Оценка функциональной эффективности древесно-кустарниковых видов в городском озеленении на примере Владивостока
- Авторы: Шихова Н.С.1
-
Учреждения:
- ФНЦ биоразнообразия наземной биоты Восточной Азии ДВО РАН
- Выпуск: № 3 (2023)
- Страницы: 277-289
- Раздел: ОРИГИНАЛЬНЫЕ СТАТЬИ
- URL: https://bakhtiniada.ru/0024-1148/article/view/137877
- DOI: https://doi.org/10.31857/S0024114823030105
- EDN: https://elibrary.ru/PXCGHW
- ID: 137877
Цитировать
Полный текст
Аннотация
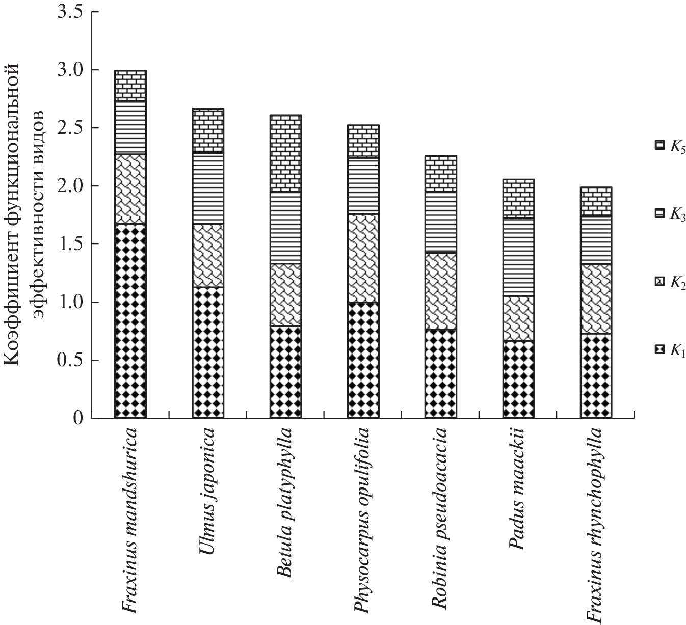
В статье обсуждаются результаты комплексного анализа экологического состояния и средостабилизирующих функций видового состава арборифлоры в структуре городского озеленения. В основу работы положен большой фактический материал, полученный в ходе многолетнего мониторинга зеленых насаждений г. Владивостока. Разработано методическое обеспечение качественно-количественной оценки видов с использованием методов прикладной квалиметрии. В качестве единицы оценки предложен интегральный показатель – коэффициент функциональной эффективности вида (КФЭВ) в озеленении. Он представляет собой относительно-количественный показатель качества, определяемый по совокупности ряда эколого-биологических и санитарно-гигиенических свойств растений: распространенности в озеленении, жизненного статуса, способности к аккумуляции приоритетных металлов-загрязнителей в городской среде, их концентрации относительно локального экологического фона, интенсивности накопления металлов из почвы. На основе предложенного коэффициента выполнен сравнительный анализ функциональной эффективности 80 видов деревьев и кустарников, формирующих городские насаждения Владивостока. В сравниваемой выборке растений КФЭВ снижается от 3.70 у боярышника перистонадрезанного (Crataegus pinnatifida) до 1.13 у яблони маньчжурской (Malus mandshurica). Эти показатели соответствуют 74 и 23% принятого стандарта качества (СК) видов. Выделены группы видов разной функциональной значимости в городском озеленении. Наибольшую эффективность в создании комфортных для проживания горожан условий среды показали виды широкого распространения в зеленых насаждениях: ясень маньчжурский (Fraxinus mandshurica), вяз японский (Ulmus japonica), берёза плосколистная (Betula platyphylla), пузыреплодник калинолистный (Physocarpus opulifolia) и др. Для них характерно как максимальное участие в формировании структуры городского озеленения, так и высокая способность к поглощению основных металлов-загрязнителей городской среды. КФЭВ этих видов находится в пределах 3.26–2.61, что соответствует 65–52% СК. В заключении даны предложения по рациональному использованию видов в формировании комфортной городской среды и внедрению полученных результатов в практику управления городским зеленым фондом.
Об авторах
Н. С. Шихова
ФНЦ биоразнообразия наземной биоты Восточной Азии ДВО РАН
Автор, ответственный за переписку.
Email: shikhova@biosoil.ru
Россия, 690022, Владивосток, проспект 100-летия Владивостока, д. 159
Список литературы
- Авдеева Е.В., Вагнер Е.А., Надемянов В.Ф., Черникова К.В. Информационно-аналитическая система “Управление качеством городских объектов озеленения”. Модуль I – Мониторинг состояния городских объектов озеленения // Хвойные бореальной зоны. 2015а. Т. XXXIII. № 3–4. С. 89–95.
- Авдеева Е.В., Вагнер Е.А., Надемянов В.Ф., Черникова К.В. Информационно-аналитическая система “Управление качеством городских объектов озеленения”. Модуль II – Оценка качества городских объектов озеленения // Хвойные бореальной зоны. 2015б. Т. XXXIII. № 3–4. С. 96–102.
- Авдеева Е.В., Полетайкин В.Ф., Авдеева Е.А. Оценка уровня качества объектов городского озеленения методами прикладной квалиметрии // Хвойные бореальной зоны. 2008. Т. XXV. № 1–2. С. 93–97.
- Азгальдов Г.Г., Гличев А.В., Панов В.П. Что такое качество? М.: Экономика, 1968. 135 с.
- Азгальдов Г.Г., Райхман Э.П. О квалиметрии. М.: Изд-во стандартов, 1973. 172 с.
- Алексеев В.А. Диагностика жизненного состояния деревьев и древостоев // Лесоведение. 1989. № 4. С. 51–57.
- Перельман А.И. Геохимия: учебное пособие. М.: Высшая школа. 1979. 423 с.
- Сает Ю.Е. Геохимическая оценка техногенной нагрузки на окружающую среду // Геохимия ландшафтов и география почв. М.: МГУ, 1982. С. 84–100.
- Скачкова М.Е., Копалова К.М. Методическое обеспечение оценки уровня комфортности зеленых насаждений общего пользования // Природообустройство. 2018. № 2. С. 125–131.
- Уфимцева М.Д., Терехина Н.В. Фитоиндикация экологического состояния урбогеосистем Санкт-Петербурга. СПб.: Наука, 2005. 339 с.
- Федорова Н.Б. Определение качества и ценности зеленых насаждений на территории Санкт-Петербурга // Лесной вестник. 2011. № 4. С. 144–151.
- Шихова Н.С. Комплексная оценка состояния лесов зеленой зоны Владивостока // Лесоведение. 2015. № 6. С. 436–446.
- Шихова Н.С. Оценка функционального состояния зеленых насаждений и аккумуляции ими тяжелых металлов на городских озелененных территориях различного назначения // Сибирский экологический журн. 2019. № 5. С. 612–626.
- Шихова Н.С. Трансформация дальневосточной арборифлорой техногенных загрязнений среды // Аграрный вестник Приморья. 2016. № 1. С. 29–32.
- Шихова Н.С. Экологическое состояние почв и зеленых насаждений Владивостока // Экология урбанизированных территорий. 2013. № 1. С. 97–102.
- Шихова Н.С. Эколого-геохимические особенности растительности Южного Приморья и видоспецифичность арборифлоры в накоплении тяжелых металлов // Сибирский лесной журн. 2017. № 6. С. 76–88.
- Шихова Н.С., Полякова Е.В. Деревья и кустарники в озеленении города Владивостока. Владивосток: Дальнаука, 2006. 236 с.
- Шихова Н.С., Полякова Е.В. Оценка жизненного состояния и устойчивости видов в озеленении г. Владивостока // Бюллетень ГБС. 2003. Вып. 185. С. 14–27.
- Aliman M., Yustisia A., Barlian E., Syah N. Spatial Analysis of the Needs of Green Open Space at Universitas Negeri Padang // Sumatra Journal of Disaster, Geography and Geography Education. 2017. V. 1. № 2. P. 140–146.
- Daniels B., Zaunbrecher B.S., Paas B., Ottermanns R., Ziefle M., Roß-Nickoll M. Assessment of urban green space structures and their quality from a multidimensional perspective // Science of The Total Environment. 2018. V. 615. P. 1364–1378.
- Dennis M., James P. Considerations in the valuation of urban green space: accounting for user participation // Ecosystem Services. 2016. V. 21 (Part A). P. 120–129.
- Ives C., Oke C., Cooke B., Gordon A., Bekessy S. Planning for green open space in urbanising landscapes: Final report for Australian Government Department of Environment. 2014. 94 p.
- James P., Tzoulas K., Adams M.D., Barber A., Box J., Breuste J., Elmqvist T., Frith M., Gordon C., Greening K.L., Handley J., Haworth S., Kazmierczak A.E., Johnston M., Korpela K., Moretti M., Niemelä J., Pauleit S., Roe M.H., Sadler J.P. Towards an integrated understanding of green space in the European built environment // Urban Forestry and Urban Greening. 2009. V. 8. Issue 2. P. 65–75.
- Jankevica M. Assessment of landscape ecological aesthetics in urban areas: Example of Jelgava // Research for Rural Development. 2012. № 2. P. 134–140.
- Niemelä J. Ecology of urban green spaces: The way forward in answering major research questions // Landscape and Urban Planning. 2014. V. 125. P. 298–303.
- Ridder K. De., Adamec V., Bañuelos A., Bruse M., Bürger M., Damsgaard O., Dufek J., Hirsch J., Lefebre F., Pérez–Lacorzana J.M., Thierry A., Weber C. An integrated methodology to assess the benefits of urban green space // Science of The Total Environment. 2004. V. 334–335. P. 489–497.
Дополнительные файлы





