Анализ и прогноз динамики численности серой лиственничной листовертки при помощи модели Морана-Рикера с запаздыванием
- Авторы: Неверова Г.П.1, Фрисман Е.Я.2
-
Учреждения:
- Институт автоматики и процессов управления ДВО РАН
- Институт комплексного анализа региональных проблем ДВО РАН
- Выпуск: № 2 (2023)
- Страницы: 190-200
- Раздел: ОРИГИНАЛЬНЫЕ СТАТЬИ
- URL: https://bakhtiniada.ru/0024-1148/article/view/137860
- DOI: https://doi.org/10.31857/S0024114823020055
- EDN: https://elibrary.ru/AKRJWI
- ID: 137860
Цитировать
Полный текст
Аннотация
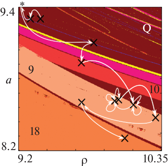
Модель Морана–Рикера с запаздыванием 1 и 2 года, учитывающая внутрипопуляционные саморегуляторные механизмы, применяется к описанию динамики плотности двух популяций листовертки лиственничной (Zeiraphera griseana). Используются данные о популяциях, обитающих в Швейцарии в локациях Graubunden (the Global Population Dynamics Database: Data set 1525 (Baltensweiler, Fischlin, 1988)) и Oberengadin (Baltensweiler, 1991). Оценки значений параметров моделей находились путем минимизации суммы квадратов отклонений эмпирических и модельных траекторий. Показано, что найденные точечные оценки популяционных параметров удовлетворяют статистическим критериям и располагаются в области квазипериодических колебаний, как правило, соседствуя с другими динамическими режимами. Следовательно, вариация демографических параметров, например, в результате эволюционных процессов или же влияния модифицирующих факторов может привести к смене динамического режима. Чтобы проверить прогностические свойства этих моделей, часть данных была использована для оценок значений параметров, а оставшаяся часть – для сопоставления реальной динамики и модельного прогноза. Как оказалось, качество прогноза существенно зависит от характера динамики в конце обучающей выборки, используемой для оценки параметров. Наилучший прогноз будет получен, если обучающая выборка заканчивается на фазе пика численности. В случае фазы низкой численности прогноз может характеризоваться приемлемой ошибкой, однако характер прогнозируемой динамики может измениться: например, произойдет смещение пика численности. Для Data set 1525 проведено сопоставление точечных оценок, полученных по обучающей выборке разной длины, с динамическими режимами модели Морана–Рикера. Это позволило получить представление об эволюции динамических режимов в популяции листовертки лиственничной и выявить переходы от одних динамических режимов к другим.
Об авторах
Г. П. Неверова
Институт автоматики и процессов управления ДВО РАН
Автор, ответственный за переписку.
Email: galina.nev@gmail.com
Россия, 690041, Владивосток, ул. Радио, д. 5
Е. Я. Фрисман
Институт комплексного анализа региональных проблем ДВО РАН
Email: galina.nev@gmail.com
Россия, 679016, Биробиджан, ул. Шолом-Алейхема, д. 4
Список литературы
- Безручко Б.П., Смирнов Д.А. Математическое моделирование и хаотические временные ряды. Саратов: ГосУНЦ “Колледж”, 2005. 320 с.
- Гилл Ф., Мюррей У., Райт М. Практическая оптимизация. М.: Мир, 1985. 509 с.
- Исаев А.С., Пальникова Е.Н., Суховольский В.Г., Тарасова О.В. Динамика численности лесных насекомых-филлофагов: модели и прогнозы. М.: Товарищество научных изданий КМК, 2015. 262 с.
- Исаев А.С., Хлебопрос Р.Г., Недорезов Л.В., Киселев В.В., Кондаков Ю.П., Суховольский В.Г. Популяционная динамика лесных насекомых. М.: Наука, 2001. 347 с.
- Неверова Г.П., Фрисман Е.Я. Математическое моделирование динамики локальных однородных популяций с учетом эффектов запаздывания // Математическая биология и биоинформатика. 2015. Т. 10. № 2. С. 309–324.
- Недорезов Л.В. Динамика численности сосновой пяденицы в Нидерландах: оценка параметров обобщенной дискретной логистической модели // Евразиатский энтомологический журн. 2015а. Т. 14. № 1. С. 93–99.
- Недорезов Л.В. Нетрадиционный подход к оценке параметров экологических моделей (на примерах динамики численности серой лиственничной листовертки и сосновой пяденицы) // Сибирский лесной журн. 2015 б. № 3. С. 70–82.
- Недорезова Б.Н., Недорезов Л.В. Динамика численности сосновой пяденицы: прогноз с помощью дискретных математических моделей // Евразиатский энтомологический журн. 2011. Т. 10. № 3. С. 280–288.
- Суховольский В.Г., Пономарев В.И., Соколов Г.И., Тарасова О.В., Красноперова П.А. Непарный шелкопряд Lymantria dispar L. на Южном Урале: особенности популяционной динамики и моделирование // Журн. общей биологии. 2015. Т. 76. № 3. С. 179–194.
- Тютюнов Ю.В., Титова Л.И. От Лотки–Вольтерра к Ардити–Гинзбургу: 90 лет эволюции трофических функций // Журн. общей биологии. 2018. Т. 79. № 6. С. 428–448.
- Akaike H. A new look at the statistical model identification // IEEE Transactions on Automatic Control. 1974. V. 19. № 6. P. 716–723.
- Baltensweiler W. The folivore guild on larch (Larix decidua) in the Alps. Forest insect guilds: Patterns of interaction with host trees Radnor: US Forest Service General Technical Report NE-153, 1991. P. 145–164.
- Baltensweiler W., Fischlin A. The Larch Budmoth in the Alps. Dynamics of Forest Insect Populations. Population Ecology. Springer, Boston, MA, 1988. https://doi.org/10.1007/978-1-4899-0789-9_17
- Draper N.R., Smith H. Applied Regression Analysis Ed. 3. N.Y.: Wiley and Sons Inc., 2014. 736 p.
- Kendall B.E., Briggs C.J., Murdoch W.W., Turchin P., Ellner S.P., McCauley E., Nisbet R.M., Wood S.N. Why do population cycle? A synthesis of statistical and mechanistic modeling approaches // Ecology. 1999. V. 80. P. 1789–1805.
- Moran P.A.P. Some remarks on animal population dynamics // Biometrics. 1950. V. 6. № 3. P. 250–258.
- Nedorezov L.V., Sadykova D.L. Dynamics of larch bud moth populations: application of Moran–Ricker models with time lag // Ecological Modelling. 2015. V. 297. P. 26–32.
- Neverova G.P., Yarovenko I.P., Frisman E.Y. Dynamics of populations with delayed density dependent birth rate regulation // Ecological Modelling. 2016. V. 340. № 24. P. 64–73.
- Ricker W.E. Stock and recruitment // Fisheries Research Board of Canada. 1954. V. 11. № 5. P. 559–623.
- Turchin P. Complex Population Dynamics: A Theoretical/Empirical Synthesis. Princeton: Princeton University Press, 2003. P. 472.
- Turchin P. Rarity of density dependence or population regulation with lags? // Nature. 1990. V. 344. P. 660–663.
- Turchin P., Wood S.N., Ellner S.P., Kendall B.E., Murdoch W.W., Fischlin A., Casas J., McCauley E., Briggs C.J. Dynamical effects of plant quality and parasitism on population cycles of larch budmoth // Ecology. 2003. V. 84. № 5. P. 1207–1214.
Дополнительные файлы







