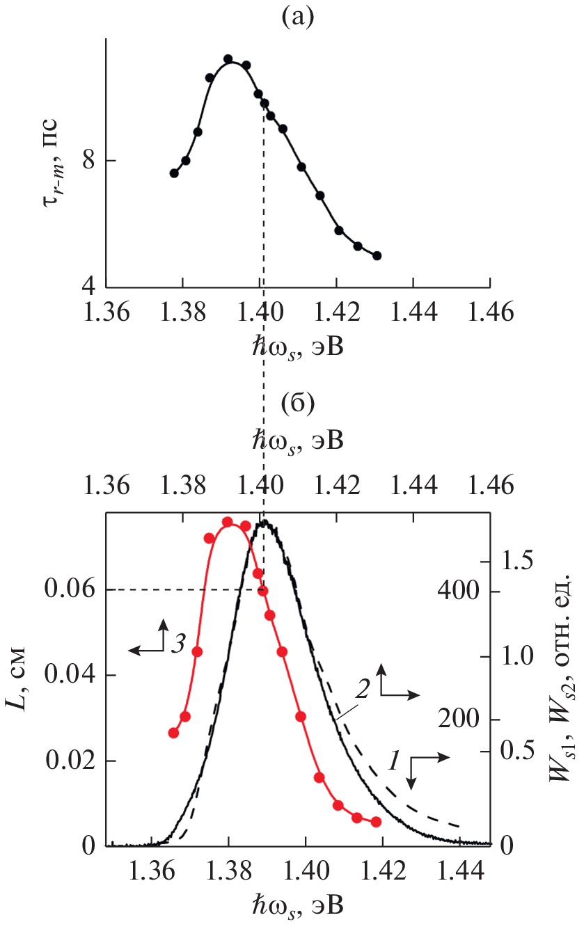
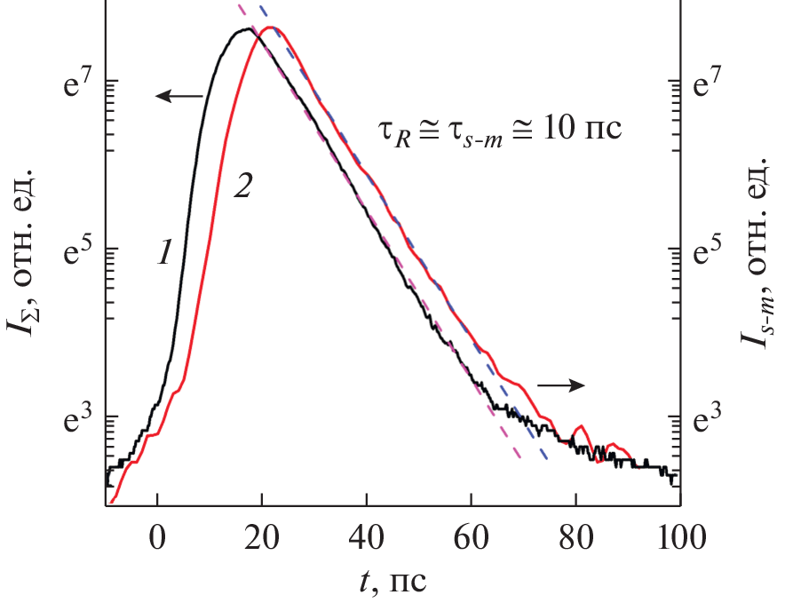
В обзоре представлена третья часть экспериментального исследования излучения и возбуждаемых им оптоэлектронных эффектов. В начале мощной оптической пикосекундной накачки слоя GaAs гетероструктуры AlxGa1 – xAs–GaAs–AlxGa1 – xAs в нем возникает пикосекундное излучение. Экспериментально доказано, что это – усиленное спонтанное (стимулированное) излучение со спецификой распространения в гетероструктуре. Показано, что благодаря большой интенсивности излучения электронно-дырочная плазма поддерживается в “пороговом” состоянии с инверсией населенности электронов в узком энергетическом интервале. В связи с этим с плотностью электронов становятся однозначно связаны их температура, а следовательно, их распределение между долинами и т.п. Найдено, что ограничение инверсии означало насыщение усиления излучения, когда усиление лимитируется энергетическим транспортом носителей заряда на уровни, с которых они вынужденно рекомбинируют. Определено, что транспорт, замедляемый нагревом носителей из-за их взаимодействия с излучением, при связи температуры носителей с их плотностью, определяет динамику излучения в целом и его спектральных компонент.
Об авторах
Н. Н. Агеева
Институт радиотехники и электроники им. В.А. Котельникова РАН
Email: bil@cplire.ru
Российская Федерация, 125009, Москва, ул. Моховая, 11, стр. 7
И. Л. Броневой
Институт радиотехники и электроники им. В.А. Котельникова РАН
Email: bil@cplire.ru
Российская Федерация, 125009, Москва, ул. Моховая, 11, стр. 7
А. Н. Кривоносов
Институт радиотехники и электроники им. В.А. Котельникова РАН
Автор, ответственный за переписку.
Email: bil@cplire.ru
Российская Федерация, 125009, Москва, ул. Моховая, 11, стр. 7
Список литературы
- Ageeva N.N., Bronevoi I.L., Kumekov S.E. et al. // Proc. SPIE. 1992. V. 1842. P. 70.
- Агеева Н.Н., Броневой И.Л., Кривоносов А.Н. и др. // Известия РАН. Сер. Физическая. 1994. Т. 58. № 7. С. 89.
- Агеева Н.Н., Броневой И.Л., Кривоносов А.Н. // ЖЭТФ. 2022. Т. 162. № 6. С. 1018.
- Звелто О. Принципы лазеров. CПб.: Лань, 2008.
- Casperson L.W. // J. Appl. Phys. 1977. V. 48. № 1. P. 256.
- Соловьев В.Д. Физика лазеров. Текст лекций (4‑й курс). СПб.: СПб гос. политех. ун-т, 2012. http://elib.spbstu.ru/dl/2313.pdf/download/2313.pdf.
- Калафати Ю.Д., Кокин В.А. // ЖЭТФ. 1991. Т. 99. № 6. С. 1793.
- Броневой И.Л., Гадонас Р.А., Красаускас В.В. и др.// Письма в ЖЭТФ. 1985. Т.42. № 8. С. 322.
- Грибковский В.П. Теория поглощения и испускания света в полупроводниках. Минск: Наука и техника, 1975.
- Броневой И.Л., Кумеков С.Е., Перель В.И. // Письма в ЖЭТФ. 1986. Т. 43. № 8. С. 368.
- Hulin D., Joffre M., Migus A. et al. // J. de Physique Colloques. 1987. V. 48. № C5. P. 267.
- Fox A.M., Manning R.J., Miller A. // J. Appl. Phys. 1989. V. 65. № 11. P. 4287.
- Ageeva N.N., Bronevoi I.L., Dyadyushkin E.G. et al. // Sol. Stat. Commun. 1989. V. 72. № 7. P. 625.
- Агеева Н.Н., Броневой И.Л., Дядюшкин Е.Г., Явич Б.С. // Письма в ЖЭТФ. 1988. Т. 48. № 5. С. 252.
- Агеева Н.Н., Броневой И.Л., Забегаев Д.Н., Кривоносов А.Н. // ЖЭТФ. 2013. Т. 143. № 4. С. 634.
- Агеева Н.Н., Броневой И.Л., Забегаев Д.Н., Кривоносов А.Н. // ФТП. 2020. Т. 54. № 1. С. 25.
- Ландсберг Г.С. Оптика. М.: Физматлит, 2003.
- Агеева Н.Н., Броневой И.Л., Забегаев Д.Н. и др. // ПТЭ. 2011. № 4. С. 108.
- Агеева Н.Н., Броневой И.Л., Забегаев Д.Н., Кривоносов А.Н. // Журн. радиоэлектроники. 2018. № 11. http://jre.cplire.ru/jre/nov18/13/text.pdf.
- Агеева Н.Н., Броневой И.Л., Забегаев Д.Н., Кривоносов А.Н. // ЖЭТФ. 2013. Т. 144. № 2. С. 227.
- Агеева Н.Н., Броневой И.Л., Забегаев Д.Н., Кривоносов А.Н. // ФТП. 2020. Т. 54. № 10. С. 1018.
- Семенов Н.А. Техническая электродинамика. М.: Связь, 1973.
- Агеева Н.Н., Броневой И.Л., Кривоносов А.Н. и др. // ФТП. 2002. Т. 36. № 2. С. 144.
- Goebel E.O., Hildebrand O., Lohnert K. // IEEE J. Quantum Electron. 1977. V. 13. № 10. P. 848.
- Бонч-Бруевич В.Л., Калашников С.Г. Физика полупроводников. М.: Наука, 1981.
- Броневой И.Л., Кривоносов А.Н. // ФТП. 1998. Т. 32. № 5. С. 537.
- Агеева Н.Н., Броневой И.Л., Забегаев Д.Н., Кривоносов А.Н. // ФТП. 2021. Т. 55. № 2. С. 121.
- Shah J., Leheny R.F., Lin C. // Sol. Stat. Commun. 1976. V. 18. № 8. P. 1035.
- Агеева Н.Н., Броневой И.Л., Забегаев Д.Н., Кривоносов А.Н. // ФТП. 2017. Т. 51. № 5. С. 594.
- Агеева Н.Н., Броневой И.Л., Забегаев Д.Н., Кривоносов А.Н. // ФТП. 2022. Т. 56. № 3. С. 307.
- Агеева Н.Н., Броневой И.Л., Забегаев Д.Н., Кривоносов А.Н. // ФТП. 2012. Т. 46. № 7. С. 944.
- Агеева Н.Н., Броневой И.Л., Кривоносов А.Н. и др. // ФТП. 2007. Т. 41. № 12. С. 1418.
- Броневой И.Л., Кривоносов А.Н. // ФТП. 1998. Т. 32. № 5. С. 542.
- Stern F. // J. Appl. Phys. 1976. V. 47. № 12. P. 5382.
- Агеева Н.Н., Броневой И.Л., Кривоносов А.Н. // ФТП. 2001. Т. 35. № 1. С. 65.
- Агеева Н.Н., Броневой И.Л., Забегаев Д.Н., Кривоносов А.Н. // ФТП. 2019. Т. 53. № 11. С. 1471.
- Ageeva N.N., Borisov V.B., Bronevoi I.L. et al. // Sol. Stat. Commun. 1990. V. 75. № 3. P. 167.
- Ageeva N.N., Bronevoi I.L., Mironov V.A. et al. // Sol. Stat. Commun. 1992. V. 81. № 12. P. 969.
- Olego D., Cardona M. // Phys. Rev. B. 1980. V. 22. № 2. P. 886.
- Tarucha S., Kobayashi H., Horikoshi Y., Okamoto H. // Japan J. Appl. Phys. 1984. V. 23. № 7R. P. 874.
- Райс Т., Хенсел Дж., Филлипс Т., Томас Г. Электронно-дырочная жидкость в полупроводниках. М.: Мир, 1980.
- Теория неоднородного электронного газа / Под ред. С. Лундквиста и Н. Марча. М.: Мир, 1995.
- Combescot M., Noziers P. // J. Phys. C. 1972. V. 5. № 17. P. 2369.
- Blakemore J.S. // J. Appl. Phys. 1982. V. 53. № 10. P. R123.
- Кейси Х., Паниш М. Лазеры на гетероструктурах. М.: Мир, 1981.
- Casey Jr. H.C., Stern F. // J. Appl. Phys. 1976. V. 47. № 2. P. 631.
- Sernelius B.E. // Phys. Rev. B. 1986. V. 33. № 12. P. 8582.
- Camassel J., Auvergne D., Mathieu H. // J. Appl. Phys. 1975. V. 46. № 6. P. 2683.
- Tomita A., Suzuki A. // IEEE J. Quantum Electron. 1987. V. 23. № 7. P.1155.
- Bronevoi I.L., Krivonosov A.N., Perel’ V.I. // Sol. Stat. Commun. 1995. V. 94. № 5. P. 363.
- Бломберген Н. // Успехи физ. наук. 1969. Т. 97. № 2. С. 307.
- Платцман Ф., Вольф П. // Волны и взаимодействия в плазме твердого тела. М.: Мир, 1975.
- Skerdin G., Stiens J., Vounckx R. // J. Appl. Phys. 1999. V. 85 № 7. P. 3792.
- Brinkman W.F., Rice T.M. // Phys. Rev. B. 1973. V. 7. № 4. P. 1508.
- Маделунг O. // Теория твердого тела. М.: Наука, 1980.
- Adachi S. // J. Appl. Phys. 1985. V. 58. № 3. P. R1.
- Dreselhaus G., Kip A.F., Kittel C. // Phys. Rev. 1955. V. 98. № 2. P. 368.
- Грундман М. // Основы физики полупроводников. М.: Физматлит, 2012.
- Кумеков С.Е., Перель В.И. // ЖЭТФ. 1988. Т. 94. № 1. С. 346.
- Агеева Н.Н., Броневой И.Л., Забегаев Д.Н., Кривоносов А.Н. // ФТП. 2021. Т. 55. № 2. С. 113.
- Агеева Н.Н., Броневой И.Л., Забегаев Д.Н., Кривоносов А.Н. // ФТП. 2021. Т. 55. № 5. С. 434.
- Dicke R.H. // Phys. Rev. 1954. V. 93. № 1. P. 99.
- Агеева Н.Н., Броневой И.Л., Забегаев Д.Н., Кривоносов А.Н. // ФТП. 2022. Т. 56. № 4. С. 394.
- Физика полупроводниковых лазеров / Под ред. Х. Такумы. М.: Мир, 1989.
Дополнительные файлы













































