Trace elements and organic carbon in benthic organisms and bottom sediments of the East-Siberian sea
- Authors: Demina L.L.1, Galkin S.V.1, Solomatina A.S.1
-
Affiliations:
- Shirshov Oceanology Institute, Russian Academy of Sciences
- Issue: Vol 69, No 10 (2024)
- Pages: 923–941
- Section: Articles
- URL: https://bakhtiniada.ru/0016-7525/article/view/277514
- DOI: https://doi.org/10.31857/S0016752524100043
- EDN: https://elibrary.ru/ILYEGD
- ID: 277514
Cite item
Full Text
Abstract
The first data on the concentrations of a number of trace elements and carbon (organic and carbonate) in the components of the bottom ecosystem of the East Siberian Sea have been obtained. The distribution of a large group of trace elements (Sc, Ti, V, Cr, Mn, Co, Ni, Cu, Zn, As, Cd, Mo, Ag, Ba, Tl, Pb, Bi, Th and U) in mass taxa of benthic organisms, including Bivalvia Portlandia arctica; Crustacea: Isopoda (Saduria sibirica, Saduria sabini), echinoderms Ophiuroidea Ophiocten sericeum and Holothuroidea Myriotrochus rinkii was studied. The lithological and geochemical characteristics of the enclosing bottom sediments, primarily the sorghum content and the granulometric composition, reflect the influence of abiotic factors. The biotic factor is associated with the geochemical properties of trace elements, the level of organic carbon in organisms, and their type of nutrition. For the first time, a comparative assessment of the levels of organic carbon accumulation in mass taxa and host bottom sediments was made, and an important sedimentological function of deposit feeders organisms was shown.
Full Text
Введение
Наблюдаемые в последние десятилетия климатические изменения в арктических широтах приводят к сокращению ледового покрова, активизации процессов береговой термоабразии и таянию многолетнемерзлых пород. Эти изменения способствуют модификации потоков органического углерода в арктических бассейнах и, как следствие, оказывают влияние на морские биологические процессы и экосистемы (Grebmeier et al., 2006; Semiletov et al., 2012; Shakhova et al., 2019). Повышение температуры в районах арктических шельфовых морей вызывает усиление биодеструкции органического вещества, увеличивая концентрацию углекислого газа в морской воде и, как следствие, кислотность прибрежных вод. Это приводит к нарушению функциональной активности кальцифицирующих морских организмов (Anderson et al., 2011; Semiletov et al., 2016).
Восточно-Сибирское море, обладая наивысшим уровнем ледовитости среди арктических морей, тем не менее демонстрирует значительное биологическое разнообразие своих бентических сообществ (Денисенко и др., 2010; Kokarev et al., 2021). Бентосные организмы, функционируя как глобальный биофильтр, согласно концепции академика А.П. Лисицына, играют ключевую роль в биодифференциации осадочного вещества в океане, создавая и модифицируя осадочное вещество на границе вода-дно (Лисицын, 1983). Бентос, выполняя литолого-геохимические функции, осуществляет биотурбацию и биоирригацию донных осадков и трансформацию химических соединений, в том числе органического углерода, что влияет на формирование бентических потоков элементов в придонные воды.
Анализ уровней концентраций микроэлементов, особенно тяжелых металлов, имеет важное значение для оценки способностей биоаккумуляции и детоксикации потенциально токсичных соединений донными организмами. Изучение донных осадков Восточно-Сибирского моря не выявило заметного загрязнения тяжелыми металлами (Мирошников и др., 2020; Sattarova et al., 2021; Budko et al., 2022). Однако сведения о накоплении микроэлементов и углерода донными сообществами, и о влиянии среды обитания на этот процесс до сих пор отсутствуют. Важные для биогеохимии вопросы о роли бентоса в цикличности Сорг в осадках также ждут своего решения.
Целью данной работы является изучение распределения и взаимодействия микроэлементов и органического углерода в донной экосистеме Восточно-Сибирского моря. Были поставлены следующие задачи: 1) проведение анализа микроэлементов, органического и карбонатного углерода в пробах массовых таксонов макрозообентоса, включая их органы и ткани, а также поверхностных донных осадков; 2) исследование абиотических и биотических факторов, оказывающих влияние на биоаккумуляцию элементов в исследованных организмах; 3) количественная оценка уровней аккумуляции органического углерода в массовых таксонах и вмещающих донных осадках.
Материалы и методы
Образцы донной фауны и осадков были отобраны в рамках программы “Морские экосистемы Сибирской Арктики” в 69-м рейсе НИС “Академик Мстислав Келдыш”, проведенном Институтом океанологии им. П.П. Ширшова РАН в 2017 г. (Флинт и др., 2019). В пределах континентального шельфа на двух субмериональных разрезах – Индигирском и Колымском, располагались шесть станций (рис. 1, табл. 1).
Рис. 1. Карта схема расположения станций отбора проб донной фауны и осадков.
Таблица 1. Координаты и глубина моря на станциях пробоотбора бентосных организмов и донных осадков в Восточно-Сибирском море
Станция | Глубина моря, м | Координаты касания (для трала Сигсби) | |||
Широта сев. | Долгота вост. | ||||
градусы | мин | градусы | мин | ||
5598 | 13.8 | 71 | 27.92 | 152 | 54.5393 |
5602 | 26.3 | 73 | 13.979 | 156 | 26.208 |
5606 | 47.9 | 75 | 38.077 | 161 | 59.86 |
5612 | 50.7 | 74 | 23.012 | 168 | 11.905 |
5615 | 267 | 72 | 20.897 | 165 | 26.067 |
5619 | 174 | 70 | 25.766 | 163 | 3.849 |
Отбор и первичная обработка материала
Для сбора макрофауны использовали трал Сигсби со стальной рамой шириной 2.0 м. Трал был оснащен двойным мешком: наружный мешок сделан из двойной узловой капроновой дели из веревки 3.1 мм с ячеей 45 мм; внутренний – из безузловой дели с ячеей 4.0 мм. Полученную пробу промывали на системе стальных сит с ячеей 5.0 и 1.0 мм. Разборка проб вели по стандартной методике, принятой в экспедициях ИО РАН. Для последующей камеральной разборки и количественной обработки большую часть проб фиксировали в сосудах больших объемов, разделив по фракциям, соответствующим размеру сит. Крупных и хрупких животных отбирали вручную и фиксировали отдельно. Весь материал по возможности определяли до вида. Далее проводился подсчет особей каждого вида и их взвешивание (для последующего определения биомассы). Образцы животных, предназначенных для химических анализов, отбирались непосредственно из непромытой пробы (чтобы избежать контакта с водой из судовой системы). После обработки отдельные образцы тщательно промывались путем многократного погружения в дистиллированную воду. Анализируемые животные представлены четырьмя группами: Bivalvia Portlandia arctica; Crustacea: Isopoda (Saduria sibirica, Saduria sabini) иглокожие офиуры Ophiuroidea Ophiocten sericeum, иглокожие Holothuroidea Myriotrochus rinkii (табл. 2).
Таблица 2. Исследованные бентосные организмы и характеристика среды их обитания в исследованном районе Восточно-Сибирского моря
Стан-ция | Глубина, м | Доминирующие группы организмов (определяют облик сообщества) | Анализируемый объект организма (количество экземпляров) | Тип питания | Литология поверхностного (0–3 см) слоя донных осадков | Наддонная вода (горизонт 0–15 см от дна) | |||
Т °С | S psu | O2 мл/л | O2 % | ||||||
1 | 2 | 3 | 4 | 5 | 6 | 7 | 8 | 9 | 10 |
5598 | 14.0 | Bivalvia Portlandia arctica | мягкие ткани (32), раковина (32), тотально (58) | детритофаг | Пелит, вязко-текучий, сметано-образный | 3.0 | 24.58 | 6.59 | 82.4 |
Crustacea: Isopoda Saduria sibirica | тотально (4) | собирающий эврифаг-мусорщик | |||||||
5602 | 26.3 | Crustacea: Isopoda Saduria sibirica | тотально (4) | собирающий эврифаг-мусорщик | Алевро-пелит, вязко-текучий, сметано-образный | –1.4 | 32.61 | 7.46 | 87.7 |
5606 | 48.0 | Crustacea: Isopoda Saduria sabini | тотально (4) | собирающий эврифаг-мусорщик | Алевро-пелит, вязко-текучий | –1.7 | 31.84 | 7.50 | 87.1 |
Ophiuroidea Ophiocten sericeum | тело (22), содержимое желудка (8) | детритофаг | |||||||
5612 | 50.7 | Crustacea: Isopoda Saduria sabini | тело (22), содержимое желудка (8) | собирающий эврифаг-мусорщик | Алевро-пелит, вязко-текучий | –1.7 | 31.55 | 6.43 | 74.6 |
5615 | 21.0 | Holothuroidea Myriotrochus rinkii | тело без кишечника (14), содержимое кишечника (14) | грунтоед | Алевро-пелит с тонкозернистым песком, вязко-текучий | 4.0 | 28.21 | 6.96 | 91.7 |
Bivalvia Portlandia arctica | мягкие ткани (30), раковина (30) | детритофаг | |||||||
Crustacea: Isopoda Saduria sibirica | тотально (5) | собирающий эврифаг-мусорщик | |||||||
5619 | 17.0 | Bivalvia Portlandia arctica | тотально (68) | детритофаг | Алевро-пелит с тонкозернистым песком, вязко-текучий | 2.23 | 26.62 | 6.36 | 79. 1 |
Crustacea: Isopoda Saduria sibirica | тотально (4) | собирающий эврифаг-мусорщик | |||||||
Препарирование особей проводилось в стеклянных кюветах с использованием пластмассовых инструментов. В организмах двустворчатых моллюсков раковины и мягкие ткани препарировали раздельно, в офиурах и голотуриях − тело без кишечника и содержимое кишечника, кроме того, двустворчатые моллюски и ракообразные отбирались как целые тела (тотально, т.е. без препарирования). Подготовленные таким образом целые орагнизмы, органы и ткани помещались в закрытых стеклянных чашках Петри в термостат, где высушивались в течение 1–2 суток при 55 °С. Такая температура позволяет, с одной стороны, провести сушку достаточно быстро, до начала процессов разложения, с другой – избежать коагуляции белка, обугливания и других необратимых процессов, способных изменить первоначальный химический состав тканей. Следует отметить, что для минимизации влияния стадии онтогенеза на биоаккумуляцию элементов внутри каждой из четырех групп подбирали особи с близким линейным размером.
Поверхностные донные осадки для анализа элементного и гранулометрического состава отбирали дночерпателями Ван-Вина из слоя 0–2 см на тех же станциях, что и макрозообентосные организмы. В судовой лаборатории пробы осадков без промывки высушивали в термостате при температуре 55–60 °С. Высушенные образцы фауны и осадков хранились в герметичных пластиковых пакетах до анализа в стационарной лаборатории.
Элементный анализ
В условиях стационара подготовка собранных образцов фауны включала измельчение тотальных проб и мягких тканей в яшмовой ступке вручную, а раковин – с помощью растирочной машины (FRITSH pulverisette, Германия). В одну пробу, если масса отдельной особи или ее органа была менее 60 мг, объединяли несколько экземпляров организмов для последующего химического анализа. Каждая проба включала не одну, а несколько особей того или иного таксона и/или его органов; как правило, в одну пробу объединяли от двух-трех (в случае изопод и голотурий) до 10 экземпляров (в случае портландий и офиур), чтобы получить требуемую навеску для параллельных анализов. При анализе раковин двустворок навеска составляла 100 мг. Полное разложение образцов фауны проводили в смеси из 2 мл концентрированной перегнанной HNO3 и 1 мл 30 % перекиси водорода в тефлоновых сосудах на нагревательной платформе при 80–90 °C. После выпаривания анализируемых образцов до влажных солей конечный объем раствора (20 мл) устанавливали 5 % раствором HNO3. На каждые 7 образцов проводился один бланковый анализ. Концентрации химических элементов в образцах определяли на масс-спектрометре с индуктивно-связанной плазмой ICP-MS “Agilent 7500a” (США). Точность определения концентрации для всей группы анализируемых элементов варьировала 0.3 до 7.8 %, определяемой из двух повторностей. Правильность анализа контролировалась анализом стандартных образцов Национального института стандартов Канады NIST 2976 (ткань мидий) с отклонением от референтного значения от 0.7до 9.5 %. В донных осадках содержание Si, Al, Ca, Fe, Mn, V, Cr, Co, Ni, Co, Cu, Zn, Zr, Ba, As, Mo определяли методом рентгено-флюоресцентного анализа (РФА) на приборе “Спектроскан МАКС-GVM” (НПО Спектрон, Россия). Правильность анализа контролировали одновременным анализом стандартных образцов – отечественных СДО-1 и международных Национального института стандартов Канады NIST 2702 (морские донные отложения). Расхождения с аттестованными значениями как правило не превышали 15 %. Содержание общего углерода и общего неорганического углерода в организмах и донных осадках измерялось на приборе “Shimadzu TOC-L-CPN” с приставкой SSM-5000 (Япония); содержание органического углерода рассчитывали по разности между общим и неорганическим углеродом. Погрешность прибора составляла в среднем 1 %, воспроизводимость результатов анализов ±5 %. Перед началом серии анализов проводилась калибровка прибора и построение градуировочной прямой по стандартным растворам гидрофталата калия (Potassium hydrogen phthalate), двум типам отечественных стандартных образцов донных осадков (СДО-2, СДО-3), а также по международному стандартному образцу Soil Standard Peaty OAS В2176 (UK).
Гранулометрический анализ донных осадков и статистическая обработка данных
Гранулометрический состав донных осадков определяли в Институте океанологии им. П.П. Ширшова РАН с использованием лазерного дифракционного анализатора размеров частиц Shimadzu SALD2300 (Япония). Статистическая обработка данных осуществлялась с помощью программного пакета Statistica 10.0 (TIBCO Software Inc., CA, США). Корреляции между исследуемыми элементами в организмах и осадках рассчитаны с использованием коэффициентов ранговой корреляции Спирмена (корреляция Спирмена). Кластерный анализ Уорда был применен к групповым отобранным организмам и их тканям по общим признакам элементного состава; сходство между кластерами определяли с помощью евклидова расстояния (Ward, 1993).
Район исследования
Восточно-Сибирское море с самым широким и мелководным шельфом – одно из наиболее ледовитых арктических бассейнов, несмотря на то, что в последние десятилетия наблюдается заметный тренд к сокращению ледового покрова летом (Yulin et al., 2018). Море относится к бассейнам с подледно-морским типом седиментогенеза (Лисицын, 1994). Средняя скорость осадконакопления на шельфе около 5 см/тыс. лет, что значительно выше среднего значения для океана (Левитан и др., 2015). Это море с отрицательными температурами придонной воды в течение 9 месяцев в году и средней соленостью ниже 30 ‰ является ультраолиготрофным районом с низкими значениями первичной продукции (Демидов, Гагарин, 2019) и пониженной концентрацией органического углерода в воде, взвеси и донных осадках (Романкевич, Ветров, 2001; Vetrov, Romankevich, 2004; Ветров и др., 2008). Основным источником поступления органического вещества (ОВ) в море служит первичная фотосинтетическая продукция, составляющая 15 млн т Сорг/год, вклад которой в бюджет Сорг многократно превышает речной сток (Vetrov, Romankevich, 2004). Гидрохимический режим западной части моря формируется в основном речным стоком Индигирки и Колымы, при частичном участии стока реки Лены вследствие его адвекции в периоды циклонической циркуляции; в восточной части моря, находящейся под влиянием адвекции тихоокеанских водных масс, богатых биогенными элементами, преобладает ОВ морского генезиса (Anderson et al., 2011). С помощью геохимических индикаторов генезиса (n-алканов, Сорг/Nорг, 13C/12С и др.) установлено, что в донных отложениях преобладает терригенное органическое вещество (в среднем 62 %), с максимальным содержанием (до 95 %) в придельтовых областях Индигирки и Колымы и с минимумом (до 15 %) в восточной части моря вблизи пролива Лонга (Vetrov, Romankevich, 2004; Semiletov et al., 2005; Ветров и др., 2008). Осадочный материал поставляется в море и мощной береговой абразией многолетнемерзлых пород. Предполагается, что источником тяжелых металлов в море может служить речной сток Индигирки и Колымы, поставляющий золото, серебро, медь, свинец, цинк, олово, сурьму и др. из промышленных отходов предприятий горнодобывающей и перерабатывающей индустрии, расположенных на водосборе этих рек (Мирошников и др., 2020). Однако в речных водах Колымы концентрации растворенных форм тяжелых металлов Cd, Co, Cr, Fe, Mo, Mn, Ba, Th и U значительно ниже, чем в глобальном речном стоке, и лишь Cu, As и Ni находятся на сопоставимых уровнях (Gordeev et al., 2024). Важным источником загрязнения арктических морей служат аэрозоли дальнего переноса, в субмикронных фракциях которых повышены концентрации тяжелых металлов в результате антропогенной деятельности (Шевченко, 2009), летних лесных пожаров и зимнего трансграничного переноса частиц из среднеширотной Евразии в районы, удаленные от устьев рек (Виноградова, Котова, 2019). Водосбор рек Индигирка и Колыма слагают Архей-Протерозойские магматические и метаморфические породы, Кембрийские и Ордовикские доломиты и известняки, Фанерозойские вулканогенно-терригенные осадочные комплексы. На значительной части водосборных площадей присутствуют многолетнемерзлые породы. Голоценовые терригенные осадки Восточно-Сибирского моря представлены алевритопелитовыми илами вязкой консистенции, что обусловлено подледной седиментацией в течение большей части года, отсутствием активной гидродинамики и пологим рельефом, осложненным вдольбереговыми грядами (Павлидис и др., 1998). Минеральный состав осадков Восточно-Сибирского моря отражает особенности выветривания сланцевых и магматических пород водосбора. В составе обломочного материала осадков преобладает кварц-полевошпатовая ассоциация (70–85 %) с подчиненным количеством слоистых силикатов, пироксена, амфибола и эпидота; из группы глинистых минералов наибольшее значение имеют иллит и хлорит (Мирошников и др., 2020).
Средa обитания и структура донных сообществ
В данной работе макрофауна и донные осадки отбирались на шести станциях, расположенных на двух субмеридиональных разрезах от мелководных зон выноса рек Индигирка (Индигирский разрез) и Колыма (Колымский разрез) до более глубоких северных станций. Длина Индигирского разреза составила 610 км, а Колымского 530 км. Все станции были расположены в пределах континентального шельфа в диапазоне глубин от 14 до 59 м. На обоих разрезах при движении от прибрежной зоны на север понижалась температура придонной воды (от +3 до – 1.7 °С) и заметно возрастала соленость (от 24.58 до 32.6 psu). Насыщение придонной воды кислородом было достаточно высоким (от 74.6 до 91.7 %) (табл. 2). Придонные воды, особенно на мелководных прибрежных станциях, обогащены СО2, при этом величина рН колебалась в узких пределах от 7.75 до 7.97 (Kokarev et al., 2021).
Индигирский разрез включал станции 5598, 5602 и 5606 (глубина моря от 13.6 до 48 м). В северной части этого разреза (ст. 5606) вблизи кромки льда растворенный кислород показал максимальное значение (7.80 мл/л) вследствие опускания здесь холодных насыщенных кислородом вод. Субстрат фауны представлен вязко-текущим пелитом и алевро-пелитом, с примесью тонко-зернистого песка на самой мелководной станции (табл. 2). На мелководной ст. 5598 траловая проба соответствовала широко распространенному в сибирском секторе Арктики сообществу Bivalvia Portlandia arctica, характерному для приэстуарных мелководий. На более глубоководных станциях 5602 и 5606 доминировали офиуры Ophiocten sericeum, занимающие обширные площади шельфа на акватории всех сибирских морей. Подобные сообщества развиваются в диапазоне глубин ~ 30–100 м в районах, лишенных влияния пресного стока. В этих интервалах глубин обнаружено также значительное количество ракообразных Isopoda – морских тараканов Saduria sabini. Для станций Индигирского разреза характерны низкие показатели численности и биоразнообразия: число видов не превышает 26, а максимальная численность достигает лишь 140 экз./0.1 м2. Наблюдаются тренды падения численности и увеличения биоразнообразия по мере удаления от дельты р. Индигирка.
Колымский разрез включал станции 5619, 5615 и 5612 (глубина моря от 17 до 51 м). На станции 5619, расположенной в море недалеко от устья р. Колымы, доминировали двустворчатые моллюски Portlandia arctica, а также морские тараканы Saduria sibirica, обнаружено больше видов, чем на остальных станциях разреза – не менее 24. На более северной станции 5615 доминировали двустворчатые моллюски Portlandia arctica и морские тараканы Saduria sabini и Saduria sibirica. В траловой пробе на станции 5612, самой северной станции на разрезе, явственно доминировали морские тараканы Saduria sabini. На Колымском разрезе с увеличением глубины падает и численность, и число видов, в то время как ожидаемое число видов на 100 особей и индекс Шеннона не демонстрирует явных широтных трендов.
Результаты
Средние концентрации девятнадцати элементов в четырех исследованных группах организмов представлены в табл. 3. Тотальная концентрация элементов получена в результате анализа тотальных проб животных (без препарирования).
Таблица 3. Cредние содержания химических элементов (мкг/г сух. в.) в тотальных пробах, органах и тканях бентосных организмов Восточно-Сибирского моря
Таксон | Объект | Sc | Ti | V | Cr | Mn | Со | Ni | Cu | Zn | As | Cd |
Bivalvia Portlandia arctica | мягкие ткани (n = 6) | 0.48 | 27.9 | 2.98 | 0.62 | 155 | 1.56 | 21.1 | 7.6 | 89 | 9.4 | 5.2 |
раковины (n = 4) | 0.2 | 6.4 | 2.45 | 0.15 | 492 | 1.65 | 4.2 | 11.3 | 6 | 1.6 | 0.27 | |
тотально (n = 6) | 0.31 | 13.9 | 2.79 | 0.27 | 443 | 1.57 | 4.3 | 10.3 | 24 | 2.7 | 0.94 | |
сред Kd | 2.2 | 4.3 | 1.22 | 2.29 | 0.31 | 0.95 | 5 | 0.7 | 15 | 6 | 19 | |
Crustacea: Isopoda Saduria sibirica | тотально (n = 12) | 0.40 | 21.9 | 3.22 | 0.51 | 786 | 3.5 | 2.9 | 92 | 73 | 15.3 | 3.58 |
Ophiuroidea Ophiocten sericeum | тело без кишеч. (n = 4) | 0.22 | 10.2 | 1.6 | 0.2 | 63 | 0.4 | 2.3 | 1.5 | 41 | 6 | 0.55 |
содер. кишеч. (n = 4) | 2.3 | 77 | 11 | 1.2 | 339 | 2.13 | 26.7 | 15.3 | 43 | 10 | 1.67 | |
Holothurioidea Myriotrochus rinkii | тело без кишеч. (n = 4) | 1 | 44.3 | 5.3 | 1.2 | 311 | 1.2 | 3.9 | 6.5 | 151 | 22.9 | 1.8 |
содер. кишеч. (n = 4) | 12.6 | 3006 | 82 | 35 | 259 | 6.81 | 15 | 13.3 | 38 | 11 | 0.54 |
Таксон | Объект | Mo | Ag | Ba | Tl | Pb | Bi | Th | U |
Bivalvia Portlandia arctica | мягкие ткани (n = 6) | 1.4 | 0.23 | 10.1 | 0.018 | 2.13 | 0.048 | 0.22 | 0.24 |
раковины (n = 4) | 3.9 | 0.04 | 23.3 | 0.016 | 0.95 | 0.011 | 0.03 | 0.045 | |
тотально (n = 6) | 3.5 | 0.07 | 17.7 | 0.018 | 1.12 | 0.012 | 0.09 | 0.06 | |
сред Kd | 0.4 | 7 | 0.4 | 1.1 | 2.2 | 4.4 | 7.3 | 5.3 | |
Crustacea: Isopoda Saduria sibirica | тотально (n = 12) | 1.5 | 1.00 | 15.6 | 0.014 | 0.68 | 0.010 | 0.14 | 0.06 |
Ophiuroidea Ophiocten sericeum | тело без кишеч. (n = 4) | 0.5 | 0.06 | 8.1 | 0.005 | 0.22 | 0.003 | 0.06 | 0.22 |
содер. кишеч. (n = 4) | 1.5 | 0.13 | 26.3 | 0.005 | 1.7 | 0.05 | 0.96 | 0.30 | |
Holothurioidea Myriotrochus rinkii | тело без кишеч. (n = 4) | 5.5 | 0.19 | 7.8 | 0.01 | 1.32 | 0.024 | 0.33 | 1.81 |
содер. кишеч. (n = 4) | 0.6 | 0.08 | 31.3 | 0.28 | 6.8 | 0.13 | 6.72 | 1.42 |
Группа Bivalvia: Portlandia arctica – детритофаг
В двустворчатых моллюсках Portlandia arctica вариабельность концентраций исследуемых элементов очень высока: от менее 0.006 (Bi) до 443 (Mn) мкг/г сух. в., то есть составляет более четырех порядков десятичных величин. В тотальных пробах P. arctica наиболее высокие средние концентрации (от 10 до 443 мкг/г сух. в.) показали Mn, Ba, Ti, Cu и Zn. В диапазоне концентраций от 1 до 10 мкг/г сух. в. находятся не только эссенциальные тяжелые металлы Сo, Ni, Mo, но и потенциально токсичные As, Pb и V, а также литогенный Ti. Для токсичных элементов Ag, Bi, Th, U и Tl определены наиболее низкие концентрации (<0.1 мкг/г сух. в.) (табл. 3). Представление о пространственном распределении микроэлементов в тотальных пробах двустворки P. arctica можно получить из рис. 2.
Рис. 2. Распределение микроэлементов в тотальных пробах двустворчатого моллюска Portlandia arctica из прибрежной зоны рек Индигирка и Колыма (ст. 5598 и 5619 соответственно) и средней части Колымского разреза (ст. 5615).
В целых телах мелководных двустворок (ст. 5598 и 5619) увеличение концентраций отмечается лишь для Cr, Zn и Ag по сравнению с более глубоководной станцией ст. 5615. Концентрации большинства элементов (Sc, Ti, V, Mn, Co, Mo, Tl, Pb, Bi, Th и U) в целых телах P. arctica из придельтовой области реки Индигирки заметно выше, чем Колымы.
Как видно из табл. 3, большинство микроэлементов, кроме Mn, Cu, Mo и Ва, демонстрируют более высокие концентрации в мягких тканях по сравнению с раковинами. Напротив, концентрации Mn, Cu, Mo и Ва значительно выше (в 1.5–6 раз) именно в раковинах. Ванадий (V), кобальт (Co) и таллий (Tl) распределены примерно поровну между мягкими тканями и раковинами.
Группа Crustacea: Isopoda Saduriа spр. (S. sibirica, S. sabini) – собирающий эврифаг-мусорщик
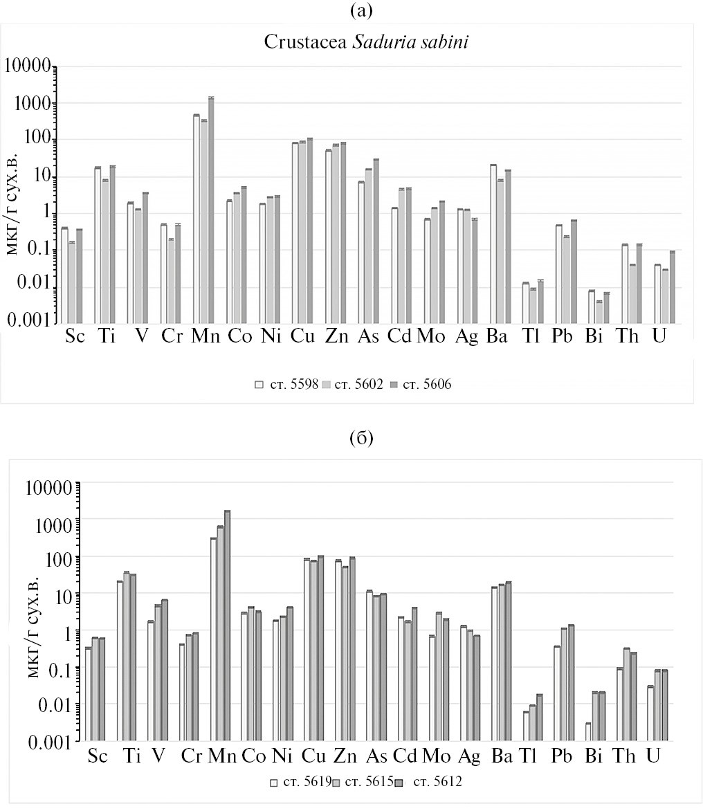
В целом теле ракообразного Isopoda Saduriа spр., исследованного на двух разрезах – Индигирском и Колымском, самые высокие содержания показали Mn, Cu и Zn (рис. 3 а, б).
Рис. 3. Распределение микроэлементов в тотальных пробах ракообразного Isopoda Saduriа spр. на Индигирском (а) и Колымском (б) разрезах.
На Индигирском разрезе в направлении от прибрежной зоны (ст. 5598) к северу (ст. 5606) отмечается заметное (2–5 кратное) возрастание концентрации V, Mn, Co, Ni, As, Cd, Mo, U, особенно выраженное для Mn и As (рис. 3 а). Концентрации преимущественно литогенных элементов Sc, Ti, Cr, Ba, Pb, Bi и Th показывают минимум в центральной части разреза (ст. 5602) с повышением как в прибрежной ст. 5598, так и в наиболее северной ст. 5606. На Колымском разрезе, по аналогии с Индигирским, с удалением от берега концентрации микроэлементов V, Сr, Mn, Ni, Cd, Mo, Tl, Pb, Bi и U возрастают, особенно заметно для Mn (почти в 10 раз) (рис. 3 б). Это соответствует возрастанию доли пелитовой фракции (см. выше). В изменении содержаний Sc, Ti, Сo, Cu, Zn, As, Ag, Ba и Th четкие тренды не выявлены.
Группа Ophiuroidea Ophiocten sericeum – детритофаг
В табл. 3 приведены средние концентрации элементов в теле и содержимом кишечника офиур. Все элементы показали значительное превышение концентраций в содержимом кишечника по сравнению с телом без кишечника, наиболее высокое (в 5–10 раз) для Sc, Ti, V, Cr, Ni, Co, Cu, Zn, Th, Pb. Наименее контрастное превышение (в 1.5 – 2 раза) установлено для Ag, As, Bi, Tl и U.
Группа Holothuroidea Myriotrochus rinkii –грунтоед
В табл. 3 приведены средние концентрации элементов в теле и содержимом кишечника морского огурца – голотурий Myriotrochus rinkii, обитающих на Индигирском разрезе (ст. 5615). В содержимом кишечника голотурий концентрации большинства элементов (Sc, Ti, V, Cr, Co, Ni, Cu, Ba, Tl, Pb и Th) значительно выше, чем в мягком теле без кишечника. Наиболее контрастно (в 15–50 раз) это выражено для литогенных элементов Sc, Ti, V, Cr, Ва и Th. Концентрации тяжелых металлов Ag, Cd, Mo, Zn и мышьяка выше в мягком теле, чем в содержимом кишечника голотурии, в диапазоне от 2 до 9 раз.
Углерод в бентосных организмах
Результаты анализа органического (Сорг) и карбонатного (Скарб) углерода представлены в табл. 4.
Таблица 4. Содержание Сорг и Скарб в донных организмах Восточно-Сибирского моря
Станция | Род, вид | Объект (число проб) | Сорг, мас. % | Скарб, мас% |
5598 | Bivalvia Portlandia arctica | мягкие ткани (2) | 44.36 ± 1.25 | – |
раковина (2) | 1.21 ± 0.06 | 10.56 ± 0.27 | ||
тотально (2) | 5.98 ± 0.13 | 11.55 ± 0.18 | ||
5615 | Bivalvia Portlandia arctica | мягкие ткани (2) | 42.38 ± 1.13 | – |
раковина (2) | 1.35 ± 0.06 | 11.8 ± 0.27 | ||
тотально (2) | 4.98 ± 0.11 | 12.0 ± 0.20 | ||
5619 | Bivalvia Portlandia arctica | тотально (2) | 4.94 ± 0.25 | 10.33 ± 0.36 |
5612 | Crustacea Saduria sibirica | тотально (2) | 30.73 ± 0.85 | 4.16 ± 0.12 |
5602 | Crustacea Saduria sibirica | тотально (2) | 33.07 ± 0.54 | 3.54 ± 0.15 |
5606 | Crustacea Saduria sabini | тотально (2) | 31.30 ± 0.69 | 3.28 ± 0.18 |
5606 | Ophiuroidea Ophiocten sericeum | тотально (2) | 12.21 ± 1.23 | 10.15 ± 0.70 |
тело без желудка (2) | 15.13 ± 0.61 | 9.16 ± 0.32 | ||
содержимое желудка (2) | 7.91 ± 0.42 | 2.62 ± 0.19 | ||
5615 | Holothuroidea Myriotrochus rinkii | тело без кишечника | 29.92 ± 0.75 | 1.10 ± 0.05 |
содержимое кишечника (2) | 6.22 ± 1.0 | 0.02 ± 0.01 |
Мягкие ткани двустворчатых моллюсков вида Portlandia arctica характеризуются максимальными концентрациями органического углерода (Сорг), достигающими 44.36 %. Целые тела ракообразных Saduria sibirica и голотурии Myriotrochus rinkii без кишечника показали более низкие значения Сорг – в среднем 31.7 % и 29.92 % соответственно. Раковины и целые тела двустворчатых моллюсков бедны органическим углеродом, однако содержат от 10.3 % до 11.8 % карбонатного углерода (Скарб), т.е. по массе они в основном (от 85.79 % до 98.3 %) состоят из карбоната кальция (при пересчете, умножая на коэффициент 8.33, соответствующий соотношению СаСО3/Скарб). Целые тела и тела без желудков офиур на 84.5 % и 76.3 % соответственно представлены СаСО3.
Гранулометрический и элементный состав донных осадков
Гранулометрический анализ с использованием лазерной дифрактометрии показал, что, в отличие от визуального описания, донные осадки представляют собой алевритовые илы, с преобладающим содержанием алевритовой фракции (в среднем 74.82 мас. %) (табл. 5).
Таблица 5. Содержание основных гранулометрических фракций и Сорг (мас. %) в поверхностных осадках Восточно-Сибирского моря
Компонент осадка | Станции на Индигирском разрезе | Станции на Колымском разрезе | ||||
5598 | 5602 | 5606 | 5619 | 5615 | 5612 | |
Пелит (< 2 мкм) | 20.34 | 19.37 | 16.33 | 14.52 | 25.88 | 20.44 |
Алеврит (2–63 мкм) | 78.92 | 76.83 | 68.22 | 73.12 | 73.25 | 78.55 |
Мелкий песок (63–250 мкм) | 0.74 | 3.79 | 15.45 | 12.36 | 0.87 | 1.01 |
Сорг | 2.1 | 1.05 | 0.82 | 0.8 | 2.46 | 1.33 |
Гравий (> 2000 мкм), а также фракции среднего (250–500 мкм) и крупного (500–1000 мкм) песка в исследуемых донных осадках не обнаружены. Средний гранулометрический состав для Индигирского и Колымского разрезов показывает схожую картину: доля алевритовой фракции практически одинакова: 74.7 % на Индигирском и 75 % на Колымском разрезах, с аналогичными средними значениями пелита 18.7 % и 20.3 %. При этом среднее содержание песчаной фракции на Колымском разрезе (4.75 %) заметно меньше по сравнению с Индигирским (6.66 %). Однако распределение фракций на двух разрезах различается: с удалением от берега доля пелита и алеврита убывает, а песка увеличивается на Индигирском разрезе, в то время как на Колымском наблюдается обратная тенденция. На Индигирском разрезе увеличению доли песка соответствует резкое уменьшение содержания Сорг в осадках – от 2.1 % до 0.82 %. Пределы измеренных концентраций Сорг в осадках соответствуют литературным данным (Ветров и др., 2008; Kokarev et al., 2021). Установлена значимая прямая корреляция между содержанием Сорг и пелита (r = 0.79, (p < 0.05)) и обратная между Сорг и песком (r = –0.57). Корреляционная связь Сорг с содержанием алеврита отсутствует (r = 0.12). Среднее для всех станций содержание Сорг 1.43 %, существенных различий между Индигирским и Колымским разрезами не найдено (1.3 % и 1.53 % Сорг соответственно).
В табл. 6 приведены средние содержания химических элементов в исследуемых поверхностных осадках, верхней части земной коры, а также фактор обогащения осадков относительно последней (EF).
Таблица 6. Содержание химических элементов в верхней части земной коры и исследуемых донных осадках, а также фактор обогащения поверхностных донных осадков Восточно-Сибирского моря (микроэлементы – в 10–4 %)
Элемент | Верхняя часть земной коры* | Исследуемые донные осадки | EF |
Si, % | 31.31 | 27.63 | 0.89 |
Al, % | 8.16 | 8.12 | – |
Ca, % | 2.55 | 0.56 | 0.22 |
Fe, % | 3.53 | 4.02 | 1.14 |
Ti, % | 0.38 | 0.43 | 1.18 |
Ba | 628 | 594 | 0.88 |
Mn | 770 | 1600 | 2.22 |
V | 97 | 112 | 1.40 |
Zn | 67 | 94 | 1.10 |
Zr | 193 | 226 | 1.50 |
Cr | 92 | 47 | 1.00 |
Ni | 56 | 26 | 0.43 |
Co | 17 | 23 | 1.50 |
Cu | 28 | 8 | 0.33 |
Pb | 17 | 20 | 1.00 |
As | 4.8 | 21 | 5.0 |
Mo | 1.1 | 11 | 20.0 |
* (Rudnick, Gao, 2003).
Полученные нами данные по элементному составу осадков лежат в диапазоне значений из более ранних работ (Мирошников и др., 2020; Sattarova et al., 2021; Budko et al., 2022). Уровни содержания Si, Ai, Fe, Ti, Ba, Pb и Co не показывают существенных различий с породами верхней части континентальной коры (UCC) (табл. 6). Концентрации других элементов либо выше (Mn, V, Zn, Zr, As, Mo), либо ниже (Ca, Cr, Ni, Cu), чем в UCC. Однако для корректного сравнения обычно используется фактор обогащения EFx = (Cx/CAl)осадок/(Cx/CAl)UCC, где Сx и CAl – содержание элемента x и Al в изучаемых пробах и в верхней части континентальной коры соответственно (Salomons, Forstner, 1984; Rudnick, Gao, 2003). Значения EFx < 1 означают отсутствие обогащения (или обеднение), EFx 1–3 лишь обозначает превышение концентраций, EFx > 3 указывает на незначительное обогащение, и только EF > 10 характеризует обогащение от умеренного до сильного (Algeo, Tribovillard, 2009).
Обсуждение результатов
Рассматриваемые в данной работе микроэлементы, в первую очередь Mn, Zn, Co, Ni, Cu, Мо, являются эссенциальными, т.е. ключевыми в химической структуре металлоэнзимов и коферментов, катализирующих важные метаболические процессы (синтез хлорофилла, перенос электронов во время дыхания, лизис клеток, ферментативная деятельность и др.) (Morel, Price, 2003; Bruland, Lohan, 2004). Однако при превышении определенных пороговых концентраций эти микроэлементы могут оказывать токсичное воздействие на организмы. Другая группа микроэлементов (As, Cd, Pb, Bi, Tl, Th, U) относится к числу потенциально токсичных, содержание которых регламентируется протоколами качества компонентов экосистемы (воды, грунтов и морепродуктов). Бентосные организмы поглощают микроэлементы в составе органических и минеральных частиц из поверхностных донных осадков, а также растворимые формы элементов из придонных и иловых вод через проницаемые мембраны (Fisher, Reinfelder, 1995; Langston, Spencer, 1995; Blackmore, Morton, 2002). Среди биотических факторов, влияющих на биоаккумуляцию бентосом микроэлементов, рассматриваются их физиологическая важность и биогеохимические свойства, а также тип питания, трофический уровень, видовая специфика и стадия онтогенеза организмов (Fisher, Reinfelder, 1995; Blackmore, Morton, 2002; Христофорова и др., 2007; Rainbow et al., 2015; Páez-Osuna et al., 2015). Абиотические факторы среды обитания донных организмов, такие как гранулометрический состав, содержание Сорг, окислительно-восстановительные условия вмещающих осадков, формы нахождения в них химических элементов, соленость и температура придонной воды, гидродинамика – также важны для экологии и биогеохимии микроэлементов (Brown, Depledge, 1998; Rainbow, 2007; Boguta et al., 2022). По нашим данным (табл. 3), различные микроэлементы показывают разные уровни концентрации в целых организмах, их органах и тканях в зависимости от биогеохимических свойств элементов, способности организмов их усваивать, а также характеристик среды обитания.
Сопоставление наших данных по микроэлементам в детритофагах Portlandia arctica с их аналогами из моря Лаптевых (Demina et al., 2024) показало, что средние концентрации большинства элементов лежат в пределах одного десятичного порядка величин. Исключение составляют Mn, Pb и Mo, концентрации которых в 3–10 раз выше в таксонах из Восточно-Сибирского моря, что можно объяснить различиями в литолого-геохимических характеристиках вмещающих донных осадков двух сопредельных морей.
Для количественной оценки распределения элементов между мягкими тканями и карбонатными раковинами Bivalvia авторами был предложен коэффициент Kd (Сэл.мяг.тк/Сэл.рак) (Демина, Галкин, 2018). Значения Kd > 1 свидетельствуют о преимущественном накоплении элементов в мягких тканях по сравнению с раковинами, и наоборот, элементы с Kd < 1 обогащают раковины относительно мягких тканей. На рис. 4 показаны средние значения Kd для двустворок P. arctica на ст. 5598, расположенной на конусе выноса р. Индигирка и ст. 5615 в центральной части Колымского разреза.
Рис. 4. Средние значения Kd в двустворчатых моллюсках P. аrctica, обитающих вблизи конуса выноса р. Индигирка (ст. 5598) и в центральной части Колымского разреза (ст. 5615).
Для разных элементов значения Kd варьируют в пределах от 0.3 до 30 (табл. 3). Большинство элементов накапливается преимущественно в мягких тканях (Kd > 1). Самые высокие Kd = 30, 14 и 8, определены для Cd, Zn и As соответственно. Столь высокая степень обогащения этими элементами P. аrctica очевидно связана с биотическим фактором – высоким содержанием в мягких тканях Сорг. (44.36 %, табл. 4). Кадмий, Zn и As входят в группу элементов, склонных к образованию стабильных комплексов с органическими соединениями в морской среде (Morel, Price, 2003; Bruland, Lohan, 2004). Особенно высокое значение Kd Cd (30) в портландии может быть обусловлено и способностью Cd к замещению эссенциальной меди в липидных составляющих организмов зоопланктона (Zauke, Schmalenbach, 2005), который служит диетой полярных беспозвоночных. Наиболее низкие Kd (0.3) для Mn, Ba и Mo говорят о преимущественном их накоплении в карбонатных раковинах Bivalvia. Этот факт был отмечен ранее для Bivalvia из Енисейского залива и Корякского склона Берингова моря (Демина, Галкин, 2018; Demina et al., 2022). Отметим, что не все эссенциальные элементы показывают преимущественное накопление в мягких тканях, и более того, у потенциально токсичных Cd, As, Pb, Bi, Tl, Th и U выявлены Kd > 1, что свидетельствует о тенденции к преимущественному накоплению их в мягких тканях, существенно обогащенных Сорг относительно раковин.
Сравнение Kd для каждого из элементов между двумя станциями (рис. 4) показывает более высокие значения Kd литогенных элементов Sc, Ti, V, Pb, Th и U на мелководной ст. 5598. Это может быть связано с активной гидродинамической обстановкой и взмучиванием придонного слоя, что приводит к возрастанию доли литогенных элементов в составе детрита, который поглощается детритофагом P. аrctica. Кроме того, сестон, состоящий из смеси живого планктона и взвешенных частиц, характеризуется повышенной зольностью (48–57 %), обусловленной конституциональными элементами, формирующими экзоскелеты планктона (Cкарб, P, Si, Ca, Sr), а также покровные биоминеральные структуры (панцири, раковины, хитин) (Леонова и др., 2006; Христофорова и др., 2007). На Колымском разрезе (ст. 5615) более высокие (в 1.5–2 раза) значения показали не только эссенциальные Ni и Cr, но и потенциально токсичные Cd и Bi. Можно предположить, что этому способствует общее возрастание доли более биодоступного планктоногенного ОВ, которое поступает из высокопродуктивных вод Чукотского и Берингова морей (Anderson et al., 2011). Также следует иметь в виду, что субарктический планктон и сестон обогащены многими микроэлементами (Леонова и др. 2006; Демина, Немировская, 2007; Демина и др., 2019). Наряду с этим, в осадках ст. 5615 заметно повышено по сравнению со ст. 5598 содержание тонкодисперсной фракции пелитов и Сорг (табл. 5). Этот факт соответствует известной закономерности: повышенная удельная площадь поверхности частиц осадка определяет его высокие сорбционные и обменные свойства, присущие глинистым минералам, оксигидроксидам Fe и Mn, а также ОВ, которые служат эффективным сорбентом тяжелых металлов в окисленных осадках (Du Laing, 2009; Boguta et al., 2022). Возрастание пропорции таких компонент способствует повышению биодоступной формы микроэлементов в осадках (Gao et al., 2021).
Ракообразные Isopoda Saduriа spр. исследовались на обоих разрезах, для которых при движении от мелководных станций на север характерно изменение абиотических факторов среды: соленость возрастает на 5–7 единиц с одновременным снижением температуры на 4–5оС. В целом теле изоподы в северной части разрезов возрастают концентрации большинства микроэлементов как эссенциальных, так и потенциально токсичных (V, Mn, Co, Ni, As, Cd, Mo, Tl, Pb, Bi и U), особенно Mn (почти в 10 раз) (рис. 3 а, б). Этот факт можно объяснить разными причинами. Сначала рассмотрим геохимические и литологические характеристики вмещающих осадков.
Для большинства изученных осадков характерно обеднение относительно верхней части земной коры (табл. 6). Исключением служат As и Mo (EF 5 и 20 соответственно) и Mn (EF 2.2), которые в разной степени обогащают осадки. Отсюда следует, что в осадках присутствует дополнительный источник этих элементов, а именно, диагенетическое обогащение верхнего 0–2 см слоя за счет диффузионного подтягивания Mn (II) из нижележащей толщи слабо восстановленных осадков, что сопровождается окислением Mn c образованием аморфных оксигидроксидов Mn. Последние служат сорбентами As и Mo, имеющих самый высокий EF. Эффективная адсорбция As и Mo на оксигидроксидах Mn отмечается как их важное геохимическое свойство (Tribovillard, 2020). Кроме того, не исключается и влияние антропогенного фактора, обусловленного трансграничным атмосферным переносом As и Mo в мелкодисперсных фракциях аэрозолей в составе продуктов сгорания топлива (Shevchenko et al., 2009). В поверхностных донных осадках северо-восточной части Восточно-Сибирского моря также отмечено обогащение мышьяком (EF 1.9–2.2), имеющее природное происхождение (Sattarova et al., 2021). Наряду с этим, повышенное обогащение мышьяком (EF 4.2) в поверхностных осадках пролива Вилькицкого может быть обусловлено антропогенным фактором – поступлением продуктов сжигания торфа и угля (Budko et al., 2022). Повышенные значения EF As, Mo и Mn (6, 10 и 3 соответственно) обнаружены поверхностных осадках моря Лаптевых (Demina et al., 2024).
В осадках обоих разрезов возрастание содержания алевритопелитовой фракции и Сорг сопровождается ростом концентрации Fe, Mn, Cr, Ni, Co, Cu и Zn с коэффициентами парной корреляции r в диапазоне 0.43–0.78 (p < 0.05). Кремний, Zr, Al и Pb показали корреляцию с фракцией мелкого песка (r = 0.58, р < 0.05). При малом числе станций это лишь выявляет тенденцию, которую остальные элементы не показывают.
Элементные отношения в осадках каждой из станций показывают незначительное изменение литогенных индикаторов Si/Al и Zr/Ca (рис. 5 а, б), которые показывают тренд к прямой корреляционной связи с долей песка (r 0.56 и 0.6 соответственно, р < 0.05), что подтверждает преобладание в осадках терригенного материала.
Рис. 5. Изменение элементных отношений в поверхностных осадках Индигирского (а) и Колымского (б) разрезов.
На всех станциях среднее значение комплекса элементных отношений V/(V+Ni) < 1, Ni/Co < 5 и V/Cr < 2 (Jones, Manning, 1994) характеризует окислительные условия в верхнем слое осадков, что соответствует высокой насыщенности кислородом придонных вод (слой 0–15 см) (табл. 2). Незначительное возрастание отношения Si/Fe наблюдается в северной части Индигирского разреза (ст. 5598, рис. 5а) и южной части Колымского разреза (ст. 5619, рис. 5б), что, по-видимому, обусловлено повышенным здесь по сравнению с другими станциями содержанием песчаной фракции (табл. 5). С песчаной фракцией коррелирует Si (r 0.46, р < 0.05), a Fe, напротив, тяготеет к алевритопелитовой фракции (r 0.47, р < 0.05), причем распределение песчаной фракции нa двух разрезах имеет противоположный характер. Кроме этого, в осадках ст. 5606 и 5615 заметно возрастает по сравнению с другими станциями отношение Mn/Fe, что свидетельствует об относительном повышении доли гидроксидов Mn, что способствует возрастанию пропорции адсорбированного комплекса элементов и соответственно повышению их биодоступности.
На Индигирском разрезе от придельтовой к более глубокой части шельфа доля реакционно-способной алевритопелитовой фракции снижается от 99.1 % до 84.5 %, и резко возрастает (почти в 20 раз) мелкозернистого песка с соответствующим существенным сокращением содержания Сорг – от 2.1 % до 0.82 %. (табл. 5). В придельтовых осадках р. Индигирки отмечено абсолютное преобладание терригенного ОВ (до 95 %) (Ветров и др., 2008), которое, даже несмотря на относительно высокое содержание Сорг (2.1 %), очевидно не способствует повышению биодоступности элементов в осадках. На Колымском разрезе картина обратная: в северном направлении резко (в 10 раз) падает доля мелкозернистого песка и возрастает содержание пелитовой фракции и Сорг (табл. 5), т.е. при движении к северу во вмещающих осадках повышается роль более биодоступной фракции.
Таким образом, геохимические свойства вмещающих донных осадков на обоих разрезах, которые влияют на биодоступность элементов, имеют как общие, так и отличительные черты. При этом абиотические факторы на Индигирском разрезе вряд ли можно считать благоприятными для повышения биаккумуляции в организмах изопод. Отсюда мы предполагаем, что на увеличение концентраций элементов в целом теле изопод в северной части Индигирского разреза влияет биотический фактор, в частности, тип питания организма и диета. Изоподы Saduriа spp., принадлежащие к более высокому, чем остальные организмы, трофическому уровню, являются собирающими эврифагами-мусорщиками (хищниками), безвыборочно поглощающими как донный осадок, так и остатки других организмов. На наиболее глубоководной станции Индингирского разреза 5606 были найдены сибоглиниды Polarsternium rugellosum – трубчатые черви, которые обитают в восстановительных условиях (Karaseva et al., 2021), обеспечивая себя органическим веществом, созданным хемо- и метанотрофными бактериями-симбионтами, населяющими их трофосомы и окисляющими сульфиды и метан. Хемосимбиотрофные организмы характеризуются высокими концентрациями микроэлементов, особенно в мягких тканях, как показано для холодных метановых сипов на примере впадины Дерюгина в Охотском море (Demina, Galkin, 2018) и Корякского склона Берингова моря (Demina et al., 2022). Мы предполагаем, что диета эврифага изоподы Saduria spp., обогащенная микроэлементами, способствует повышению их концентраций в его теле в северной части Индигирского разреза.
Анализ данных по концентрациям микроэлементов и Сорг в иглокожих животных – офиурах (змеехвостках) и голотуриях (морских огурцах) (табл. 3, 4), собранных на Индигирском разрезе, выявил различия в характере их биоаккумуляции. Морфология тела офиуры такова, что спинная и брюшная стороны покрыты известковыми чешуйками. Целые организмы офиуры, как и его тела без желудков, на 76–85 % состоят из карбоната кальция, но содержат лишь 12–15 % Сорг (табл. 4). В содержимом желудка детритофага офиуры содержание каждого из исследованных элементов существенно выше (до 10 раз), чем в теле без желудка, что особенно выражено для литогенных элементов (в 10–17 раз). Некоторые тяжелые металлы (Ag, Zn, Tl, Bi, U) и As распределены более пропорционально (превышение в 1.5–2 раза) между телом и содержимым желудка (табл. 3). Это соответствует преобладанию в кишечнике грунтоедов мелкодисперсной фракции с размерами частиц мельче 63 мкм (Tessier, Campbell, 1987). В этой фракции по сравнению с крупноразмерной содержание микроэлементов значительно повышено, что также способствует повышенному накоплению большинства элементов в содержимом желудка детритофагов и грунтоедов.
Тело голотурии без кишечника, содержит в 2 раза больше Сорг (29.92 %), чем тело офиуры (табл. 4), что может обусловить повышенное (в 2.5–9 раз) накопление Zn, Cd, Mo, Ag и As, склонных к стабильному комплексобразованию с ОВ, в мягком теле голотурии по сравнению с содержимым кишечника. Напротив, литогенные элементы (Sc, Ti, V, Cr, Ba, Pb, Th), так же, как и в случае офиуры, показывают существенное обогащение (в 15–50 раз) содержимого кишечника этого грунтоеда относительно мягких тканей.
Исследованные организмы и их ткани были сгруппированы по сходству их химического состава (концентрации 19 микроэлементов, Сорг и Скарб) с использованием иерархического кластерного анализа по методу (Ward, 1993). Было выделено три кластера, которые представлены в форме дендрограммы на рис. 6.
Рис. 6. Дендрограмма взаимосвязей между различными организмами и их тканями на основе кластерного анализа. ЖКТ – желудочно-кишечный тракт голотурии и офиуры.
Кластер 1 включает в себя только один таксон – собирающий эврифаг-хищник изопода Saduria sibirica. В этом выражается отличие данного вида ракообразных от других групп организмов: максимальные содержания Mn и Cu, и повышенные – Cd, Сo, Zn, Ag и As (табл. 3) в сочетании с повышенным содержанием Cорг (31.9 %, табл. 4). В кластер 2 объединяются мягкие ткани двустворчатого моллюска Portlandia arctica, тело офиуры Ophiocten sericeum без желудка и тело голотурии M. linkii без кишечника. Отличительной чертой этих организмов от других является повышенное содержание Cорг с максимальным значением (43.37 %) в мягких тканях P. arctica. Вторым отличием этой группы организмов являются максимально высокие концентрации тяжелых металлов Cd, Ni, Pb и Bi, в несколько раз превышающие таковые в других организмах. С другой стороны, содержания Mn и Ва понижены в мягких тканях данных организмов. В кластер 3 входят раковины и целые тела двустворок, а также тела без желудков офиур, которые характеризуются низким содержанием Сорг (от 1.2 % до 5.9 %), но повышенным Скарб (от 10.3 % до 11.8 %). Раковины двустворок и офиуры в значительной мере (85–98 %) состоят из карбоната кальция. Это соответствует основному вкладу карбонатных биоминералов в вариативность элементов, Сорг и Скарб в донных экосистемах. Минимальное из исследуемых проб бентоса содержание Cорг в раковинах обусловливает низкие содержания в них тяжелых металлов Ag, Cd, Cr, Th, Zn, U и As. В свою очередь, раковины и тотальные пробы P. arctica отличаются высокими концентрациями Ba (21.25 мкг/г) и Tl (0.02 мкг/г).
Сопоставление группы элементов во вмещающих осадках и бентосных организмах различных таксономических категорий показало принципиально сходный характер распределения (рис. 7). Важным источником химических элементов в процессах аккумуляции бентосными организмами-детритофагами служат осадки, в которых уровни концентраций почти всех исследованных элементов многократно выше (от 3 до 300 раз). Разница в концентрациях элементов может быть обусловлена различиями в механизмах и времени экспозиции донных осадков и живых организмов (у последних оно в десятки раз меньше), а также разными геохимическими свойствами элементов. Так, наибольшее превышение концентраций в осадках (100–300 раз) показывают литофильные элементы Ti, Cr, Ba и Pb, тогда как для эссенциальных элементов Ni, Co, V, Mn, Zn, Mo и потенциально-токсичного As различия существенно сокращаются (от 30 до 3 раз). Исключение составляет эссенциальная Cu с одинаковым содержанием в осадках и целом теле двустворчатого моллюска P. arctica (рис. 7а) и показывающая десятикратное превышение концентрации в организмах изопод относительно осадков (рис. 7б). Последнее, по-видимому, обусловлено биогеохимическим свойством эссенциальной меди эффективно связываться с аминополисахаридами в структуре хитозана, составляющего хитиновый панцирь (Bensaha, Kara-Slimane, 2015), а также более высоким (по сравнению с другими таксонами) трофическим уровнем данного ракообразного – эврифага и хищника. При этом Mn, As и Zn пропорционально распределены между телом изоподы и осадками.
Рис. 7. Сопоставление распределения элементов в поверхностных осадках и донных организмах, включая целое тело двустворчатого моллюска P. arctica (а), целое тело изоподы Saduria sibirica (б), тело без желудков/кишечников офиуры Ophiocten sericeum (в) и голотурии Myriotrochus rinkii (г).
Тело офиуры O. Sericeum без желудка существенно (до 200 раз) обеднено всеми элементами, причем потенциально токсичный As показывает наименьшее (3 раза) различие с осадками (рис. 7в). Аналогично изоподе, концентрации As, Cu, Zn в теле без кишечника голотурии Myriotrochus rinkii и осадках показывают одинаковый уровень (рис. 7 г).
Причиной повышенного по сравнению с другими элементами накопления As, Cu и Zn в организмах относительно осадков может служить биотический фактор – тип питания детритофагов и грунтоедов, т.е. поглощение органического и минерального детрита. Органический детрит в осадках содержит остатки зоопланктона с высокими содержаниями этих элементов, связанных с Сорг (Леонова и др., 2006; Демина, Немировская, 2007; Лобус, 2016; Демина и др., 2019), что способствует увеличению биодоступности As, Cu и Zn. Остальные элементы находятся преимущественно в литогенной форме в терригенных осадках Карского, Белого и Баренцева морей (Демина и др., 2006; Будько и др., 2017), мало доступной для усвоения донными организмами. Аналогичную ситуацию повышенной аккумуляции Cu, Zn и As относительно осадков мы наблюдали для сестонофагов Bivalvia Similipecten greenlandicus и морcких звезд Asteroidea Ctenodiscus crispatus в местах высачивания метана в море Лаптевых (Demina et al., 2024).
В отличие от микроэлементов, содержание Сорг в различных компонентах тел детритофагов и грунтоедов многократно выше (5–44.36 %, табл. 4), чем во вмещающих донных осадках (1.43 % в среднем). Наиболее высокое содержание Сорг выявлено в мягких тканях двустворок, целых телах ракообразных и телах без кишечника голотурий – от 29.92 % до 44.36 %. В содержимом желудочно-кишечного тракта офиур и голотурий также обнаружены повышенное (в 4–6 раз) содержание Сорг относительно осадков (рис. 8).
Рис. 8. Сопоставление концентраций Сорг в целых телах и органах исследованных бентосных организмов с донными осадками. Цел. – тело целиком, мяг. тк. – мягкие ткани, раков. – раковины, тело без жел. – тело без желудка, сод. жел. – содержимое желудка, тело без киш. – тело без кишечника, сод. киш. – содержимое кишечника, дон. осад. – донные осадки.
Аналогичную картину в соотношениях Сорг мы наблюдали в донной экосистеме моря Лаптевых (Demina et al., 2024). Отсюда следует, что бентосные организмы служат одним из важных источников Сорг для осадков, участвуя в биологической аккумуляции и потенциальном секвестрировании углерода. В то же время высокие концентрации Скарб в раковинах двустворок и телах без желудков офиур (табл. 4) свидетельствуют об их кальцифицирующих свойствах и отражают их вклад в баланс карбонатного вещества в море.
Таким образом, функционирование бентосных сообществ влияет на трансформацию ОВ в донной экосистеме; в процессе метаболизма детритофаги и грунтоеды осуществляют биохимическую переработку осадков, обогащая содержимое своих кишечников органическим углеродом и возвращая его в осадки.
Количественную оценку биоаккумуляции химических элементов и Сорг можно получить, используя биоаккумуляционный потенциал (БП) (Демина, Галкин, 2018), который характеризует главное свойство живого вещества – продуцирование биомассы. БП оценивает способность организмов аккумулировать элементы, исходя из их содержания в целом организме, умноженном на его биомассу (г/м2 биотопа); он рассчитывается по формуле: БП = = Сэлем (мкг/г) × Биомасса (г/м2 биотопа). В наиболее благоприятных условиях мелководья Восточно-Сибирского моря двустворчатый моллюск Portlandia arctica абсолютно доминирует (Денисенко и др., 2010; Kokarev et al., 2021). Мы рассчитали БП этого доминирующего таксона с биомассой 58.4 г/м2 на ст. 5598. Исходя из того, что в целом теле Р. arctica содержится в среднем 5.98 % Сорг (табл. 4), получим БП = 3.5 г Сорг/м2. Эта величина примерно в 8 раз больше, чем БП P. arctica (0.44 г Сорг/м2), обитающей на внешнем шельфа моря Лаптевых (Demina et al., 2024), что соответствует гораздо более низкой здесь биомассе портландии при близком содержании Сорг (6.22 %). Будучи одним из важных источников ОВ в осадках, бентосные организмы влияют на связывание тяжелых металлов и сорбционные свойства осадков, увеличивая пропорцию биодоступных форм металлов в отложениях и придонной воде.
Заключение
Исследованные микроэлементы демонстрируют разный характер биоаккумуляции в различных органах и тканях бентосных организмов не столько в зависимости от их биологической значимости, сколько от уровня содержания Сорг в организмах. Это подтверждается тенденцией к возрастанию концентраций как эссенциальных, так и потенциально токсичных элементов в исследованных организмах при повышении в них концентраций Сорг, а также высоким значением Kd (8–30) в организмах двустворок. Об основной роли карбонатных раковин в накоплении Mn, Ba и Mo в Bivalvia P. arctica свидетельствуют наиболее низкие Kd (0.3) этих элементов и их обратная корреляция с Сорг. Влияние биотического фактора проявляется в преимущественном накоплении ряда микроэлементов в мягких тканях двустворчатых моллюсков, а также в телах без кишечников Myriotrochus rinkii, обогащенных Сорг (в среднем 43 % и 31 % соответственно). Высокие концентрации Сорг в мягких тканях портландий и голотурий, указывают на значительную роль этих организмов в углеродном балансе в донной экосистеме. С другой стороны, преобладание по массе биоминерала СаСО3 (76–85 %) в составе целого тела портландий и целого тела офиуры Ophiocten sericeum связано с кальцифицирующими свойствами этих организмов, которые пополняют запас карбоната кальция в донных осадках.
Повышению биодоступности микроэлементов для детритофагов и грунтоедов способствует увеличение содержания Сорг и алеврито-пелитовой фракции во вмещающих осадках. Это продемонстрировано заметным возрастанием концентрации большинства микроэлементов как эссенциальных, так и потенциально токсичных (Mn, Co, Ni, As, Cd, Mo, Tl, Pb, Bi, V и U) в целом теле ракообразного изоподы Saduriа sрp. в северной части Индигирского разреза. В данном случае такое возрастание очевидно обусловлено сочетанием таких биотических факторов как более высокий трофический уровень эврифага-хищника изоподы Saduria sibirica и высокое содержание Cорг в его теле, позволивших выделить изоподу в отдельный кластер, включающий в себя только этот таксон.
Терригенные осадки, вмещающие бентосные организмы, обеднены относительно верхней части континентальной коры всеми микроэлементами, кроме As, Mo и в меньшей степени Mn (EF 20, 5 и 2 соответственно). Взаимодействие между разными компонентами донной экосистемы выражается в сходном характере распределения группы элементов в организмах разных таксономических категорий и вмещающих осадках. Различия в механизмах и времени накопления элементов и их разные биогеохимические свойства обусловливают многократное превышение их содержаний в донных осадках по сравнению с живыми организмами. Для литогенных элементов оно составляет 100–300 раз, для ряда эссенциальных элементов (Ni, Co, V, Mn, Zn, Mo) и потенциально-токсичного As от 30 до 3 раз, тогда как эссенциальная Cu достигает десятикратного превышения содержания в организмах изопод относительно осадков.
В отличие от микроэлементов, которые поступают в организмы из компонентов придонной экосистемы, организмы сами служат одним из важных источников ОВ для осадков. Содержания Сорг в различных компонентах тел детритофагов и грунтоедов (кроме карбонатных раковин двустворок и тел офиур) многократно превышают (от 3 до 30 раз) таковое во вмещающих осадках (1.43 % в среднем). Следует отметить, что, наряду с отмеченными выше мягкими тканями двустворки, тотальными пробами ракообразных и телах без кишечника голотурий, содержимое желудочно-кишечного тракта офиур и голотурий также обогащено (в 4–6 раз) органическим углеродом относительно осадков. Важная седиментологическая функция организмов-детритофагов и грунтоедов заключается в продуцировании ОВ, биохимической переработке осадков, обогащении органическим углеродом продуктов метаболизма и возвращении их в осадки. Распределение органического углерода в организмах и осадках влияет на биогеохимический цикл определенной группы микроэлементов. Таким образом, полученные впервые сравнительные данные по содержанию Сорг и микроэлементов в компонентах донной экосистемы Восточно-Сибирского моря служат количественной иллюстрацией взаимодействия макрофауны с донными осадками.
Авторы благодарят капитана и команду НИС “Академик Мстислав Келдыш” за помощь при отборе материала, Д.Г. Борисова за гранулометрический анализ, Д.Ф. Будько за кластерный анализ и А.А. Удалова за консультацию по биомассе бентосных организмов. Особую благодарность мы выражаем рецензентам и научному редактору статьи В.Ю. Русакову.
Источник финансирования. Работа выполнена в рамках Госзадания Министерства образования и науки РФ (тема № FMWE-2024-0020).
About the authors
L. L. Demina
Shirshov Oceanology Institute, Russian Academy of Sciences
Author for correspondence.
Email: l_demina@mail.ru
Russian Federation, Nakhimovskii prospect, 36, Moscow, 117997
S. V. Galkin
Shirshov Oceanology Institute, Russian Academy of Sciences
Email: galkin@ocean.ru
Russian Federation, Nakhimovskii prospect, 36, Moscow, 117997
A. S. Solomatina
Shirshov Oceanology Institute, Russian Academy of Sciences
Email: blackmaple@yandex.ru
Russian Federation, Nakhimovskii prospect, 36, Moscow, 117997
References
- Будько Д.Ф., Демина Л.Л., Лисицын А.П., Кравчишина М.Д., Политова Н.В. (2017) Формы нахождения тяжелых металлов в современных донных осадках Белого и Баренцева морей. ДАН. 474 (1), 93–98. doi: 10.7868/S0869565217130187.
- Ветров A.A., Семилетов И.П. Дударев О.В., Пересыпкин В.И., Чаркин А.Н. (2008) Исследование состава и генезиса органического вещества донных осадков Восточно-Сибирского моря. Геохимия. (2), 183–195.
- Vetrov A.A., Semiletov I.P., Dudarev O.V., Peresypkin V.I., Charkin A.N. (2008). Composition and genesis of the organic matter in the bottom sediments of the East Siberian Sea. Geochem. Int. 46 (2), 156–167.
- Виноградова А.А., Котова Е.И. (2019) Загрязнение северных морей России тяжелыми металлами: поток из атмосферы и речной сток. Геофизические процессы и биосфера. 18 (1), 22–32. doi.org/10.21455/GPB2019.1-3
- Демидов А.Б., Гагарин В.И. (2019) Первичная продукция и условия окружающей среды осенью в Восточно-Сибирском море. ДАН. 487, 1006–1011.
- Демина Л.Л., Галкин С.В. (2018) Биоаккумуляция микроэлементов в организмах донных биогеоценозов окислительных и восстановительных обстановок океана: сходство и различие. Геохимия. (6), 572–585. doi: 10.7868/S0016752518060067.
- Demina L.L., Galkin S.V. (2018) Bioaccumulation of Trace Elements in Organisms of Benthic Biocenoses in Oceanic Oxidized and Reduced Environments: Similarities and Differences. Geochem. Int. 56 (6), 566–578.
- Демина Л.Л., Левитан М.А., Политова Н.В. (2006) О формах нахождения некоторых тяжелых металлов в донных осадках эстуарных зон рек Оби и Енисея (Карское море). Геохимия. (2), 212–226.
- Demina L.L., Levitan M.A., Politova N.V. (2006) Speciation of some heavy metals in bottom sediments of the Ob and Yenisei estuarine zones. Geochem. Int. 2006, 44 (2), 182–195.
- Демина Л.Л., Немировская И.А. (2007) Пространственное распределение микроэлементов в сестоне Белого моря. Океанология. 47 (3), 390–402.
- Демина Л.Л., Соломатина А.С., Абызова Г.А. (2019) Тяжелые металлы в зоопланктонных организмах Баренцева моря. Океанологические исследования. 47 (4), 62–75.
- Денисенко С.Г., Сиренко Б.И., Гагаев С.Ю., Петряшов В.В. (2010) Донные сообщества: структура и пространственное распределение в Восточно-Сибирском море на глубинах свыше 10 м. Исследование морской фауны. Санкт-Петербург, 130–143.
- Левитан М.А. (2015) Скорости седиментации отложений последних пяти морских изотопных стадий в Северном Ледовитом океане. Океанология. 55 (3), 470–479.
- Леонова Г.А., Бобров В.А., Шевченко В.П., Прудковский А.А. (2006) Сравнительный анализ микроэлементного состава сестона и донных осадков Белого моря. ДАН. 406 (4), 516–520.
- Лисицын А.П. (1994) Ледовая седиментация в Мировом океане. М.: Наука, 450 с.
- Лисицын А.П. (1983) Основные понятия биогеохимии океана. Биогеохимия океана. M.: Наука, 9–31.
- Лобус Н.В. (2016) Элементный состав зоопланктона Карского моря и заливов восточного побережья Новой Земли. Океанология. 56 (6), 890–900.
- Мирошников А.Ю., Флинт М.В., Асадулин Э.Э., Кравчишина М.Д., Лукша В.Б., Усачева А.А., Рябчук Д.Б., Комаров Вл. Б. (2020) Экологическое состояние и минералого-геохимические характеристики донных осакдов Восточно-Сибирского моря. Океанология. 60 (4), 595–610.
- Павлидис Ю.А., Ионин А.С., Щербаков Ф.А. и др. (1998) Арктический шельф. Позднечетвертичная история как основа прогноза развития. М.: ГЕОС, 187 с.
- Романкевич Е.А., Ветров А.А. (2001) Цикл углерода в Арктических морях России. М.: Наука, 302 с.
- Флинт М.В., Поярков С.Г., Римский-Корсаков Н.А., Мирошников А.Ю. (2019) Экосистемы морей Сибирской Арктики – 2018 (72 рейс научно-исследовательского судна “Академик Мстислав Келдыш”). Океанология. 59 (3), 506–509.
- Христофорова Н.К., Кавун В.Ю., Латыпов Ю.Ю., Тиен Д.Д., Журавель Е.В., Туян Н.Х. (2007). Тяжелые металлы в массовых видах двустворчатых моллюсков в бухте Ха-Лонг (Южно-Китайское море, Вьетнам). Океанология. 47(5), 685–690. https://doi.org/10.1134/s0001437007050116
- Шевченко В.П., Виноградова А.А., Лисицын А.П., Новигатский А.Н., Горюнова Н.В. (2009) Атмосферные аэрозоли как источник осадочного вещества и загрязнений в Северном Ледовитом океане // Система моря Лаптевых и прилегающих морей Арктики. Современное состояние и история развития. М.: Изд-во Московского ун-та, 150–172.
- Algeo T.J., Tribovillard N. (2009) Environmental analysis of paleoceanographic systems based on molybdenum-uranium covariation. Chem. Geol. 268, 211—225.
- Bensaha S., Kara-Slimane S. (2015) Biosorption of heavy metals by chitin and chitosan. Der. Pharma Chemica. 7(5), 54–63.
- Anderson L.G., Bjork I., Jutterström S., Pipko I., Shakhova N., Semiletov I., Wåhlström I. (2011) East Siberian Sea, an Artic region of very high biogeochemical activity. Biogeosciences. 8 (6), 1745–1754.
- Blackmore G., Morton B. (2002) The influence of diet on comparative trace metal cadmium, copper and zink accumulation in Thais calvigera (Gastropoda: Muricidae) preying on intertidal barnacles or mussels. Mar. Pollut. Bull. (44), 870–876.
- Boguta P, Skic K, Baran A, Szara-Bak M. (2022) The influence of the physicochemical properties of sediment on the content and ecotoxicity of trace elements in bottom sediments. Chemosphere. (287), 132–366.
- Brown M.T., Depledge M. H. (1998) Determinants of trace metal concentrations in marine organisms. Metal metabolism in aquatic environments. London: Chapman and Hall, 185–217.
- Budko D.F, Demina L.L., Travkina A.V., Starodymova D.P., Alekseeva T.N. (2022) The Features of Distribution of Chemical Elements, including Heavy Metals and Cs-137, in Surface Sediments of the Barents, Kara, Laptev and East Siberian Seas. Minerals. 12 (328). doi.org/10.3390/min12030328.
- Bruland K.W., Lohan M.C. (2004) Controls of trace metals in sea water. The Oceans and Marine Geochemistry (in: Holland, H.D., Turekian, K.K. (eds.), Treatise on Geochemistry. Elsevier: Amsterdam. 6, 23–47.
- Demina L.L., Galkin S.V. (2018) Ecology of the bottom fauna and bioaccumulation of trace metals along the Lena River – Laptev Sea transect. Environ. Earth Sci. 77(2), 43–55. https://doi.org/10.1007/s12665-018-7231-y.
- Demina L.L., Galkin S.V., Solomatina A.S (2024) Bioaccumulation of chemical elements and organic carbon in macrozoobenthic organisms of the Laptev Sea. Oceanology. 64 (1), 9–26.
- Demina L.L., Galkin S.V., Krylova E.M., Polonik N.S., Budko D.F., Solomatina A.S. (2022) Trace metal biogeochemistry in methane seeps on the Koryak slope of the Bering Sea. Deep-Sea Res. II. 206, Article 105219. https://doi.org/10.1016/j.dsr2.2022.105219.
- Demina L.L., Galkin S.V., Solomatina A.S. (2024) Bioaccumulation of сhemical еlements and щrganic Carbon in Macrozoobenthic Organisms of the Laptev Sea. Oceanology. 1, 9–26.
- Du Laing G. (2009) Trace metal behavior in estuarine and riverine floodplain soils and sediments: a review. Sci. Total Environ. 407, 3972–3985.
- Fisher N.S., Reinfelder J.R. (1995) The trophic transfer of metals in marine systems // Metal Speciation and Bioavailability in Aquatic Systems. New York: Wiley, 363–406.
- Gao L., R. Li, Z. Liang, Q. Wu, Z. Yang, M. Li, J. Chen, L. Hou. (2021). Mobilization mechanisms and toxicity risk of sediment trace metals (Cu, Zn, Ni, and Pb) based on diffusive gradients in thin films: a case study in the Xizhi River basin, South China. J. Hazard. Mater. 410 (15), Article 124590.
- Gordeev V.V., Pokrovsky O.S., Zhulidov A.V., Filippov A.S., Gurtovaya T.Y., Holmes R.M., Kosmenko L.S., McClelland J.W., Peterson B.J., Tank S.E. (2024) Dissolved Major and Trace Elements in the Largest Eurasian Arctic Rivers: Ob, Yenisey, Lena, and Kolyma. Water. 16, 316–343. https://doi.org/ 10.3390/w16020316
- Grebmeier J.M., Cooper L.W., Feder H.M., Sirenko B.I. (2006) Ecosystem dynamics of the Pacific -influenced Northern Bering and Chukchi Seas in the Amerasian Arctic. Progr. Oceanogr. 77, 331–361.
- Jones B., Manning D. (1994). Comparison of geochemical indices used for the interpretation of palaeoredox conditions in ancient mudstones. Chem. Geol. 111, (1–4), 111–129. https://doi.org/10.1016/0009-2541(94)90085X
- Karaseva N.P., Rimskaya-Korsakova N.N., Ekimova I.A., Kokarev V.N., Simakov M.I., Gantsevich M.M., Malakhov V.V. (2021) The First Discoveryof Pogonophora (Annelida, Siboglinidae) in the East Siberian Sea Coincides with the Areas of Methane Seeps. Dokl. Biol. Sci. 501, 187–191.
- Kokarev V.N., Vedenin A.A., Polukhin A.A., Basin A.B. (2021) Taxonomic and functional patterns of macrobenthic communities on a high Arctic shelf: A case study from the East Siberian Sea. J. Sea Res. 174. 102078. doi.org/10.1016/j.seares.102078.
- Langston W.J., Spencer S.K. (1995) Biological factors involved in metal concentrations observed in aquatic organisms. Metal Speciation and Bioavailability in Aquatic Systems. New York: Wiley, 407–478.
- Morel F.M.M., Price N.M. (2003) The biogeochemical cycles of trace metals in the oceans. Science. 300, 944–947.
- Páez-Osuna F., Osuna-Martínez C.C. (2015). Bioavailability of Cadmium, Copper, Mercury, Lead, and Zinc in Subtropical Coastal Lagoons from the Southeast Gulf of California Using Mangrove Oysters (Crassostrea corteziensis and Crassostrea palmula). Arch. Environ. Contamin. Toxicol. 68 (2), 305–316. https://doi.org/10.1007/s00244-014-0118-3
- Rainbow P.S. (2007) Trace metal bioaccumulation: Models, metabolic availability and toxicity. Environ. Intern. 33, 576–582.
- Rainbow P. S., Liu F., Wang W. X. (2015). Metal accumulation and toxicity: The critical accumulated concentration of metabolically available zinc in an oyster model. Aquatic Toxicology. 162, 102–108. https://doi.org/10.1016/j.aquatox.2015.03.007
- Rudnick R.L., Gao S. (2003) Composition of the continental crust. In Treatise on Geochemistry. (Eds Holland, H.D., Turekian, K.K.). Elsevier Pergamon: Amsterdam, The Netherlands, 1–64.
- Salomons W., Forstner U. (1984) Metals in the Hydrocycle. Berlin/Heidelberg: Springer. 349 pp.
- Sattarova V., Aksentov K., Astakhov A., Shi X., Hu L., Alatortsev A., Mariash A.,Yaroshchuk E. (2021) Trace metals in surface sediments from the Laptev and East Siberian Seas: Levels, enrichment, contamination assessment, and sources. Mar. Pollut. Bullet. 173. 112997. https://doi.org/10.1016/j.marpolbul.2021.112997
- Semiletov I., Dudarev O., Luchin V., CharkinA., Shin K.H., Tanaka N. (2005) The East Siberian Sea as a transition zone between Pacific-derived waters and Arctic shelf waters. Geophys. Res. Lett. 32, L10614.
- Semiletov I. P., Shakhova N. E., Sergienko V. I., Pipko I. I., Dudarev O. V. (2012) On carbon transport and fate in the East Siberian Arctic land–shelf–atmosphere system. Environ. Res. Lett. 7 (1), 15201. doi: 10.1088/1748-9326/7/1/015201.
- Semiletov I., Pipko I., Gustafsson O., Anderson L.G., Sergienko V., Pugach S., Andersson A. (2016) Acidification of East Siberian Arctic Shelf waters through addition of freshwater and terrestrial carbon. Nat. Geosci. 9 (5), 361–365.
- Shakhova N., Semiletov I., Chuvilin E. (2019) Understanding the permafrost–hydrate system and associated methane releases in the East Siberian Arctic shelf. Geosciences. 9 (6), 251 doi: 10.3390/geosciences9060251.
- Shevchenko V.P., Vinogradova A. A. , Lisitsyn A. P. , Novigatskii A.N., Goryunova N. V. (2009) Atmospheric aerosols as a source of sediment and pollution in the Arctic Ocean. In The system of the Laptev Sea and adjacent Arctic seas. Current state and history of development. Moscow: Lomonosov State University, 150–172.
- Tessier A., P.G.C. Campbell. (1987) Partitioning of trace metals in sediments: Relationships with bioavailability Hydrobiologia. 149, 43–52.
- Tribovillard N.P. (2020) Arsenic in marine sediments: how robust a redox proxy? Palaeogeography, Palaeoclimatology, Palaeoecology. 550 (5):109745. doi: 10.1016/j.palaeo.2020.109745.
- Vetrov A.A., Romankevich E.A. (2004) Carbon Cycle in the Russian Arctic Seas. Berlin: Springer, 331 pp.
- Ward J.H. (1993) Hierarchical grouping to optimize an objective function. J. Amer. Statist. Assoc. 58, 236–244.
- Yulin A.V., Charitonov M.V., Pavlova E.A., Ivanov V.V. (2018). Seasonal and interannual changes of ice massifs in east Siberian Sea. Arct. Antarct. Res. 64 (3), 229–240.
- Zauke G.P., Schmalenbach I. (2005) Heavy metals in zooplankton and decapod crustaceans from the Barents Sea // Scie. Total Environ. 359 (1), 283–294. doi: 10.1016/j.scitotenv.2005.09.002.
Supplementary files










