Manufacturing Quartz Hollow Fibers: Solution to the Problem of Stability in the Drawing of Capillaries
- Authors: Pervadchuk V.P.1, Vladimirova D.B.1, Derevyankina A.L.1
-
Affiliations:
- Perm National Research Polytechnic University
- Issue: No 5 (2023)
- Pages: 180-189
- Section: ЛАБОРАТОРНАЯ ТЕХНИКА
- URL: https://bakhtiniada.ru/0032-8162/article/view/138522
- DOI: https://doi.org/10.31857/S0032816223050130
- EDN: https://elibrary.ru/ZKBBSD
- ID: 138522
Cite item
Full Text
Abstract
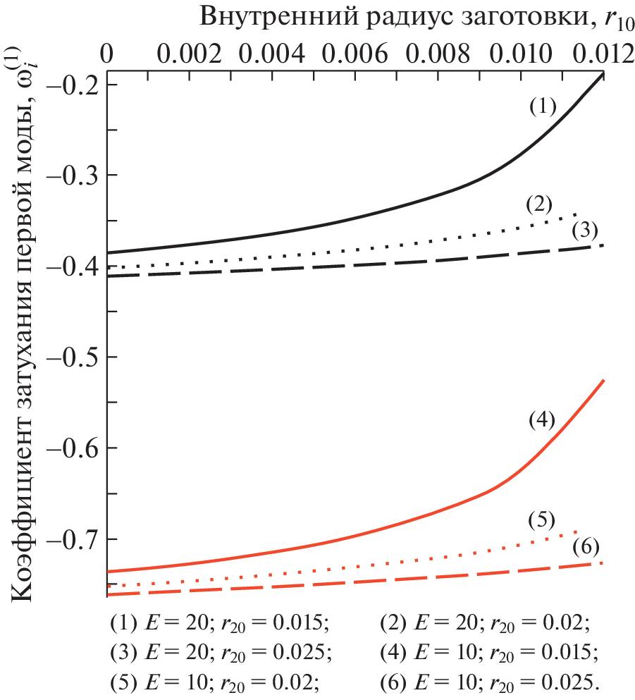
Solving the problem of the stability of the manufacturing process (“drawing”) of microstructured optical fibers (“holey fibers”) is of paramount importance for determining effective technological modes of production. In this study, the modified capillary drawing model proposed by the authors, which takes into account inertial, viscous, and surface tension forces, as well as all types of heat transfer, was used. Based on the linear theory of stability, the regions of stability of the capillary drawing process were determined. During the study, the influence of the drawing ratio and inertia forces (Reynolds number) on the stability of the process under consideration was evaluated. The existence of optimal parameters of the heating element is shown: temperature distribution over the furnace surface and furnace radius at which the stability of the process of drawing quartz tubes increases significantly (several times).
We’re sorry, something doesn't seem to be working properly.
Please try refreshing the page. If that doesn't work, please contact support so we can address the problem.
About the authors
V. P. Pervadchuk
Perm National Research Polytechnic University
Email: al_derevyankina@mail.ru
614990, Perm, Russia
D. B. Vladimirova
Perm National Research Polytechnic University
Email: al_derevyankina@mail.ru
614990, Perm, Russia
A. L. Derevyankina
Perm National Research Polytechnic University
Author for correspondence.
Email: al_derevyankina@mail.ru
614990, Perm, Russia
References
- Pendão C., Silva I. // Sensors. 2022. V. 22. P. 7554. https://doi.org/10.3390/s22197554
- Lin W., Zhang C., Li L., Liang S. // In Proceedings of the 2012 Symposium on Photonics and Optoelectronics. Shanghai. China. 21–23 May 2012. P. 1.
- Krohn D.A., MacDougall T., Mendez A. Fiber Optic Sensors: Fundamentals and Applications. Spie Press. Bellingham. WA. 2014.
- Xiao F., Chen G.S., Hulsey J.L. // Sensors. 2017. V. 17. P. 2390. https://doi.org/10.3390/s17102390
- Padma S., Umesh S., Pant S., Srinivas T. // J. Biomedical Opt. 2016. V. 21. P. 86012. https://doi.org/10.1117/1.JBO.21.8.086012
- Kahandawa G.C., Epaarachchi J., Wang H., Lau K. // Photonic Sens. 2012. V. 2. P. 203. https://doi.org/10.1007/s13320-012-0065-4
- Qiao X., Shao Z., Bao W., Rong. Q. // Sensors. 2017. V. 17. P. 429. https://doi.org/10.3390/s17030429
- Nie M., Xia Y.H., Yang H.S. // Clust. Comput. 2019. V. 22. P. 8217. https://doi.org/10.1007/s10586-018-1727-9
- Wu T., Liu G., Fu S., Xing F. // Sensors 2020. V. 20. P. 4517. https://doi.org/10.3390/s20164517
- Reeves W., Knight J., Russell P., Roberts P. // Opt. Express 2002. 10. 609. https://doi.org/10.1364/oe.10.000609
- Habib M.A., Anower M.S., Hasan M.R. // Curr. Opt. Photon. 2017. V. 1. P. 567. https://doi.org/10.3807/COPP.2017.1.6.567
- Troia B., Paolicelli A., Leonardis F., Passaro V. // Adv. Photon. Cryst. 2013. V. 1. P. 241. https://doi.org/10.5772/53897
- Maidi A.M., Kalam M.A., Begum F. // Photonics. 2022. V. 9. P. 958. https://doi.org/10.3390/photonics9120958
- Griffin S. // Lc Gc North America. 2002. V. 20 (10). P. 928.
- Mcmican R. // Reinforced Plastics 2012. V. 56 (5). P. 9. https://doi.org/10.1016/S0034-3617(12)70110-8
- Xue C., Qin Y., Fu H., Fan J. // Polymers 2022. V. 14. P. 3372. https://doi.org/10.3390/ polym14163372
- Wang K.Y., Liu R.X., Zhang L., Yan Y.H., Sui X.Y., Zhou C.L., Cheng Z.Q. // IOP Conf. Series: Materials Science and Engin. 2019. P. 678. https://doi.org/10.1088/1757-899X/678/1/012076
- Fitt A.D., Furusawa K., Monro T.M., Please C.P. // J. Light. Technol. 2001. V. 19. P. 1924. https://doi.org/10.1109/50.971686
- Pervadchuk V., Vladimirova D., Gordeeva I., Kuchumov A.G., Dektyarev D. // Fibers 2021. V. 9. P. 77. https://doi.org/10.3390/fib9120077
- Lienard I.V., John H. A Heat Transfer Textbook. Phlogiston Press: Cambridge. MA. 2017.
- Fitt A.D., Furusawa K., Monro T.M., Please C.P., Lienard I.V., John H. // J. Light. Technol. 2001. V. 19. P. 1924. https://doi.org/10.1109/50.971686
- Drazin P.G., Reid W.H. Hydrodynamic Stability, Cambridge University Press. 2010. https://doi.org/10.1017/CBO9780511616938
- Morgan R. // Math. J. 2015. V. 16. P. 67.
- Rodríguez R.S., Avalos G.G., Gallegos N.B., Ayala-jaimes G., Garcia A.P. // Symmetry 2021. 13. 854. https://doi.org/10.3390/sym13050854
- Jung H.W., Hyun J.C. // Rheology Rev. 2006. V. 2006. P. 131.
- Bechert M., Scheid B. // Phys. Rev. Fluids 2017. V. 2. P. 10.1103. https://doi.org/10.1103/PhysRevFluids.2.113905
- Van der Hout R. // Europ. J. Appl. Math. 2000. V. 11. P. 129. https://doi.org/10.1017/S0956792599004118
- Hagen T., Langwallner B. // ZAMM·Z. Angew. Math. Mech. 2006. V. 86. P. 63. https://doi.org/10.1002/zamm.200410225
- Vasil’ev V.N., Dul’nev G.N., Naumchik V.D. // J. Engeen. Phys. 1988. V. 55. P. 918.
Supplementary files










