Дождевые черви гирканских лесов Азербайджана
- Авторы: Рапопорт И.Б.1, Шеховцов С.В.2, Снеговая Н.Ю.3,4, Керимова И.Г.3,4
-
Учреждения:
- Институт экологии горных территорий им. А.К. Темботова РАН
- Институт цитологии и генетики Сибирского отделения РАН
- Институт зоологии Министерства науки и образования Азербайджана
- Западно-Каспийский университет
- Выпуск: № 4 (2024)
- Страницы: 333-348
- Раздел: ОРИГИНАЛЬНЫЕ СТАТЬИ
- URL: https://bakhtiniada.ru/0024-1148/article/view/280317
- DOI: https://doi.org/10.31857/S0024114824040037
- EDN: https://elibrary.ru/PDMCCR
- ID: 280317
Цитировать
Полный текст
Аннотация
Происходящие климатические изменения оказывают влияние на почвы и почвенных беспозвоночных. Гирканские леса — реликтовый лесной массив, сохранившийся с третичного периода, расположенный в Иране и на юго-востоке Азербайджана. Публикаций, посвященных дождевым червям азербайджанской части гирканских лесов, не выявлено. Цель работы — изучение фауны, структуры населения и биотопического распределения дождевых червей естественных и нарушенных биогеоценозов низинных гирканских лесов Азербайджана. Материал собран в Гирканском национальном парке. При обработке данных использованы встречаемость, средняя и относительная численность. Рассчитаны индексы доминирования, биоразнообразия, выравненности и коэффициенты вариации синэкологических характеристик. Ядро фауны дождевых червей гирканских лесов формируют люмбрициды с закавказским и туранским распространением, а также виды средиземноморского генезиса. На участках леса, в которых эдификатором древесного яруса является дуб каштанолистный, таксоцены характеризуются стабильным видовым составом, небольшими значениями общей численности и значительной вариабельностью синэкологических индексов. Структура луговых таксоценов зависит от локализации биогеоценоза: на участках, окруженных дубравами, она формируется за счет лесных видов, в краевых сообществах заметны приток обитателей степной зоны и резкое возрастание общей численности дождевых червей, больший процент в общей численности составляют собственно-почвенные люмбрициды. В луговых таксоценах не отмечены подстилочные виды, редко и небольшой численностью встречаются средиземноморские, но выявлены космополиты. Во вторичных лесных биогеоценозах по сравнению с луговыми в хорологической структуре таксоценов дождевых червей на уровне тенденции возрастает представленность средиземноморских и достоверно — космополитных таксонов, среди морфо-экологических групп — подстилочных видов. Структура грабовых, пекановых и черноореховых таксоценов сбалансирована и разнообразна, включает редкие виды, в ней меньше представлены автохтонные элементы фауны.
Ключевые слова
Полный текст
Гирканские леса — реликтовый лесной массив на южном побережье Каспийского моря, сохранившийся с третичного периода. Представляет собой густые низинные и горные леса, примыкающие к берегам Каспийского моря в Иране и на юго-востоке Азербайджана. Флора гирканских лесов характеризуется обилием эндемичных и реликтовых видов (Гроссгейм, 1948; Гурбанов, 2007; Ramezani et al., 2023), образующих древостой, а иногда и ассоциации полидоминантного характера, целиком состоящие из реликтов. Особенность гирканских лесов — практически полное отсутствие хвойных, из которых встречаются только реликтовые таксоны. Эти смешанные леса в гораздо меньшей степени пострадали от холодного климата плейстоценовых ледниковых периодов, чем, например, лиственные леса в Северной Европе (Mittermeier et al., 2005; Erichsen et al., 2018), т. к. весь Гирканский регион в плейстоцене был свободен от ледников (Sagheb-Talebi et al., 2014). Фауна дождевых червей гирканских лесов изучена слабо. Известны только 2 работы, выполненные в Иране (Latif et al., 2021а, 2021б). В гирканских лесах выявлен 31 вид дождевых червей, причем часть из них — в антропогенно измененных местообитаниях. Несмотря на обширный материал, исследованный W. Michaelsen в Тифлисском музее (Michaelsen, 1907), и масштабные работы, проведенные в Талыше Э. Ш. Квавадзе (Квавадзе, 1985; Kvavadze, 1999), мы можем лишь предположительно говорить о видовом составе дождевых червей, обитающих в гирканских лесах, т. к. указания на биотопическую приуроченность сборов большей частью отсутствуют.
Цель работы — изучение фауны, структуры населения и биотопического распределения дождевых червей естественных и нарушенных биогеоценозов низинных гирканских лесов Азербайджана.
ОБЪЕКТЫ И МЕТОДИКА
Полевые работы проведены с 26 июня по 1 июля 2023 г. в Гирканском национальном парке и на прилегающих территориях на высотах 5—331 м над ур. м. Границами биогеоценоза считали пространственно однородный фитоценоз. Название фитоценозов давали по доминирующим видам древостоя (табл. 1). Для каждого фитоценоза представлены формулы и сомкнутость древостоя, характер напочвенного покрова, общее проективное покрытие (ОПП) (Андреева и др., 2002). Номенклатура видов приведена по работе А. С. Зернова (2006). В общей сложности были исследованы дождевые черви 21 биогеоценоза. Для изучения влияния хозяйственной деятельности на фауну и население дождевых червей мы выбрали коренные дубовые биогеоценозы: дуб каштанолистный (Quercus castaneifolia C. A. Mey.) дубовые, т.к. является эдификатором, формирующим высотный пояс растительности, и грабовые, т. к. формации с преобладанием граба (Carpinus caucasicus L.) на Кавказе часто носят вторичный характер (Нечаев, 1960; Yakhyaev et al., 2021), а также пекановые, черноореховые и луговые (табл. 1). Дубовокаштанолистные участки леса характеризуются большей сомкнутостью древесного полога по сравнению с остальными изученными лесными формациями.
Таблица 1. Краткая характеристика мест сбора материала и число собранных проб в Гирканском заповеднике (Талыш, Юго-Восточный Кавказ)
Биогеоценоз | № | Фитоценозы | Формула древостоя | Сомкнутость крон | ОПП, % | Географические координаты |
Дубовые | 1 | Дубовокаштанолистный мертвопокровный с паротией и аистником | 9Д + П | 0.7 | 5 | 38.670968˚N; E48.769270˚E |
2 | Дубовокаштанолистный мертвопокровный с грабом и паротией | 8Д + Г + П | 0.6 | 3—5 | 38.671285˚N; E48.769512˚E | |
3 | Грабово-дубовокаштанолистный мертвопокровный | 8Д + 2Г | 0.7 | 3—5 | 38.681356˚N; E48.787016˚E | |
4 | Паротиево-грабово-дубовокаштанолистный с папоротником и злаками | 5Д + 3Г + 2П | 0.8 | 80 | 38.790040˚N; E48.735815 ˚E | |
5 | Грабово-дубовокаштанолистный с кленом бархатным разнотравный | 6Д + 3Г + К | 0.8 | 70 | 38.671610˚N; E48.767983˚E | |
Послелесные луга | 6 | Разнотравно-злаковый с бузиной и держидеревом | — | 95 | 38.671757˚N; E48.767716˚E | |
7 | Клеверово-злаковый | 100 | 38.681356˚N; 48.787018˚E | |||
8 | Ковылево-клевероопрокинутый | 100 | 38.782535˚N; E48.729939˚E | |||
Грабовые | 9 | Дубовокаштанолистно-грабовый с кленом бархатным разнотравный | 5Г + 4Д + К | 0.5 | 70 | 38.671757˚N; E48.767716˚E |
10 | Грабовник с кленом мертвопокровный | 9Г + К | 0.8—0.9 | 0 | 38.670968˚N; E48.766482˚E | |
11 | Кленово-грабовый разнотравно-злаковый | 6Г + 4К | 0.6 | 30 | 38.670968˚N; 48.766485˚E | |
12 | Кленово-грабовый разнотравный | 6Г + 4К | 0.6 | 30 | 38˚40´24,2976ʺN; 48˚45ˊ24,786ʺE | |
13 | Грабовник мертвопокровный | 9Г + Д | 0.5 | 5 | 38.746205˚N; 48.611165˚E | |
14 | Кленово-грабовый с бузиной | 6Г + 4К | 0.5 | 30 | 38.746207˚N; E48.611163˚E | |
15 | Кленово-грабовый зеленомошно-разнотравный | 6Г + 4К | 0.3 | 70 | 38.7462000˚N; 48.611163˚E | |
Черноореховые | 16 | Грабово-черноореховый разнотравно-злаковый с паротией-1 | 6О + 3Г + П | 0.4 | 30 | 38.673736˚N; 48.735308˚E |
17 | Грабово-черноореховый разнотравно-злаковый с паротией-2 | 6О + 3Г + П | 0.4—0.5 | 30 | 38.673740˚N; 48.735325˚E | |
18 | Грабово-черноореховый разнотравно-злаковый с подростом граба и клена | 7О + 3Г | 0.5 | 45 | 38.673267˚N; 48.739070˚E | |
Пекановые | 19 | Грабово-пекановый мертвопокровный-1 | 7П + 2Г + К | 0.5 | 3 | 38.744099˚N; 48.609578˚E |
20 | Грабово-пекановый мертвопокровный-2 | 7П + 2Г + К | 0.5 | 3 | 38.744081˚N; 48.609564˚E | |
21 | Кленово-грабово-пекановый разнотравно-злаковый | 6П + 2Г + 2К | 0.4 | 30 | 38.671614˚N; 48.767980˚E | |
Примечание. Д — дуб каштанолистный, Г — граб кавказский, П — паротия персидская, К — клен бархатистый. ОПП — общее проективное покрытие напочвенного покрова.
Дубу сопутствуют граб, паротия (Parrotia persiсa C. A. Mey.), клен бархатистый (Acer velutinum Boiss.) и др. В дубовокаштанолистных мертвопокровных лесах 3—5 % ОПП занимают ежа сборная (Dactylis glomerata L.), коротконожка (Brachypodium pinnatum (L.) Beauv.) и осоки. В разнотравных и злаково-разнотравных дубравах в состав травяного яруса входят первоцвет (Primula macrocalyх Bunge), гравилат (Geum urbanum L.), сочевичник (Оrobus hirsutus Thunb.), подмаренник (Galium sр.), осоки лесная (Carex sylvatica Huds.) и прерванная (Carex divulsa Stokes), каприфоль (Lonicera caрrifolium L.), земляника (Fragaria vesca L.), мятлик луговой (Poa рratensis L.), звездчатка (Stellaria holostea L.) и др. Характерны заросли сассапариля (Smilax excelsa L.) и плющей. Широкая экологическая амплитуда граба обуславливает формирование разнообразных группировок грабовых лесов. Грабовые леса с включением кленов, дуба каштанолистного и ясеня характеризуются небольшой полнотой (0.3—0.6) и светопроницаемой кроной. В грабовых лесах развит подлесок (лещина обыкновенная (Corylus avellana (L.) H. Karst.), мушмула германская (Mesрilus germanica L.), калина гордовина (Viburnum lantana L.) и др.), встречаются лианы. В травяном покрове те же виды, что и в дубравах. Пекан (Carya illinoinensis (Wangenh.) K. Koch) и орех черный (Juglans nigra L.) — интродуценты из Северной Америки (Бородина и др., 1966), их посадки ранее имели хозяйственное значение. Сейчас древесный полог разбавлен грабом и кленом, характерен подлесок из этих пород и паротии персидской. Луга со всех сторон окружены лесами, за исключением ковылево-клевероопрокинутого луга, занимающего окраинное положение по отношению к лесному массиву, в структуре травостоя преобладают бобовые и злаки. Все исследованные биогеоценозы занимают плакорные положения или высокие надпойменные террасы. В последнем случае почти всегда наблюдается заболачивание.
Геоботанические описания и почвенно-зоологические исследования выполнены на пробных площадках 30×30 м. Для учета червей в пределах каждого биогеоценоза по общепринятой методике отобраны 8—10 почвенно-зоологических проб размером 25×25 см. Почва выбиралась на глубину встречаемости, т. е. до тех пор, пока не переставали обнаруживаться ходы и следы жизнедеятельности дождевых червей и других беспозвоночных (Гиляров, 1975; Römbke et al., 2005) или раскопки достигали грунтовых вод. Таксономическая идентификация материала и характеристика морфо-экологических форм выполнены с использованием литературных сводок (Перель, 1979; Всеволодова-Перель, 1997; Csuzdi., Zicsi, 2003; Römbke et al., 2005; Szederjesi et al., 2018а, 2018б; и др.). Ареалы приведены в соответствии с правилами (Городков, 1984). При обработке результатов для каждой выборки оценивали видовое богатство и среднюю численность дождевых червей. Для изучения структуры таксоценов в разных типах биогеоценозов сравнили численность жизненных форм и хорологических групп. Для характеристики сообществ дождевых червей использовали встречаемость (%) — относительное число проб, в которых отмечен вид, морфо-экологическая, хорологическая группа (Чернов, 1975). Для сравнительного анализа таксоценов использовали наиболее часто употребляемые индексы: Шеннона, Симпсона и Пиелу (Одум, 1975; Чернов, 1975). Индекс биоразнообразия Шеннона учитывает одновременно два параметра разнообразия — видовое богатство и соотношение численностей видов. Он почти не зависит от величины выборки и позволяет сравнивать между собой сообщества с разным числом видов (Лебедева и др., 2004). Дополнительно для сравнения «концентрации» доминирования был выбран индекс Симпсона, для оценки «выравненности» численности видов — индекс Пиелу. Вариативность синэкологических показателей таксоценов дождевых червей оценивали с помощью коэффициента вариации (CV) (Лакин, 1973). Статистический анализ проводили с помощью PAST v. 3.12 и программного обеспечения Statistica 10. Во всех случаях распределения переменных величин, характеризующих структуру населения, отклонялись от нормального. Поэтому в статистических расчетах использовали относительную численность (доля общего числа экземпляров вида в биогеоценозе по отношению к совокупной выборке). Так как выборки, сформированные по виду-эдификатору, имеют разный объем, для сравнения таксоценов использовали тест Манна—Уитни. Общую картину связей между таксоценами дождевых червей определяли с помощью метода классификации по уровню сходства состава и морфо-экологической и хорологической структуры люмбрикофауны (метод Уарда).
Краткая физико-географическая характеристика района исследований. В Азербайджане гирканские леса занимают аккумулятивную равнину Ленкоранской низменности и складчатые горы Талыша. Ленкоранская низменность и Талыш являются восточным форпостом Передней Азии (Соколов, Темботов, 1989). Прибрежная часть Ленкоранской низменности занята многочисленными озерами и болотами (Гулисашвили, 1964). Согласно зоогеографическому районированию, район распространения гирканских лесов относится к талышскому варианту переднеазиатского (пустынного) типа поясности (Соколов, Темботов, 1989). Климат влажный субтропический, горы способствуют конденсации влаги, приносимой с Каспийского моря, среднегодовое количество осадков достигает 1225 мм. Максимум их выпадает осенью, наименьшее количество — весной и летом. Среднегодовая относительная влажность — 70—80 % (Гулиева, 2018). Среднегодовая температура — 14.7 ˚С, лето жаркое, со средней температурой июля 25.8 ˚С. (Convention on climate change… 2015; Гулиева, 2018). Зима умеренно теплая, средняя температура января — 3.3 ˚С, что объясняется доступностью территории вторжению холодных воздушных масс, чье влияние лишь немного сглаживается Каспийским морем. Почвы — красноземы, желтоземы и перегнойно-карбонатные (Гурбанов, 2007).
РЕЗУЛЬТАТЫ
Фауна. На исследованной территории зарегистрированы 15 видов дождевых червей (табл. 2), принадлежащих к 6 родам семейства Lumbricidae Claus, 1876: Dendrobaena hyrcanica Kvavadze & Nikolashvili, 1979, Dendrobaena hortensis (Michaelsen, 1889), Dendrobaena daghestanensis (Michaelsen, 1907), Dendrobaena alpina alpina (Rosa, 1884), Dendrobaena parabyblica Perel, 1972, Dendrobaena succinta (Rosa, 1905), Dendrobaena veneta (Rosa, 1886), Aporrectodea jassyensis (Michaelsen, 1891), Aporrectodea rosea (Savigny, 1826), Aporrectodea trapezoides (Dugesi, 1828), Eisenia fetida (Savigny, 1826), Eisenia eutypica (Michaelsen, 1910), Eiseniella tetraedra (Savigny, 1826), Perelia kaznakovi (Michaelsen, 1910), Bimastos parvus (Eisen, 1874) (табл. 2). Наибольшим таксономическим богатством выделялся род Dendrobaena Eisen 1873, представленный семью видами. Род Aporrectodea Örley, 1885 включает три, Eisenia Malm, 1877 — два, остальные — по одному виду. Среди выявленных люмбрицид три закавказских эндемика (20 %), четыре вида (26.7 %) со средиземноморским типом ареала и по одному — с туранским и альпийско-балкано-кавказским (табл. 2). Космополитные и голарктические виды составляют 40 % от общей фауны. В морфо-экологической структуре преобладают собственно-почвенные виды (40 %), меньше всего подстилочных люмбрицид (26.7 %). Норники не выявлены. Абсолютный доминант — D. hyrcanica — отмечен практически во всех исследованных биогеоценозах. Суммарная численность вида составляет почти половину от общей численности дождевых червей изученного района, наибольшее обилие отмечено в грабовниках (табл. 2). Ядро фауны люмбрицид формируют еще два вида: A. jassyensis и D. daghestanensis. Встречаемость первого выше всего в дубравах, он обычен для всех таксоценов, кроме пекановых. Максимальное обилие и встречаемость D. daghestanensis отмечены в грабовниках, не зарегистрирован этот вид на лугах. В трех типах биогеоценозов найдены P. kaznakovi, E. t. tetraedra, D. hortensis и D. veneta. Perelia kaznakovi характерен для большинства дубовых, луговых и части грабовых таксоценов, амфибионт E. t. tetraedra — для пекановых, а также ряда грабовых и черноореховых. У D. hortensis и D. veneta отмечен сходный тип распределения, они отмечены в одном грабовнике и посадках черного ореха и пекана. Остальные виды встречаются редко, в основном во вторичных биогеоценозах.
Таблица 2. Видовой состав, численность (экз./м2, X ± SE), встречаемость (% проб, в которых найден вид) дождевых червей и их принадлежность к хорологическим и морфо-экологическим формам в естественных и нарушенных биогеоценозах гирканских лесов Азербайджана
Биогеоценозы | № | n | D. hyrcanica | A. jassyensis | P. kaznakovi | D. daghestanensis | E. tetraedra | D. hortensis | A. trapezoides | D. veneta | D. succinta | E. fetida | A. rosea | D. alpina | D. parabyblica | A. parva | E. eutupica | |||||||
Дубовые | 1 | 8 | 18 ± 3 | 16 ± 4 | 14 ± 3 | 32 ± 6 | - | - | - | - | - | - | - | 3 ± 1 | - | - | - | |||||||
2 | 10 | 32 ± 5 | 20 ± 4 | 20 ± 5 | - | - | - | - | - | - | - | - | - | - | - | - | ||||||||
3 | 10 | 34 ± 6 | 3 ± 1 | 3 ± 1 | - | - | - | - | - | - | - | - | - | - | - | - | ||||||||
4 | 10 | 32 ± 5 | 4 ± 1 | 12 ± 3 | - | - | - | - | - | - | - | - | - | - | - | - | ||||||||
5 | 10 | 32 ± 6 | 4 ± 1 | - | - | - | - | - | - | - | - | - | - | - | - | - | ||||||||
Встречаемость, % | 48 | 100 | 100 | 68 | 15 | - | - | - | - | - | - | - | 15 | - | - | - | ||||||||
Послелесные луга | 6 | 8 | 5 ± 2 | 11 ± 3 | 11 ± 3 | - | - | - | - | - | - | - | - | - | - | - | - | |||||||
7 | 8 | 27 ± 6 | - | 11 ± 3 | - | - | - | - | - | - | - | - | - | - | - | - | ||||||||
8 | 8 | 192 ± 46 | - | - | - | - | - | 32 ± 6 | - | - | - | - | - | - | - | - | ||||||||
Встречаемость, % | 24 | 96 | 26 | 70 | - | - | - | 33 | - | - | - | - | - | - | - | - | ||||||||
Грабовые | 9 | 8 | 133 ± 12 | - | 11 ± 3 | 21 ± 4 | - | - | - | - | - | - | - | - | - | - | - | |||||||
10 | 8 | 101 ± 16 | 6 ± 2 | - | 21 ± 3 | 32 ± 6 | - | 32 ± 6 | - | - | - | - | - | - | - | - | ||||||||
11 | 8 | 53 ± 10 | 53 ± 10 | 107 ± 23 | - | - | - | 16 ± 4 | - | - | - | - | - | - | - | - | ||||||||
12 | 8 | 40 ± 7 | - | - | 56 ± 10 | - | - | - | - | - | - | - | - | - | - | 8 ± 2 | ||||||||
13 | 8 | 91 ± 21 | - | - | - | 21 ± 5 | - | - | - | 5 ± 1 | 6 ± 2 | - | - | - | - | - | ||||||||
14 | 8 | 48 ± 12 | - | - | - | 48 ± 12 | - | - | - | - | - | 16 ± 5 | - | - | - | - | ||||||||
15 | 8 | 96 ± 16 | - | - | 27 ± 6 | 176 ± 34 | 11 ± 4 | - | 5 ± 1 | - | - | - | - | - | - | - | ||||||||
Встречаемость, % | 56 | 100 | 25 | 40 | 57 | 57 | 14 | 28 | 14 | 14 | 14 | 14 | - | - | - | 14 | ||||||||
Черноореховые | 16 | 8 | 60 ± 15 | 52 ± 12 | - | 16 ± 4 | - | 8 ± 3 | - | 12 ± 4 | - | - | - | - | - | - | - | |||||||
17 | 8 | 45 ± 12 | 38 ± 10 | - | 16 ± 4 | 5 ± 2 | - | 6 ± 2 | - | - | - | - | - | - | - | |||||||||
18 | 8 | 48 ± 12 | - | - | - | 48 ± 12 | - | - | - | - | - | - | - | - | 16 ± 4 | - | ||||||||
Встречаемость, % | 24 | 100 | 50 | - | 100 | 46 | 46 | - | 46 | - | - | - | 46 | - | ||||||||||
Пекановые | 19 | 8 | 12 ± 4 | - | - | - | 8 ± 3 | 8 ± 3 | - | - | 4 ± 1 | - | - | - | 12 ± 3 | - | - | |||||||
20 | 8 | 16 ± 5 | - | - | - | 9 ± 3 | 8 ± 2 | - | - | 6 ± 2 | - | - | - | 10 ± 2 | - | - | ||||||||
21 | 8 | - | - | - | 11 ± 3 | 11 ± 3 | 37 ± 6 | - | 48 ± 6 | - | 64 ± 9 | - | - | - | - | - | ||||||||
Встречаемость, % | 24 | 75 | - | - | 50 | 75 | 75 | - | 50 | 50 | 50 | - | - | 50 | - | - | ||||||||
Ареал | Зкэ | Ср | Паз | Зкэ | К | Ср | К | Ср | Ср | К | К | АБК | Зкэ | Гл | Гл | |||||||||
Морфо-экологическая форма | СП | СП | ПП | СП | П | П | СП | ПП | ПП | ПП | СП | ПП | СП | П | П | |||||||||
Примечание. n — число выбранных проб; тип ареала: Зкэ — закавказский эндемичный, Ср — средиземноморский, Т — туранский, АБК — альпийско-балканско-кавказский, Гл — голарктический, К — космополитный; морфо-экологическая форма: СП — собственно-почвенный, ПП — почвенно-подстилочный, П — подстилочный. Жирным шрифтом выделены доминирующие виды. Название биогеоценозов — как в табл. 1.
Население дождевых червей исследованных формаций. В почвах лесов с преобладанием дуба каштанолистного зарегистрированы 5 видов дождевых червей. Доминирует D. hyrcanica, содоминанты — A. jassyensis и P. kaznakovi. Единично выявлены D. daghestanensis и D. alpina. Видовое богатство — 2—5 видов (табл. 2). Таксоцены характеризуются невысокой общей численностью, преобладанием закавказских эндемиков и частой до 100 %, встречаемостью средиземноморских и туранских видов (табл. 2, рис. 1).
Рис. 1. Средняя численность морфо-экологических (а) и хорологических (б) групп дождевых червей. Названия биогеоценозов – как в табл. 1.
Космополитов и голарктов не выявлено. Dendrobaena alpina c редким типом ареала не относится к характерным для дубрав видам из-за низких численности и встречаемости. В морфо-экологической структуре доминируют собственно-почвенные люмбрициды. Подстилочных видов не зарегистрировано.
На лугах наиболее многочисленен D. hyrcanica, часто встречается P. kaznakovi. В одном из луговых биогеоценозов, окруженных участками леса, найден A. jassyensis (табл. 2), на краевом лугу, примыкающем к лесному массиву, — A. trapezoides. Видовое богатство — 2—3 вида. На первых двух участках преобладают закавказские эндемики, отмечены средиземноморские и туранские таксоны (рис. 1). Население луга, примыкающего к лесному массиву, отличается от двух других высокой общей численностью дождевых червей и наличием космополитов. Среди морфо-экологических групп наиболее многочисленны собственно-почвенные дождевые черви, не зарегистрированы подстилочные таксоны (рис. 1).
Не менее 12 видов дождевых червей обитает в грабовниках (табл. 2). Доминирует D. hyrcanica, редко — E. t. tetraedra и P. kaznakovi или D. daghestanensis, причем последний вид встречается часто. Значительное число видов — A. trapezoides, A. rosea, D. succinta, E. fetida и E. eutupica — отмечено в 1—2 биогеоценозах, преимущественно с близким выходом грунтовых вод. Общая численность люмбрицид достигает высоких значений (до 315 экз./м2). В хорологической структуре более чем в половине случаев доминируют закавказские эндемики (рис. 2), встречаемость и численность средиземноморских и туранских видов в грабовых таксоценах невелики. Космополиты попадаются более чем в двух третях проб, составляя до половины от общей численности дождевых червей. Единично и с небольшим обилием отмечены голаркты. Среди морфо-экологических групп наиболее обычны собственно-почвенные виды (рис. 1). Численность и встречаемость подстилочных люмбрицид значительно превышают данные характеристики почвенно-подстилочных.
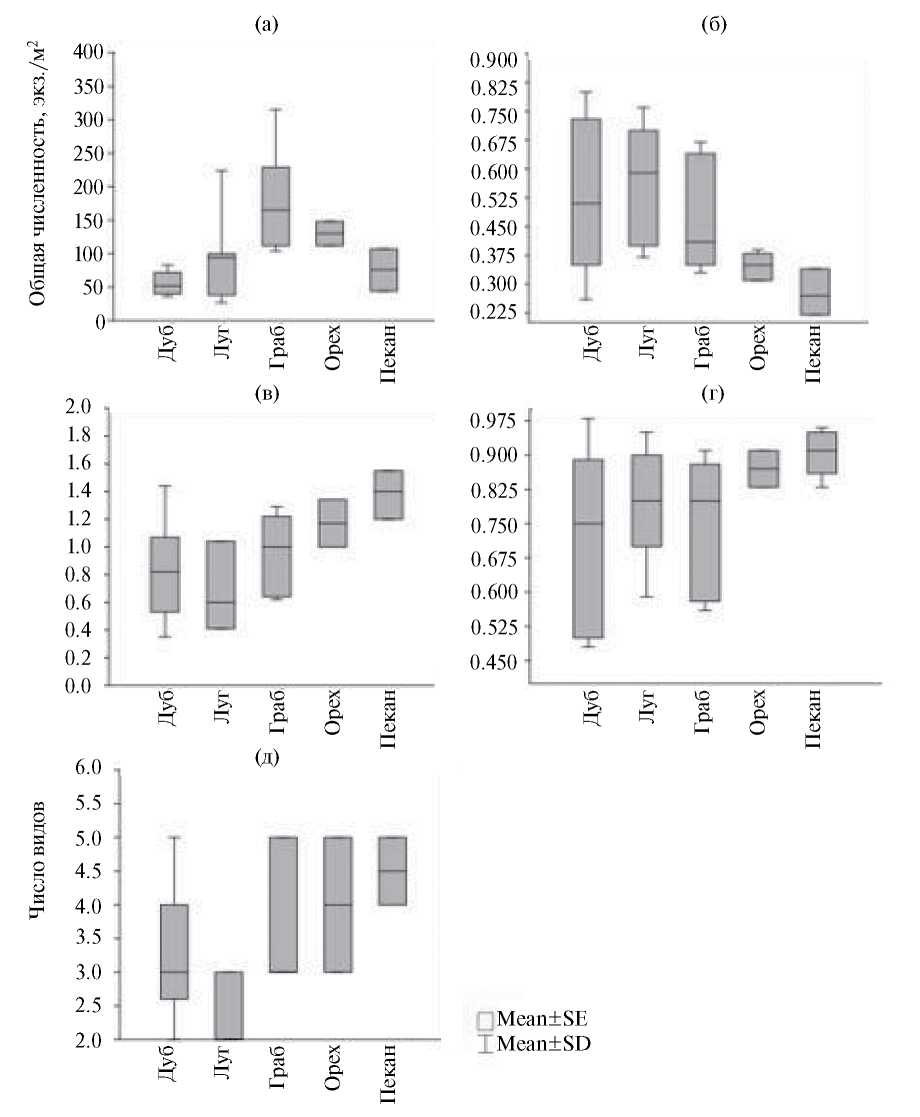
Рис. 2. Синэкологические характеристики таксоценов дождевых червей, обитающих в гирканских лесах: (а) — общая численность таксоцена, (б) — индекс Симпсона, (в) — индекс Шеннона, (г) — индекс Пиелу, (д) — видовое богатство.
В почве черноореховых биогеоценозов выявлены 7 видов дождевых червей, доминирует D. hyrcanica, обычны A. jassyensis и D. daghestanensis. Видовое богатство — 3—5 видов. Таксономическая структура двух черноореховых таксоценов кардинально отличается от таковой третьего, хотя местообитания схожи. Все биогеоценозы расположены на гидроморфных почвах и достаточно близко примыкают к населенным пунктам и офису национального парка. В первом и втором зарегистрированы D. hortensis и D. veneta, обычно обитающие по берегам водных источников, в третьем — амфибионт E. t. tetraedra, т. к. близко подступающие грунтовые воды выходят на поверхность. В этом же местообитании найден A. parva. Различия наблюдаются в хорологической и морфо-экологической структуре (рис. 1, 2). В третьем таксоцене средиземноморские дождевые черви замещаются широко распространенными — космополитами и голарктами. Морфо-экологическая структура первого и второго таксоценов сформирована преимущественно собственно-почвенными видами, две другие группы составляют незначительное меньшинство; в третьем преобладают подстилочные виды.
В пекановых таксоценах 8 видов, это единственный тип биогеоценозов, где встречаемость D. hyrcanica минимальна (50 %). К числу доминантов и субдоминантов также относятся E. fetida, D. parabyblica и D. veneta. В каждом биоценозе отмечены по 5 видов. В первых двух таксоценах более половины общей численности дождевых червей составляют закавказские эндемики, далее следуют средиземноморские виды и космополиты; в третьем соотношение групп имеет обратный порядок (рис. 2). Первые два таксоцена сформированы преимущественно собственно-почвенными и подстилочными видами, в третьем больше всего питающихся на поверхности почвы видов и мало собственно-почвенных (рис. 1).
Синэкологические характеристики таксоценов. Максимальная общая численность дождевых червей отмечена в грабовых, наименьшая — в дубовых таксоценах (рис. 3).
Рис. 3. Относительная численность дождевых червей гирканских биогеоценозов: ось OX — биогеоценозы с доминированием в древесном ярусе 1 — дуба каштанолистного, 2 — луговые биогеоценозы, 3 –граба кавказского, 4 — ореха черного, 5 — пекана; ось OY — относительная численность, экз./м2.
Лесные сообщества характеризуются увеличением биотопического видового богатства и расчетных средних значений индексов биоразнообразия (Шеннона) и выравненности (Пиелу) в ряду: дубовые → грабовые → черноореховые → пекановые, у индекса доминирования отмечена обратная тенденция (рис. 3). У дождевых червей луговых биогеоценозов отмечены высокое среднее значение индекса доминирования, минимальное — биоразнообразия. Среднее значение индекса Пиелу сравнимо с таковым в грабовых таксоценах. Наибольшая изменчивость большинства синэкологических показателей выявлена у дождевых червей, обитающих в дубовых биогеоценозах, наименьшая — в черноореховых (индексы Симпсона и Пиелу) и пекановых (биотопическое видовое богатство, индекс Шеннона) (рис. 2). Общая численность сильнее всего изменялась в грабовых таксоценах и минимально — в черноореховых.
Сравнение выборок с помощью непараметрического теста Манна—Уитни. Наиболее выраженные различия наблюдаются между таксоценами дубрав и грабовников в относительной численности закавказских и собственно-почвенных видов (рис. 3), близок к достоверному результат сравнения относительной численности космополитных и подстилочных видов. У закавказских таксонов различия выявлены также между таксоценами грабовников и черноореховых биогеоценозов, близка к достоверному разница между этими таксоценами в относительной численности подстилочных люмбрицид (рис. 4). Сравнение луговых и дубовых таксоценов Манна—Уитни показало, что по всем признакам хорологической и морфо-экологической структуры, кроме относительной численности космополитных видов, они принадлежат одной генеральной совокупности. Грабовые таксоцены, помимо обозначенных различий с дубовыми, имеют достоверные различия в относительной численности средиземноморских видов с пекановыми. Черноореховые очень слабо и недостоверно отличаются от пекановых относительной численностью собственно-почвенных видов, от дубовых — в представленности подстилочных (рис. 4). Таким образом, наиболее выраженные различия выявлены между таксоценами дубрав и грабовников, все остальные различия представлены на уровне тенденции. Маркерными характеристиками таксоценов, позволяющих разделить выборки в исследуемом районе с помощью теста Манна—Уитни, является относительная численность космополитов и собственно-почвенных видов.
Рис. 4. Сравнение морфо-экологической и хорологической структуры таксоценов дождевых червей, выполненное методом Уарда (достоверность 0.152).
Кластерный анализ. Сравнение морфо-экологической и хорологической структуры населения дождевых червей с помощью метода Уарда показало: выборка достоверно делится на три кластера (рис. 5). К первому относятся таксоцены дубрав, двух луговых участков, расположенных среди леса, и двух пекановых биогеоценозов. Они характеризуются наименее вариабельной хорологической и морфо-экологической структурой и небольшой общей численностью. Грабовые таксоцены дистанцируются на второй и третий кластеры. Ко второму кластеру относятся маловидовые сообщества с выравненной средней численностью и более богатые таксономически, но вариабельные по численности. На разных уровнях они группируются с черноореховыми таксоценами. Третий кластер — с выраженным доминированием одной морфо-экологической и хорологической группы, к которому помимо трех грабовых относится краевой луговой таксоцен.
ОБСУЖДЕНИЕ РЕЗУЛЬТАТОВ
На небольшой территории выявлено 15 видов дождевых червей, т. е. около 18 % видов, известных для Кавказа (Перель, 1979; Квавадзе, 1985; Всеволодова-Перель, 1997; Kvavadze, 1999; неопубликованные данные). Семь видов относятся к средиземноморскому роду Dendrobaena. К автохтонной фауне относятся виды с закавказским, средиземноморским и туранским распространением. Эндемизм фауны — 20 %, три вида — закавказские эндемики. Ареалы этих видов не вполне понятны: собранные до 2018 г. материалы требуют проверки. Dendrobaena hyrcanica и D. daghestanensis долгое время указывались как D. byblica (Szederjesi, 2018а, 2018б). Третий вид — D. parabyblica — известен по спорадическим находкам в центральной и восточной частях Закавказья (Перель, 1979). Ареал P. kaznakovi — туранский, помимо Закавказья, включает территории Передней и Центральной Азии (Lumbricidae/List of species… 2024). P. Omodeo (1952) относил средиземноморские виды к наиболее древней фауне Кавказа. В наших сборах таких четыре вида, из них два (D. hortensis и D. veneta) в настоящее время распространены более широко по причине использования в вермикультурах (Csuzdi, Zicsi, 2003). Естественный ареал этих видов ограничен Средиземноморской областью Голарктики. Вклад широко распространенных видов меньше, чем в большинстве районов Кавказа (Рапопорт, 2013; Гераськина, Шевченко, 2021; и др.). Нетипичный для Кавказа голаркт A. parva отмечен вблизи офиса национального парка, скорее всего, завезен с посадочным материалом.
Барьерная роль Талышского хребта обусловливает конденсацию влаги, приносимой с Каспийского моря, и обильное выпадение осадков (Соколов, Темботов, 1989). Процессы заболачивания, характерные для нижних высотных поясов талышского варианта поясности, неблагоприятны для норной морфо-экологической группы, не зарегистрированной в наших пробах. Однако режим поступления осадков носит амплитудный характер, и период весна-лето является засушливым (Гулиева, 2018). Этот факт наряду с другими адаптациями и определяет, на наш взгляд, высокую представленность в фауне собственно-почвенных видов. Люмбрициды, относящиеся к этой морфо-экологической группе, по сравнению с подстилочными и почвенно-подстилочными видами, лучше защищены от неблагоприятных погодных условий, т. к. обитают в более глубоких слоях почвы и отличаются способностью к диапаузе (Перель, 1979). Кроме того, считается, что собственно-почвенные дождевые черви хорошо переносят недостаток кислорода в почве, часто возникающий при затоплении биогеоценозов (Kiss et al., 2021). По мере того, как почвенная влага и органическое вещество рассеиваются вдоль гипсометрического профиля, переходы между кислородными и бескислородными зонами становятся более плавными и образуется больше областей, существующих с частичной оксигенацией. Поэтому виды, живущие в глубоких почвенных слоях, лучше адаптированы к обитанию в диапазонах с гетерогенностью и низким уровнем кислорода в почве.
Доминирует в подавляющем большинстве биогеоценозов собственно-почвенный вид D. hyrcanica. Ядро фауны дубовых и луговых таксоценов, помимо него, формируют собственно-почвенный A. jassyensis и почвенно-подстилочный P. kaznakovi. Мы считаем, что D. hyrcanica и D. daghestanensis характеризуются разными экологическими требованиями. D. hyrcanica отмечен в почвах всех исследованных формаций, тогда как D. daghestanensis обычен для грабовников, пекановых и ореховых биогеоценозов. Как и ожидалось, наши исследования подтвердили, что A. jassyensis в большей степени лесной вид, нахождение которого на лугах свидетельствует либо об их вторичном характере, либо о миграции с близко расположенных участков леса. Большинство редких видов отмечено во вторичных биогеоценозах в околоводных и заболоченных местообитаниях.
В низинных гирканских лесах дуб каштанолистный является основной образующей высотный пояс породой (Гулисашвили, 1964; Mammadov et al., 2021). Эдификаторная роль дуба проявляется в формировании специфичной фауны дождевых червей, состав которой мало меняется от биогеоценоза к биогеоценозу. В фауне реликтовых дубрав отсутствуют широко распространенные таксоны дождевых червей и наиболее выражена хорологическая связь с Передней Азией. Известно, что привлекательность подстилки для дождевых червей снижается с увеличением содержания плохо разлагаемого лигнина и танинов — репеллентов, относящихся к фенольным соединениям, и возрастает с увеличением концентрации N, P, K, Ca и Mg (Перель, Соколов, 1964; Стриганова, 1980; Zhang et al., 2008; Schelfhout et al., 2017; и др.). Виды рода Quercus по предпочитаемости дождевыми червями листового опада наиболее часто оказываются на одном из последних мест из-за избыточного содержания лигнина с танинами и недостаточного — макро- и микроэлементов (Стриганова, 1980; Hagen-Thorn, 2004; Reich et al., 2005; Fox et al., 2010; De Schrijver et al., 2012; Holdsworth et al., 2012; Schelfhout et al., 2017). Всего за несколько десятилетий древесные породы с медленно разлагающимся листовым опадом, в том числе виды рода дуб, закисляют почвы и создают гумусовые формы, отличные от таковых под видами с быстро разлагающимися богатыми питательными веществами подстилками (Hagen-Thorn et al., 2004; Reich et al., 2005; De Schrijver et al., 2012). В гирканских лесах древостой дуба разбавлен другими породами. Присутствие опада клена в подстилке приводит к более высокому разнообразию видов дождевых червей и росту их показателей обилия (Neirynck et al., 2000; Fox et al., 2010; и др.). Опад разного качества, различия в кислотности, гумусированности и гидроморфном режиме почв, вариабельность содержания танина и лигнина формируют различный фракционный состав гумуса и разную скорость разложения растительных остатков. Мозаичность среды обуславливает вариабельность синэкологических индексов, характеризующих таксоцены дождевых червей и их видового богатства (рис. 2). Качество опада формирует морфо-экологическую структуру таксоценов — в дубравах не отмечены первичные разрушители опада — подстилочные виды (рис. 1).
Фауна луговых таксоценов, образующихся при сведении леса, мало отличается от зарегистрированной в дубравах, но зависит от локализации биогеоценоза. Если луга расположены среди лесных массивов, таксономический состав близок к таковому расположенных рядом дубрав (табл. 2). Инсоляция почвы, особенно в условиях талышского варианта поясности, неблагоприятна для дождевых червей, поэтому основными тенденциями, отличающими луговые таксоцены от дубовых, являются снижение общей численности дождевых червей и возрастание обилия собственно-почвенных видов, а также большая вариабельность численности закавказских эндемиков (рис. 4). В краевом луговом таксоцене отмечен экотонный эффект — найден космополит, характерный для степной и полупустынной зоны Южного Кавказа (Квавадзе, 1985). В нем не зарегистрированы средиземноморские люмбрициды, но резко повышена общая численность, меньшее биоразнообразие и выравненность, чем в первых двух таксоценах, наиболее полно выражено доминирование.
Экологическая пластичность граба, позволяющая ему занимать разные по гидротермическому режиму местообитания и почвы, отличающиеся по мощности и гумусированности, определяет наиболее богатый таксономический спектр дождевых червей. Во всех исследованных грабовниках грунтовые воды близко подступают к поверхности почвы. По берегам и в руслах ручьев отмечена частая встречаемость амфибионта E. t. tetraedra. Там, где анаэробные условия ограничивают распространение крупных почвенно-подстилочных видов, их экологическую роль выполняют подстилочные, что вкупе с отсутствием в пробах норников косвенно объясняется процессами заболачивания почв, происходящих на Кавказе в условиях преобладания осадков над испаряемостью при переходе лесных биогеоценозов через луговую стадию (Шхагапсоев, Волкович, 2002; Caucasus Environment Outlook, 2002). Преимущественно лесной характер фауны и удаленность грабовых участков от границы со степными биогеоценозами позволяют говорить о том, что, по крайней мере, часть грабовых формаций является результатом лесовозобновления после предшествующих рубок. О предшествующей луговой стадии биогеоценозов, возможно, свидетельствуют и находки A. rosea и A. trapezoides — видов, экологический оптимум которых в том числе включает и степную зону (Рапопорт, 2013). По сравнению с луговыми и дубовыми таксоценами в грабовых возрастает численность космополитов, зарегистрированы голаркты (рис. 2). Ареалы широко распространенных видов не всегда связаны с физиологическими адаптациями. Наиболее часто за пределы своего оптимума они распространяются по околоводным местообитаниям, избегая неблагоприятных условий среды. Сложный состав древесного и травяного ярусов и влажность местообитаний определяют высокую общую численность люмбрицид, часто достигающуюся за счет обилия отдельных таксонов. Именно разница в соотношении численности хорологических и морфо-экологических групп выражается в разделении грабовых таксоценов на два кластера (рис. 5).
Черноореховые и пекановые таксоцены дождевых червей — многовидовые, в них максимальных величин достигают индексы биоразнообразия и выравненности, мало выражено доминирование. В большинстве из них отсутствуют A. jassyensis и P. kaznakovi, характерные для дубрав, но встречаются редкие виды. В пекановых таксоценах незначительно представлены закавказские эндемики и собственно-почвенные люмбрициды и наиболее полно — влаголюбивые средиземноморские, что в большей степени свидетельствует о влажности местообитаний, чем о влиянии эдификатора. Будучи хозяйственными посадками, ни черноореховые, ни пекановые биогеоценозы не формируют однородной, присущей только им хорологической или экологической структуры населения дождевых червей. Вероятно, из-за близости к естественным биогеоценозам и общности гидротермических условий часть пекановых таксоценов больше похожа на дубовые, а черноореховых — на грабовые.
Доминирование закавказских эндемиков, стабильность ядра фауны дождевых червей вторичных биогеоценозов позволяют говорить о том, что происходящие в процессе хозяйственной деятельности процессы обратимы. Подчеркивает сделанный вывод применение непараметрических методов, согласно которым по значительному числу параметров хорологической и морфо-экологической структуры исследованные биогеоценозы принадлежат одной генеральной совокупности. Мы считаем, что сведение леса в тылышском варианте поясности не так фатально, как, например, в эльбрусском, и при прекращении хозяйственной деятельности лесная сукцессия приведет к восстановлению естественных для этого высотного пояса формаций.
ЗАКЛЮЧЕНИЕ
В Гирканском заповеднике и на прилегающих территориях отмечено высокое таксономическое и хорологическое разнообразие дождевых червей. Ядро фауны слагают редкие в других районах Кавказа закавказские эндемики и туранский P. kaznakovi, а также таксоны средиземноморского генезиса. Дуб каштанолистный является мощным эдификатором, формирующим специфичную фауну дождевых червей. Так как дождевые черви являются сапрофагами, в значительной степени специфичность фауны связана со свойствами дубового опада, в составе которого значительный процент составляют плохо разлагаемый лигнин и танины, обладающие репеллентными свойствами. Таксоцены дубрав малочисленны и представлены автохтонными, преимущественно обитающими в глубоких почвенных слоях видами. Инсоляция почвы в луговых биогеоценозах способствует увеличению представленности собственно-почвенных люмбрицид. Видовой состав луговых таксоценов, как и обитателей других вторичных формаций, слагается за счет обитателей близко расположенных биогеоценозов. Во вторичных лесных таксоценах возрастает представленность широко распространенных видов, среди морфо-экологических групп — подстилочных люмбрицид. Их структура становится более сбалансированной и разнообразной, с высокой средней общей численностью дождевых червей. И если дуб каштанолистный формирует таксоцены с наиболее стабильным таксономическим составом люмбрицид, то грабовые и другие вторичные лесные биогеоценозы поддерживают общее их разнообразие, являясь рефугиумом широко распространенных, но редких в изученном районе видов. В посадках ореха черного и пекана происходят процессы восстановления коренных сообществ. Об этом свидетельствует как значительная примесь граба, дуба и клена, большое количество грабового и дубового подроста, так и таксономический состав дождевых червей, близкий к таковому в естественных биогеоценозах.
Отнесение гирканских лесов к наследию ЮНЕСКО, безусловно, оправдано. В охране, на наш взгляд, нуждаются три закавказских эндемика — D. hyrcanica, D. daghestanensis и D. parabyblica и туранский P. kaznakovi. Распространение на Кавказе этих реликтовых таксонов имеет локальный характер и связано c реликтовыми лесными биогеоценозами Закавказья.
***
Авторы чрезвычайно признательны Р. Х. Пшегусову за помощь в представлении графических данных.
Об авторах
И. Б. Рапопорт
Институт экологии горных территорий им. А.К. Темботова РАН
Автор, ответственный за переписку.
Email: iemt@mail.ru
Россия, ул. И. Арманд, д. 37а, Нальчик, Кабардино-Балкарская республика, 360000
С. В. Шеховцов
Институт цитологии и генетики Сибирского отделения РАН
Email: iemt@mail.ru
Россия, пр-т Академика Лаврентьева, д. 10, Новосибирск, 630090
Н. Ю. Снеговая
Институт зоологии Министерства науки и образования Азербайджана; Западно-Каспийский университет
Email: iemt@mail.ru
Азербайджан, пр-д 1128, кв-л 50, Баку, AZ1004; ул. Истиглалият, д. 31, Баку, AZ1001
И. Г. Керимова
Институт зоологии Министерства науки и образования Азербайджана; Западно-Каспийский университет
Email: iemt@mail.ru
Азербайджан, пр-д 1128, кв-л 50, Баку, AZ1004; ул. Истиглалият, д. 31, Баку, AZ1001
Список литературы
- Андреева Е. Н., Баккал Ю. И., Горшков В. В., Лянгузова И. В., Мазная Е. А., Нешатаев В. Ю., Нешатаева В. Ю., Ставрова И. Н., Ярмишко В. Т., Ярмишко М. А. Методы изучения лесных сообществ. СПб.: НИИ Химии СПбГУ, 2002. 240 с.
- Бородина Н. А., Некрасов В. И., Некрасова Н. С., Петрова И. П., Плотникова Л. С., Смирнова Н. Г. Деревья и кустарники СССР. М.: Мысль, 1966. 637 с.
- Всеволодова-Перель Т. С. Дождевые черви фауны России. М.: Наука, 1997. 102 с.
- Гераськина А.П, Шевченко Н. Е. Оценка приуроченности морфо-экологических групп дождевых червей (Oligochaeta, Lumbricidae) к основным типам леса бассейна реки Большая Лаба (Северо-Западный Кавказ) // Зоологический журнал. 2021. Т. 100. № 1. С. 3—16.
- Гиляров М. С. Учет крупных почвенных беспозвоночных (мезофауны) // Методы почвенно-зоологических исследований. М.: Наука, 1975. С. 9—12.
- Городков К. Б. Типы ареалов насекомых тундры и лесных зон Европейской части СССР // Ареалы насекомых Европейской части СССР. Л.: Наука, 1984. С. 3—20.
- Гроссгейм А. А. Растительный покров Кавказа. М.: МОИП, 1948. 267 с.
- Гулиева И. Ф. Природные факторы формирования современных ландшафтов Талышских гор // Вестник Московского государственного областного университета. Серия: Естественные науки. 2018. № 1. С. 29—41. https://doi.org/ 10.18384/2310-7189-2018-1-29-41
- Гулисашвили В. З. Природные зоны и естественно-исторические области Кавказа. М.: Наука, 1964. 325 с.
- Гурбанов Э. М. Флора и растительность Атропатанской провинции (в пределах Азербайджанской Республики). Баку: Элм, 2007. 234 с.
- Зернов А. С. Флора Северо-Западного Кавказа. М.: Товарищество научных изданий КМК, 2006. 664 с.
- Квавадзе Э. Ш. Дождевые черви (Lumbricidae) Кавказа. Тбилиси: Мецниереба, 1985. 283 с.
- Лакин Г. Ф. Биометрия. М.: Высшая школа, 1973. 343 с.
- Лебедева Н. В., Дроздов Н. Н., Криволуцкий Д. А. Биологическое разнообразие. М.: Владос, 2004. 432 с.
- Нечаев Ю. А. Лесные богатства Кабардино-Балкарии. Нальчик, 1960. 143 с.
- Одум Ю. Основы экологии. М.: Мир, 1975. С. 186.
- Перель Т. С. Распространение и закономерности распределения дождевых червей фауны СССР. М.: Наука, 1979. 275 с.
- Перель Т. С., Соколов Д. Ф. Количественная оценка участия дождевых червей Lumbricus terrestris L. (Lumbricidae, Oligochaeta) в переработке лесного опада // Зоологический журнал. 1964. Т. 43. № 11. С. 1618—1625.
- Рапопорт И. Б. Высотное распределение дождевых червей (Oligochaeta, Lumbricidae) в центральной части Северного Кавказа // Зоологический журнал. 2013. № 1. С. 3—10.
- Соколов В. Е., Темботов А. К. Млекопитающие. Насекомоядные. М.: Наука, 1989. 547 с.
- Стриганова Б. Р. Питание почвенных сапрофагов. М.: Наука, 1980. 244 с.
- Чернов Ю. И. Основные синэкологические характеристики почвенных беспозвоночных и методы их анализа // Методы почвенно-зоологических исследований. М.: Наука, 1975. С. 198—213.
- Шхагапсоев С. Х., Волкович В. Б. Растительный покров Кабардино-Балкарии и его охрана. Нальчик: Эльбрус, 2002. 95 с.
- Caucasus Environment Outlook (CEO). Tbilisi: New Media, 2002. 100 р.
- Convention on climate change Republic of Azerbaijan. Baku, 2015. 89 p.
- Csuzdi Cs., Zicsi A. Earthworms of Hungary (Annelida: Oligochaeta; Lumbricidae). Hungarian Natural History Museum, Budapest, 2003. 271 р.
- De Schrijver A.., De Frenne P., Staelens J., Verstraeten G., Muys B., Vesterdal L., Wuyts K.., Van Nevel L., Schelfhout S., Neve S. et al. Tree species traits cause divergence in soil acidification during four decades of postagricultural forest development. Global Change Biology. 2012. V. 18. № 3. Р. 1127—1140.
- Erichsen E. O., Budde K. B., Sagheb‐Talebi K., Bagnoli F., Vendramin G. G., Hansen O. K. Hyrcanian forests — Stable rear‐edge populations harbouring high genetic diversity of Fraxinus excelsior, a common European tree species // Diversity and Distributions. 2018. V. 24. № 11. Р. 1521—1533.
- Fox V. L., Buehler Ch.P., Byers Ch.M., Drake S. E. Forest composition, leaf litter, and songbird communities in oak- vs. maple-dominated forests in the eastern United States // Forest Ecology and Management. 2010. V. 259. P. 2426—2432. https://doi.org/10.1016/j.foreco.2010.03.019
- Hagen-Thorn A., Callesen I., Armolaitis K., Nihlgard B. The impact of six European tree species on the chemistry of mineral topsoil in forest plantations on former agricultural land // Forest Ecology and Management. 2004. № 195. Р. 373—384.
- Holdsworth A. R., Frelich L. E., Reich P. B. Leaf Litter Disappearance in Earthworm-Invaded Northern Hardwood Forests: Role of Tree Species and the Chemistry and Diversity of Litter // Ecosystems. 2012. V. 15. № 6. P. 913—926.
- Kiss T. B.W., Chen X., Hodson M. E. Interspecies variation in survival of soil fauna in flooded soil // Applied Soil Ecology. 2021. V. 158. P. 1—10.
- Kvavadze E. Sh. Caucasian earthworms (Lumbricidae) (Systematics, Faunistic, Zoogeography, Ecology, Phylogeny): Dr. Sci. Dissertation, Institute of Zoology, Georgian Academy of Sciences. Tbilisi. 1999. 313 p. (In Georgian).
- Latif R., Rejali R., Aminjan A. R., Esmaeilizad A. Earthworm biodiversity from Hyrcanian forests: natural vs. Agricultural // Global Symposium on Soil Biodiversity. Italy, 2021а. P. 2010—2015.
- Latif R., Rejali R., Aminjan A. R., Esmaeilizad A. New earthworm records from the Caspian Hyrcanian Forests of Iran (Oligochaeta: Megadrili) // Zootaxa. 2021б. V. 5052. № 3. P. 433—440. https://doi.org/10.11646/zootaxa.5052.3.8
- Lumbricidae/List of species — DriloBASE Taxo [Электронный ресурс]. URL: http://taxo.drilobase.org/index.php?title=Lumbricidae (дата обращения: 27.02.2024).
- Mammadov T. D., Rasulova A., Bagirova S. Comparative Analysis of Rare and Endangered Plants of Hirkan Dendroflora // Bulletin of Science and Practice. 2021. V. 7. № 4. P. 37—44. https://doi.org/10.33619/2414-2948/65
- Michaelsen W. Die Lumbriciden des Kaukasischen Museum in Tiflis // Mitteilungen des Kaukasischen Museums. 1907. V. 3. P. 81—93.
- Mittermeier R. A., van Dijk P. P., Rhodin A. G.J., Nash S. D. Hotspots revisited: Earth’s biologically richest and most endangered ecoregions // Conservation International. Arlington, 2005. 390 p.
- Neirynck J., Mirtcheva S., Sioen G., Lust N. Impact of Tilia platyphyllos Scop., Fraxinus excelsior L., Acer pseudoplatanus L., Quercus robur L. and Fagus sylvatica L. on earthworm biomass and physico-chemical properties of a loamy topsoil // Forest Ecology and Management. 2000. V. 133. № 3. P. 275—286.
- Omodeo P. Particolaritá della Zoogeografia dei Lombrichi // Bollettino di Zoologia. 1952. V. 19. P. 349—359.
- Ramezani E., de Klerk Р., Mrotzek А., Joosten Н. From the coldest ice age to green carpets of beauty: A 20,000-year vegetation history from the Hyrcanian forest refugium of northern Iran // Quaternary Science Reviews. 2023. V. 320: 108352. https://doi.org/10.1016/j.quascirev.2023.108352
- Reich P. B., Oleksyn J., Modrzynski J., Mrozinski P., Hobbie S. E., Eissenstat D. M., Chorover J., Chadwick O. A., Hale C. M., Tjoelker M. G. Linking litter calcium, earthworms and soil properties: A common garden test with 14 tree species // Ecology Letters. 2005. V. 8. № 8. P. 811—818.
- Römbke J., Jӓnscha S., Didden W. The use of earthworms in ecological soil classification and assessment concepts // Ecotoxicology and Environmental Safety. 2005. V. 62. P. 249—265.
- Sagheb-Talebi K., Sajedi T., Pourhashemi M. Forests of Iran. A Treasure from the Past, a Hope for the Future.Dordrecht // Plant and Vegetation. TheNetherlands: Springer, 2014.V.10.152 р.
- Schelfhout S., Mertens J., Verheyen K., Vesterdal L., Baeten L., Muys B., De Schrijver A. Tree Species Identity Shapes Earthworm Communities // Forests. 2017. V. 8. № 3. P. 85—105. https://doi.org/10.3390/f8030085
- Szederjesi T., Latif R., Mártonc O., Csuzdi Cs. Resurrection of the earthworm species Dendrobaena fedtschenkoi (Michaelsen, 1900), a former synonym of Dendrobaena byblica (Rosa, 1893) (Clitellata: Megadrili) // Zootaxa. 2018а. V. 4496. № 1. Р. 190—196. http://www.mapress.com/j/zt/
- Szederjesi T., Pop V. V., Pavlíček T., Márton O., Krízsik V., Csuzdi C. Integrated taxonomy reveals multiple species in the Dendrobaena byblica (Rosa, 1893) complex (Oligochaeta: Lumbricidae) // Zoological Journal of the Linnean Society. 2018б. V. 182. Р. 500—516.
- Yakhyaev А. B., Gurbanov E. M., Farzaliyev V. S., Seyfullayev F. S. The regeneration of Oriental beech (Fagus orientalis Lipsky) share in the secondary hornbeam stands using the complex cutting // Journal of Forest Science. 2021. V. 67. № 1. Р. 12—20.
- Zhang D., Hui D., Luo Y., Zhou G. Rates of litter decomposition in terrestrial ecosystems: Global patterns and controlling factors. Journal of Plant Ecology. 2008. V. 1. P. 85—93.
Дополнительные файлы







