Assessment of the age and conditions of metamorphism of high-pressure blastolites of the Gonzhinsky block of the Argun superterrane of the eastern part of the Central Asian folded belt
- Authors: Fugzan M.M.1, Kirnozova T.I.1, Kozlovskiy V.M.2, Ovchinnikov R.O.3, Kozakov I.K.4
-
Affiliations:
- V.I. Vernadsky Institute of Geochemistry and Analytical Chemistry of the RAS
- Institute of Geology of Ore Deposits, Petrography, Mineralogy and Geochemistry, RAS
- Institute of Geology and Environmental Management, FEB RAS
- Institute of Geology and Geochronology of the Precambrian RAS
- Issue: Vol 69, No 3 (2024)
- Pages: 241-251
- Section: Articles
- URL: https://bakhtiniada.ru/0016-7525/article/view/264045
- DOI: https://doi.org/10.31857/S0016752524030024
- EDN: https://elibrary.ru/KKQQHQ
- ID: 264045
Cite item
Full Text
Abstract
As a result of petrographic and thermobaric studies, 4 mineral associations were identified in the blastolite: relict, main, association corresponding to biotitisation and association of retrograde changes. The relict association probably represented eclogites The main mineral association corresponds to apoeclogite zoisite amphibolites. Determination of the P-T parameters of the formation of this association showed an interval of P = 13.0–15.0 kbar and T = 580-670 °C. At the same time, if we take the most ferruginous outer rim of amphibole-1 for calculations, then the P-T parameters shift to a higher temperature region of P = 13.0–17.0 kbar and T = 660-780 °C. The association corresponding to the imposed biotitisation is well structurally expressed. The lines of monomineral equilibria of the biotite association constructed from various combinations of garnet, biotite and plagioclase compositions showed good convergence in the local region corresponding to the interval P = 12.5-13.2 kbar and T = 810-830 °C. The last association of retrograde changes includes low-alumina amphibole-2.The association corresponding to the imposed biotitisation.ше is well structurally expressed. The last association of retrograde changes includes low-alumina amphibole-2. Based on the obtained isotopic data, a mineral Sm-Nd isochron was constructed for the rock, garnet and two amphiboles. The age of the isochron is 171 ± 3 million years, the latter is interpreted as the time of formation of the main mineral association and corresponds to its crystallization at the peak of metamorphism.
Full Text
ВВЕДЕНИЕ
Гонжинский, Инимский и Путакский тектонические блоки, традиционно рассматривались в качестве раннедокембрийского фундамента Аргунского супертеррейна восточной части Центрально-Азиатского складчатого пояса (ЦАСП) (Петрук, Козлов, 2009) (рис. 1). Предполагалось, что в строении Гонжинского блока преобладают метаморфические породы амфиболитовой фации гонжинской серии, условно архейского возраста (Геодинамика и магматизм, 2006), а также вулканогенно-осадочные отложения зеленосланцевой, эпидот-амфиболитовой фации чаловской серии условно палеопротерозойского возраста (Петрук, Козлов, 2009).
Рис. 1. Основные тектонические элементы восточной части ЦАСП с использованием (Парфенов и др., 2004).
Условные обозначения: 1 – супертеррейны; 2 – палеозойские-раннемезозойские складчатые пояса; 3 – позднеюрско-раннемеловые орогенные пояса; 4 – район исследования.
Цифры в кружках: 1 – Аргунский, 2–4 Бурея-Цзямуси-Ханкайский супертеррейн (2 – Буреинский, 3 – Цзямусинский, 4 – Ханкайский террейны), 5 – Монголо-охотский, 6 – Южномонгольский, 7 – Солонкерский, 8 – Вундурмиао складчатые пояса.
Позднее было установлено (Овчинников и др., 2019), что возраст протолита биотит-серицит-мусковитовых сланцев Инимского блока не превышает 991 млн лет, а их источниками послужили породы нео-, мезо- и палеопротерозойской и архейской континентальной коры.
Также было показано, что протолиты метаморфических пород гонжинской серии Гонжинского блока имеют не раннедокембрийский, как считалось ранее, а более молодой –мезозойский возраст (Сальникова и др., 2012). В результате геохронологических исследований метапесчаников чаловской серии Гонжинского блока было показано, что возраст наиболее молодых детритовых цирконов в них соответствует ордовику (Смирнова, Сорокин 2019). Эти данные, позволили сопоставить Гонжинский блок с позднемезозойскими метаморфическими ядрами кордильерского типа Западного Забайкалья (Котов и др., 2013). В тоже время, вопрос о возрастных рубежах и условиях метаморфических преобразований высокометаморфизованных пород Гонжинского блока остается открытым.
Цель исследования: установить условия формирования метаморфических пород Гонжинского блока, определить возраст кристаллизации минералов пород этого блока. Для решения поставленных задач, были проведены петрографические, термобарические и изотопно-геохронологические исследования.
ГЕОЛОГИЯ И ОПИСАНИЕ ОБРАЗЦОВ
В составе Гонжинского блока нами были изучены метаморфические толщи, сложенные хлорит-серицит-кварцевыми сланцами с хлоритоидом. В этих породах наблюдаются отчетливые деформационные текстуры, характерные для бластомилонитов, сформированных в пластических зонах деформаций. В сланцах были установлены фрагменты рассланцованных мигматитов и линзы массивных гранобластовых апоэклогитовых высокобарических пород (Овчинников и др., 2022). Последние и были выбраны для детального петрографического и геохронологического изучения. Эти породы обладают однородной массивной или пятнистой текстурой и порфиробластовой структурой. Пятнистость связана с тем, что в породах наблюдаются сегрегации цветных минералов (граната и амфибола), чередующиеся с лейкократовыми скоплениями зерен кварца. Структура породы – порфиробластовая; она обусловлена наличием крупных (4–6 мм) изометричных кристаллов граната, выделяющихся на фоне средне-крупнозернистой основной массы породообразующих минералов. По минеральному составу породу можно классифицировать как плагиоклазсодержащий биотитизированный гранат-цоизит-кварц-амфиболовый гранофельс или бластолит по терминологии (Шуркин, 1957).
МЕТОДЫ ИССЛЕДОВАНИЙ
Анализы составов минералов выполнены в лаборатории анализа минерального вещества ИГЕМ РАН на микроанализаторе JXA-8200 при ускоряющем напряжении 20 кВ и токе зонда 15 нА. Время накопления импульсов – 10 с на каждый элемент. Оценка PT условий метаморфизма минеральных ассоциаций проводилась методом построения линий моновариантных полиминеральных равновесий в поле температура-давление (метод TWQ) (Berman et al., 1991). При расчете линий моновариантных равновесий гранат-амфиболовой ассоциации использовалась база термодинамических данных B-92 (Berman et al., 1991; Mader, Berman, 1992); для гранат-биотитовой ассоциации – база данных DEC-06 (Berman et al., 1995; Berman, Aranovich, 1996; Aranovich, Berman 1996). Sm-Nd изотопно-геохимические исследования для определения возраста проводили по методике, принятой в лаборатории изотопной геохимии и геохронологии ГЕОХИ РАН (Ревяко и др., 2012). Изотопный состав неодима и самария измерен на многоколлекторном масс-спектрометре Triton.
РЕЗУЛЬТАТЫ И ОБСУЖДЕНИЕ
Петрографические и термобарометрические исследования
Бластолиты содержат гранат, плагиоклаз и амфибол паргаситового состава, которые составляют крупнозернистый каркас породы. Кроме того, амфибол, хлорит и редкий парагонит формируют мелкозернистый агрегат, развивающийся по трещинам в гранате. Цоизит пространственно приурочен к срастаниям зерен плагиоклаза. Зерна амфибола в бластолитах неоднородны: в центральных частях зерен выделяются светлые и слабо плеохроирующие участки, отвечающие по составу, предположительно, актинолиту. В средней части и ближе к краям амфибол приобретает буро-зеленый плеохроизм, характерный для глиноземистой роговой обманки или паргасита. Кроме того, в бластолитах присутствует характерный апоомфацитовый клинопироксен-плагиоклазовый симплектитовый агрегат. Данный агрегат, предположительно имеет реликтовую природу. Также в бластолитах выделяется отчетливо более поздний минеральный агрегат, состоящий из тонких срастаний мелкочешуйчатого биотита и кислого плагиоклаза.
В данной породе выделяются несколько разновозрастных минеральных ассоциаций.
(1) Реликтовая ассоциация, вероятно, была представлена гранатом-1, омфацитом и кварцем, то есть представляла собой эклогиты. Но сохранилась она весьма плохо. От омфацита остались только характерные структуры распада, представленные плагиоклаз-клинопироксеновым симплектитом. При этом клинопироксен в структурах распада практически полностью замещен амфиболом-1 – паргаситом (рис. 2). Первичный кислый плагиоклаз, характерный для структур распада, также не сохранился. Отдельные зерна, встреченные в этих структурах, представлены битовнитом с An = 82 мол. % (табл. 1, анализ 36). Гранат-1, относящийся к эклогитовой ассоциации, сохранился в центральных частях зерен. Он слагает ядра неправильной формы, выделяющиеся по темно-серому фототону и обособленные относительно светло-серой новообразованной каймы граната-2 (рис. 3).
Рис. 2. Псевдоморфозы амфибола-1 по клинопироксену в апоомфацитовых структурах распада.
Таблица 1. Химический и компонентный состав плагиоклазов из бластолитов Гонжинского блока Аргунского массива
Компоненты | Номера анализов | ||||||||||
36 | 44 | 45 | 46 | 47 | 48 | 49 | 56 | 57 | 58 | 59 | |
SiO2 | 47.59 | 67 | 67.31 | 67.18 | 65.07 | 66.59 | 66.38 | 55.64 | 54.58 | 55.36 | 53.6 |
Al2O3 | 33.21 | 21.07 | 21.16 | 20.93 | 22.28 | 20.85 | 20.91 | 27.88 | 28.4 | 28.21 | 29.33 |
FeO | 0.36 | 0.01 | 0.05 | 0.08 | 0.07 | 0.04 | 0.02 | 0.11 | 0.23 | 0.07 | 0.39 |
CaO | 16.87 | 1.94 | 1.94 | 1.98 | 3.44 | 1.92 | 1.99 | 10.64 | 11.16 | 10.74 | 12.02 |
Na2O | 2.08 | 10.29 | 10.74 | 10.37 | 9.85 | 9.52 | 10.38 | 5.86 | 5.53 | 5.69 | 4.93 |
K2O | 0.02 | 0.11 | 0.11 | 0.06 | 0.06 | 0.07 | 0.07 | 0.03 | 0.03 | 0.06 | 0.05 |
Сумма | 100.13 | 100.42 | 101.31 | 100.6 | 100.77 | 98.99 | 99.75 | 100.16 | 99.93 | 100.13 | 100.32 |
An | 0.82 | 0.09 | 0.09 | 0.10 | 0.16 | 0.10 | 0.10 | 0.50 | 0.53 | 0.51 | 0.57 |
Ab | 0.18 | 0.90 | 0.90 | 0.90 | 0.84 | 0.90 | 0.90 | 0.50 | 0.47 | 0.49 | 0.42 |
Kfs | 0.00 | 0.01 | 0.01 | 0.00 | 0.00 | 0.00 | 0.00 | 0.00 | 0.00 | 0.00 | 0.00 |
Рис. 3. Зональный гранат, гранат-цоизит-кварц-амфиболовых бластолитов. В центральной части зерен сохранился высокомагнезиальный гранат-1 эклогитовой ассоциации; по краям на контакте с амфиболом-1 в гранате формируется железистая зона граната-2.
Гранат-1 в ядрах – более магнезиальный, чем в кайме: Prp = 28–35 мол. %, Alm = 32–36 мол. %, Grs = 23–27 мол. % (табл. 2, анализы 1, 2, 3, 4, 16, 17).
Таблица 2. Химический состав, коэффициенты в кристаллохимической формуле и компонентный состав гранатов из бластолитов Гонжинского блока Аргунского массива
Компоненты | Номера анализов | ||||||||||||||
1 | 2 | 3 | 4 | 16 | 17 | 5 | 6 | 7 | 8 | 9 | 60 | 61 | 62 | 63 | |
SiO2 | 39.49 | 39.67 | 39.58 | 39.80 | 39.34 | 39.52 | 38.08 | 38.50 | 38.98 | 39.25 | 38.53 | 38.85 | 38.76 | 38.73 | 38.84 |
TiO2 | 0.42 | 0.34 | 0.33 | 0.46 | 0.35 | 0.32 | 0.27 | 0.46 | 0.26 | 0.31 | 0.49 | 0.37 | 0.40 | 0.38 | 0.35 |
Al2O3 | 21.17 | 21.06 | 20.95 | 21.19 | 21.18 | 21.11 | 20.40 | 20.24 | 20.90 | 20.97 | 20.33 | 20.52 | 20.73 | 20.58 | 20.65 |
Cr2O3 | 0.00 | 0.00 | 0.02 | 0.03 | 0.01 | 0.00 | 0.00 | 0.00 | 0.00 | 0.01 | 0.00 | 0.00 | 0.00 | 0.00 | 0.00 |
FeO | 19.27 | 20.45 | 20.32 | 20.05 | 21.17 | 20.89 | 28.35 | 26.81 | 27.48 | 24.77 | 27.17 | 26.08 | 26.44 | 26.31 | 26.23 |
MnO | 0.33 | 0.42 | 0.46 | 0.45 | 0.54 | 0.53 | 1.24 | 1.49 | 0.71 | 0.45 | 0.92 | 0.23 | 0.26 | 0.21 | 0.20 |
MgO | 9.31 | 7.92 | 7.81 | 8.98 | 7.37 | 7.92 | 2.91 | 2.92 | 3.69 | 5.65 | 3.63 | 4.91 | 4.90 | 4.86 | 4.69 |
CaO | 8.79 | 9.21 | 9.75 | 8.71 | 9.93 | 9.56 | 8.42 | 9.24 | 8.84 | 8.85 | 8.57 | 8.64 | 8.64 | 8.71 | 8.57 |
Na2O | 0.03 | 0.03 | 0.07 | 0.05 | 0.06 | 0.09 | 0.01 | 0.22 | 0.07 | 0.04 | 0.08 | 0.08 | 0.07 | 0.09 | 0.10 |
K2O | 0.00 | 0.00 | 0.00 | 0.00 | 0.01 | 0.00 | 0.00 | 0.03 | 0.01 | 0.02 | 0.01 | 0.00 | 0.01 | 0.00 | 0.00 |
Сумма | 98.81 | 99.09 | 99.27 | 99.71 | 99.95 | 99.94 | 99.67 | 99.90 | 100.93 | 100.32 | 99.72 | 99.67 | 100.20 | 99.87 | 99.63 |
Si | 3.02 | 3.06 | 3.04 | 3.03 | 3.01 | 3.02 | 3.03 | 3.05 | 3.04 | 3.04 | 3.05 | 3.05 | 3.03 | 3.03 | 3.05 |
Ti | 0.02 | 0.02 | 0.02 | 0.03 | 0.02 | 0.02 | 0.02 | 0.03 | 0.02 | 0.02 | 0.03 | 0.02 | 0.02 | 0.02 | 0.02 |
Al | 1.91 | 1.91 | 1.90 | 1.90 | 1.91 | 1.90 | 1.91 | 1.89 | 1.92 | 1.91 | 1.90 | 1.90 | 1.91 | 1.90 | 1.91 |
Cr | 0.00 | 0.00 | 0.00 | 0.00 | 0.00 | 0.00 | 0.00 | 0.00 | 0.00 | 0.00 | 0.00 | 0.00 | 0.00 | 0.00 | 0.00 |
Fe3+ | 0.00 | 0.00 | 0.00 | 0.00 | 0.03 | 0.04 | 0.00 | 0.00 | 0.00 | 0.00 | 0.00 | 0.00 | 0.01 | 0.00 | 0.00 |
Fe2+ | 1.23 | 1.31 | 1.30 | 1.27 | 1.32 | 1.29 | 1.89 | 1.77 | 1.79 | 1.60 | 1.80 | 1.71 | 1.72 | 1.72 | 1.72 |
Mn | 0.02 | 0.03 | 0.03 | 0.03 | 0.03 | 0.03 | 0.08 | 0.10 | 0.05 | 0.03 | 0.06 | 0.02 | 0.02 | 0.01 | 0.01 |
Mg | 1.06 | 0.91 | 0.89 | 1.02 | 0.84 | 0.90 | 0.35 | 0.34 | 0.43 | 0.65 | 0.43 | 0.57 | 0.57 | 0.57 | 0.55 |
Ca | 0.72 | 0.76 | 0.80 | 0.71 | 0.82 | 0.78 | 0.72 | 0.78 | 0.74 | 0.73 | 0.73 | 0.73 | 0.72 | 0.73 | 0.72 |
Na | 0.00 | 0.00 | 0.01 | 0.01 | 0.01 | 0.01 | 0.00 | 0.03 | 0.01 | 0.01 | 0.01 | 0.01 | 0.01 | 0.01 | 0.02 |
К | 0.00 | 0.00 | 0.00 | 0.00 | 0.00 | 0.00 | 0.00 | 0.00 | 0.00 | 0.00 | 0.00 | 0.00 | 0.00 | 0.00 | 0.00 |
Grs | 0.24 | 0.25 | 0.26 | 0.23 | 0.27 | 0.25 | 0.24 | 0.26 | 0.25 | 0.24 | 0.24 | 0.24 | 0.24 | 0.24 | 0.24 |
Prp | 0.35 | 0.30 | 0.30 | 0.34 | 0.28 | 0.30 | 0.11 | 0.11 | 0.14 | 0.22 | 0.14 | 0.19 | 0.19 | 0.19 | 0.18 |
Alm | 0.32 | 0.35 | 0.35 | 0.34 | 0.36 | 0.35 | 0.59 | 0.54 | 0.55 | 0.47 | 0.55 | 0.51 | 0.51 | 0.51 | 0.52 |
Sps | 0.01 | 0.01 | 0.01 | 0.01 | 0.01 | 0.01 | 0.03 | 0.03 | 0.02 | 0.01 | 0.02 | 0.01 | 0.01 | 0.00 | 0.00 |
(2) Главная минеральная ассоциация, представлена амфиболом-1, плагиоклазом-1, цоизитом и гранатом-2. Эта ассоциация отвечает апоэклогитовым цоизитовым амфиболитам. Амфибол-1 – паргасит или ферропаргасит формирует как крупные порфиробласты, замещающие клинопироксен, так и агрегаты неясно выраженных призматических кристаллов. Амфибол-1 обычно зональный. Зональность проявляется в том, что к краям кристаллов возрастает железистость и снижается магнезиальность амфибола-1: в центре Mg/(Fe2+ + Mg) = 55–57 % (табл. 3, анализы 20, 21, 22, 23), по краям Mg/(Fe2+ + + Mg) = 40–44 % (табл. 3, анализы 24, 25) (рис. 4). Кроме того, низкомагнезиальный амфибол-1 залечивает трещины в гранате-1 и 2 (рис. 5). Плагиоклаз-1 в этой ассоциации представлен единичными незональными зернами и по составу отвечает альбит-олигоклазу с An = 9–16 мол. % (табл. 1, анализы 44, 45, 46, 47, 48, 49). К амфиболитовой ассоциации можно отнести внешнюю более железистую кайму граната-2 (рис. 3 и 5): Prp = 11–22 мол. %, Alm = = 47–59 мол. %, Grs = 24–26 мол. % (табл. 2, анализы 5, 6, 7, 8, 9). Кроме того, в этой ассоциации присутствует цоизит, который формирует изометричные или слабо вытянутые зерна, располагающиеся преимущественно на контакте зерен амфибола-1 или граната с кальцитом.
Таблица 3. Химический состав и коэффициенты в кристаллохимических формулах амфиболов из бластолитов Гонжинского блока Аргунского массива
Компоненты | Номера анализов | |||||||
20 | 21 | 22 | 23 | 24 | 25 | 26 | 27 | |
SiO2 | 45.63 | 47.20 | 43.77 | 43.31 | 40.16 | 38.39 | 53.44 | 53.54 |
TiO2 | 1.33 | 1.02 | 0.94 | 0.81 | 0.28 | 0.35 | 0.16 | 0.13 |
Al2O3 | 10.17 | 8.59 | 12.60 | 12.77 | 16.70 | 20.32 | 2.55 | 2.27 |
FeO | 16.04 | 15.70 | 14.87 | 15.34 | 18.66 | 18.25 | 14.36 | 14.06 |
MnO | 0.10 | 0.16 | 0.15 | 0.13 | 0.33 | 0.34 | 0.14 | 0.13 |
MgO | 10.16 | 10.68 | 10.21 | 10.12 | 6.77 | 5.75 | 13.42 | 13.87 |
CaO | 12.17 | 12.30 | 11.87 | 11.63 | 10.84 | 11.20 | 12.73 | 12.80 |
Na2O | 1.59 | 1.26 | 1.98 | 2.06 | 2.17 | 2.50 | 0.35 | 0.22 |
K2O | 0.51 | 0.45 | 0.68 | 0.59 | 0.22 | 0.35 | 0.05 | 0.04 |
Сумма | 97.70 | 97.35 | 97.06 | 96.74 | 96.11 | 97.45 | 97.19 | 97.06 |
Si | 6.77 | 7.00 | 6.51 | 6.47 | 6.11 | 5.77 | 7.79 | 7.81 |
AlIV | 1.23 | 1.00 | 1.49 | 1.53 | 1.89 | 2.23 | 0.21 | 0.19 |
Sum T | 8.00 | 8.00 | 8.00 | 8.00 | 8.00 | 8.00 | 8.00 | 8.00 |
AlVI | 0.55 | 0.50 | 0.72 | 0.72 | 1.10 | 1.37 | 0.23 | 0.20 |
Ti | 0.15 | 0.11 | 0.11 | 0.09 | 0.03 | 0.04 | 0.02 | 0.01 |
Fe3+ | 0.15 | 0.15 | 0.16 | 0.23 | 0.38 | 0.32 | 0.13 | 0.08 |
Mg | 2.25 | 2.36 | 2.26 | 2.25 | 1.53 | 1.29 | 2.91 | 3.01 |
Fe2+ | 1.84 | 1.80 | 1.69 | 1.67 | 1.92 | 1.93 | 1.62 | 1.63 |
Mn | 0.01 | 0.02 | 0.02 | 0.01 | 0.02 | 0.02 | 0.02 | 0.02 |
Sum C | 4.94 | 4.93 | 4.96 | 4.96 | 4.98 | 4.97 | 4.93 | 4.95 |
Mg | 0.00 | 0.00 | 0.00 | 0.00 | 0.00 | 0.00 | 0.00 | 0.00 |
Fe2+ | 0.00 | 0.00 | 0.00 | 0.02 | 0.07 | 0.04 | 0.00 | 0.00 |
Mn | 0.00 | 0.00 | 0.00 | 0.01 | 0.02 | 0.02 | 0.00 | 0.00 |
Ca | 1.93 | 1.95 | 1.89 | 1.86 | 1.76 | 1.80 | 1.99 | 2.00 |
Na | 0.07 | 0.05 | 0.11 | 0.11 | 0.15 | 0.14 | 0.01 | 0.00 |
Sum B | 2.00 | 2.00 | 2.00 | 2.00 | 2.00 | 2.00 | 2.00 | 2.00 |
Na | 0.39 | 0.31 | 0.46 | 0.48 | 0.49 | 0.59 | 0.09 | 0.06 |
K | 0.10 | 0.09 | 0.13 | 0.11 | 0.04 | 0.07 | 0.01 | 0.01 |
Sum A | 0.49 | 0.40 | 0.59 | 0.59 | 0.53 | 0.66 | 0.10 | 0.07 |
total | 15.43 | 15.33 | 15.55 | 15.56 | 15.51 | 15.63 | 15.02 | 15.02 |
OXYGENS | 22.74 | 22.82 | 22.79 | 22.82 | 22.94 | 22.92 | 23.03 | 23.02 |
Mg/(Fe2+ + Mg) | 0.55 | 0.57 | 0.57 | 0.57 | 0.44 | 0.40 | 0.64 | 0.65 |
Рис. 4. Неоднородный кристалл амфибола гранат-цоизит-кварц-амфиболовых бластолитов. Основная часть кристалла амфибола-1 сложена более магнезиальным паргаситом, краевая зона, примыкающая к гранату железистым паргаситом. В центральной части зерна на контакте с плагиоклазом – реакционная зона, сложенная амфиболом-2 – магнезиальной роговой обманкой.
Рис. 5. Низкомагнезиальный амфибол-1 залечивает трещины в гранате-1. Вблизи трещин по гранату-1 формируется более железистый гранат-2. Хлорит в трещинах – вероятные псевдоморфозы по амфиболу-1.
Построение линий моновариантных равновесий показало, что в главной ассоциации амфибол-1, плагиоклаз-1 и внешняя зона граната-2 находятся в равновесии. На это указывает хорошая суперпозиция линий моновариантных равновесий в ограниченной локальной области (рис. 6). Линии равновесий с участием цоизита лежат немного в стороне от точки пересечения линий с участием амфибола-1, плагиоклаза-1 и граната-2 (рис. 6), что может указывать на незначительную неравновесность цоизита (возможно вызванную более поздним изменением его состава). Определение Р-Т-параметров формирования этой ассоциации по всей совокупности анализов плагиоклаза-1 и граната-2 и наиболее магнезиальному амфиболу-1 показало интервал Р = 13.0–15.0 кбар и Т = 580–670 °C. В то же время, если для расчетов принять наиболее железистую внешнюю кайму амфибола-1, то Р–Т–параметры смещаются в более высокотемпературную область Р = 13.0–17.0 кбар и Т = 660–780 °C. Нам представляется, что по краевым зонам амфибола-1 оценки температуры дают завышенное значение, так как устойчивость минералов группы эпидота и цоизита в высокотемпературной области вызывают сомнение.
Рис. 6. Линии моновариантных равновесий, отражающие условия формирования главной (амфиболовой) минеральной ассоциации биотитизированных гранат-цоизит-кварц-амфиболовых бластолитов:
30: 3Tr + 5Alm = 5Prp + 3fTr,
56: Alm + Ts = fTs + Prp,
71: 3Prg + 4Alm = 3fPrg + 4Prp,
87: 2Grs + Prp + 18Qtz + 3Prg = 3Tr + 6An + 3Ab,
95: 2 Grs + 5Prp + 18Qtz + 3fPrg = 3Tr + 6An + 4Alm + + 3Ab,
114: 5Alm + 2Grs + 18Qtz + 3Prg = 3fTr + 4Prp + 6An + + 3Ab,
120: Alm + 2Grs + 18Qtz + 3fPrg = 3fTr + 6An + 3Ab,
4: 2Zo + Qtz + Prp = 2An + Ts,
5: 2Zo + Qtz + Alm = 2An + fTs.
(3) Ассоциация, отвечающая наложенной биотитизации. Очень хорошо структурно выраженная ассоциация (рис. 7). В нее входят гранат-3, прилегающий к срастаниям плагиоклаза-2 и биотита. Гранат-3 – Prp = 18–19 мол. %, Alm = 51–52 мол. %, Grs = 24 мол. % (табл. 2, анализы 60, 61, 62, 63). Плагиоклаз-2 в этой ассоциации – более основной, чем плагиоклаз-1; его состав отвечает лабрадору An = 50–57 мол. %, (табл. 1, анализы 56, 57, 58, 59). Биотит формирует характерные “ельчатые” сростки пластинчатых кристаллов (рис. 7) и характеризуется умеренной магнезиальностью Mg/(Fe + Mg) = 53–55 %, (табл. 4, анализы 52, 53, 54, 55).
Таблица 4. Химический состав и коэффициенты в кристаллохимических формулах биотитов из бластолитов Гонжинского блока Аргунского массива
Компоненты | Номера анализов | |||
52 | 53 | 54 | 55 | |
SiO2 | 34.93 | 33.73 | 35.59 | 35.48 |
TiO2 | 1.42 | 1.14 | 1.39 | 1.50 |
Al2O3 | 17.60 | 17.55 | 17.94 | 17.86 |
FeO | 18.50 | 18.99 | 17.49 | 17.71 |
MnO | 0.05 | 0.05 | 0.08 | 0.06 |
MgO | 11.64 | 13.05 | 11.65 | 11.43 |
CaO | 0.06 | 0.10 | 0.03 | 0.06 |
Na2O | 0.27 | 0.13 | 0.11 | 0.08 |
K2O | 9.32 | 7.16 | 9.84 | 9.66 |
Cl | 0.06 | 0.04 | 0.02 | 0.03 |
F | 0.11 | 0.11 | 0.05 | 0.15 |
Сумма | 93.94 | 92.04 | 94.18 | 94.02 |
Si | 2.40 | 2.36 | 2.43 | 2.43 |
Ti | 0.07 | 0.06 | 0.07 | 0.08 |
Al | 1.42 | 1.45 | 1.44 | 1.44 |
Fe2+ + Fe3+ | 1.06 | 1.11 | 1.00 | 1.01 |
Mn | 0.00 | 0.00 | 0.00 | 0.00 |
Mg | 1.19 | 1.36 | 1.18 | 1.17 |
Ca | 0.00 | 0.01 | 0.00 | 0.00 |
Na | 0.04 | 0.02 | 0.01 | 0.01 |
К | 0.82 | 0.64 | 0.86 | 0.84 |
Mg/(Fe + Mg) | 0.53 | 0.55 | 0.54 | 0.54 |
Рис. 7. Тонкопластинчатые “ельчатые” кристаллы биотита в совместных срастаниях с плагиоклазом-2. Гранат-3 – внешняя часть крупных зональных зерен граната-1 и 2, участвующая в биотит-плагиоклазовых срастаниях.
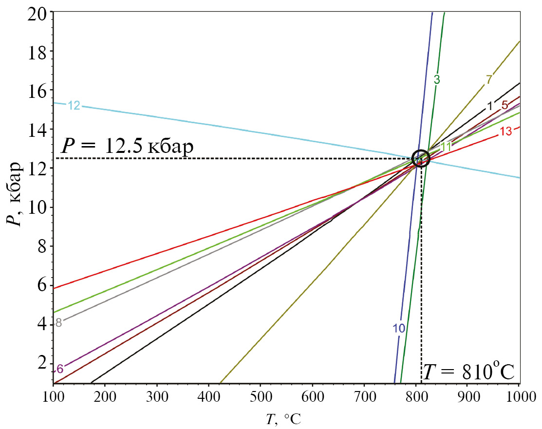
Линии мономинеральных равновесий гранат-биотитовой ассоциации, построенные по различным комбинациям составов граната, биотита и плагиоклаза показали хорошее схождение в локальной области, отвечающей интервалу Р = = 12.5–13.2 кбар и Т = 810–830 °C; наиболее типичная суперпозиция линий равновесий представлена на (рис. 8).
Рис. 8. Линии моновариантных равновесий, отражающие условия формирования ассоциации наложенной биотитизации биотитизированных гранат-цоизит-кварц-амфиболовых бластолитов:
1: 3Sid + 6Qtz + 2Grs + Alm = 3Ann + 6An,
3: 3Eas + 2Alm = 2Prp + 3Sid,
5: 6Qtz + 2Grs + 3Eas + Alm = Ann + 6An + 2Phl,
6: 12Qtz + 4Grs + 9Eas + 2Alm = 12An + 6Phl + 3Sid,
7: 6Qtz + 2Grs + 3Eas + 3Alm = 3Ann + 6An + 2Prp,
8: 4Grs + 2Prp + 12Qtz + 9Sid = 3Eas + 12An + 6Ann,
10: Phl + Alm = Ann + Prp,
11: 3Sid + 6Qtz + Prp + 2Grs = 2Ann + 6An + Phl,
12: 3Sid + 6Qtz + 3Prp + 2Grs = 2Alm + 6An + 3Phl,
13: 6Qtz + Prp + 2Grs + 3Eas = 6An + 3Phl.
(4) Ассоциация ретроградных изменений. В эту ассоциацию входит низкоглиноземистый амфибол-2, который по составу отвечает магнезиальной роговой обманке Mg/(Fe2+ + Mg) = 64–65 % (табл. 3, анализы 26, 27). Регулярно амфибол-2 развивается в виде реакционных кайм на контакте амфибола-1 и включений плагиоклаза в нем (рис. 4). В эту же ассоциацию, вероятно, входит хлорит, формирующий псевдоморфозы по биотиту и амфиболу.
Таким образом, плагиоклазсодержащий биотитизированный гранат-цоизит-кварц-амфиболовый бластолит прошел в своей геологической истории два крупных этапа метаморфичесих преобразований. Первый этап проходил в условиях эклогитовой фации метаморфизма. Начало этапа, вероятно, проходило в области устойчивости омфацита и граната, а завершение этапа – в области устойчивости паргасита, цоизита, граната и плагиоклаза. Второй этап связан с высокотемпературной и высокобарической биотитизацией пород (глубинной гранитизацией) в условиях высокобарической гранулитовой фации. На основе анализа только этой породы вполне вероятно, что Гонжинский блок на протяжении этих двух этапов находился в условиях, соответствующих нижней-средней коре. В породе не обнаружены низкобаричные и малоглубинные минеральные ассоциации, разделяющие эти этапы.
Изотопно-геохронологические исследования
Нами были выполнены Sm–Nd изотопно-геохимические исследования апоомфацитовых гранат-цоизит-кварц-амфиболовых бластолитов гонжинской серии Гонжинского блока. Измерения Sm–Nd изотопного состава выполнены согласно методике (Ревяко и др., 2012). Величина холостого загрязнения в лаборатории составила 0.02ng для Sm, и 0.04ng для Nd. Изотопный состав неодима и самария измерен на многоколлекторном масс-спектрометре Triton. в 10 блоках по 10 измерений в каждом блоке и нулевой линии перед блоками Точность измерения 0.1 % для 147Sm/144Nd и 0.005 % для 143Nd/144Nd. Измеренное отношение 143Nd/144Nd нормализовано к 148Nd/144Nd = 0.241572, что соответствует 146Nd/144Nd = 0.7219. Точность измерений контролировалось с помощью стандарта Jnd-1. (Tanaka, 2000). За период проведения исследований среднее значение изотопного состава неодима в стандарте составило 143Nd/144Nd = 0.512101 ± 5 (2σ N = 8).
Полученные Sm-Nd изотопные данные позволили построить минеральную изохрону по 4 значениям: для породы, граната-1 (хорошо сохранившегося) и двум амфиболам (табл. 5). Построение изохроны и расчет возраста выполнены по программе Isoplot/Ех (Ludwig, 1999) Он составляет 171 ± 3 млн лет (рис. 9). Последний интерпретируется как возраст формирования главной минеральной ассоциации и соответствует ее кристаллизации на пике метаморфизма. Таким образом, результаты Sm-Nd изотопных исследований рассматриваемых бластолитов гонжинской серии позволяют выделить в формировании Гонжинского блока метаморфическое событие, отвечающее средней юре (171 ± ± 3 млн лет).
Таблица 5. Sm-Nd изотопный состав минералов Гонжинского блока
Образец | 147Sm/144Nd | ± 2σ | 143Nd/144Nd | ± 2σ |
Amf-1 | 0.2487 | 0.002 | 0.512510 | 0.000007 |
Amf-2 | 0.2404 | 0.002 | 0.512498 | 0.000002 |
Gr-1 | 0.6271 | 0.002 | 0.512931 | 0.000007 |
WR | 0.2041 | 0.002 | 0.512456 | 0.000005 |
Рис. 9. Sm–Nd минеральная изохрона гранат-цоизит- кварц-амфиболовый бластолит.
ЗАКЛЮЧЕНИЕ
Ранее, был установлен раннеюрский возраст (около 190 млн лет) для популяции ультраметагенных цирконов в раннемезозойских парагнейсах Гонжинского блока (Сальникова и др., 2012). Обозначенные метаморфические события удалены друг от друга более чем на 10 млн лет, что в совокупности с результатами минералогических исследований свидетельствует о полиметаморфизме метаморфических пород Гонжинского блока. В первом приближении, мы можем связать выделенное проявление метаморфических процессов с коллизионными событиями, связанными с закрытием Монголо-Охотского океана, произошедшего на рубеже ранней-средней юры (Sorokin A. A. et al., 2020). Можно предположить, что совместное присутствие реликтовых ассоциаций двух этапов метаморфизма в современной структуре связано с развитием более поздних сдвиговых деформаций, формирующих структуру региона восточной части ЦАСП (рис. 1). В результате могли быть сформированы зоны меланжа, в которых совмещены данные метаморфические породы. Фактически они расположены в зоне сочленения Аргунского супертеррейна и Монголо-Охотского палеозойского-раннемезозойского складчатого пояса юго-восточного обрамления Северо-Азиатского кратона (рис. 1). Такая интерпретация согласуется с результатами 40Ar/39Ar геохронологических исследований слабометаморфизованных осадочных пород Монголо-Охотского пояса. В частности, установлено, что в восточной части пояса произошло четыре термальных события в интервалах 172–166, 157–149, 141–135 и 133–128 млн лет (Sorokin et al., 2023). Ни одно из этих событий не сопровождалось магматической активностью, в связи с чем, они могут быть связаны только с тектоническими дислокациями. Событие 172–166 млн лет соответствует региональному метаморфизму, обусловленному коллизией Сибирского кратона и Амурского супертеррейна. Остальные три более молодых события произошли в постколлизионной обстановке.
Коллектив авторов выражает свою благодарность научному редактору и рецензентам за сделанные замечания и правки, которые позволили улучшить статью.
Петрологические и изотопно-геохимические исследования выполнены в рамках программ госзаданий ГЕОХИ РАН и ИГЕМ РАН (Москва).
About the authors
M. M. Fugzan
V.I. Vernadsky Institute of Geochemistry and Analytical Chemistry of the RAS
Author for correspondence.
Email: fugzan@geokhi.ru
Russian Federation, Kosygina st., 19, Moscow, 119991
T. I. Kirnozova
V.I. Vernadsky Institute of Geochemistry and Analytical Chemistry of the RAS
Email: fugzan@geokhi.ru
Russian Federation, Kosygina st., 19, Moscow, 119991
V. M. Kozlovskiy
Institute of Geology of Ore Deposits, Petrography, Mineralogy and Geochemistry, RAS
Email: fugzan@geokhi.ru
Russian Federation, Staromonetny lane, 35, building 7, Moscow, 109052
R. O. Ovchinnikov
Institute of Geology and Environmental Management, FEB RAS
Email: fugzan@geokhi.ru
Russian Federation, Relochny lane, 1, Blagoveshchensk, 675000
I. K. Kozakov
Institute of Geology and Geochronology of the Precambrian RAS
Email: ivan-kozakov@yandex.ru
Russian Federation, nab.Makarova, 2, St. Petersburg, 199034
References
- Бушмин С. А., Глебовицкий В. А. (2008) Схема минеральных фаций метаморфических пород Записки Российского Минералогического Общества. 139(2) 1–13.
- Ханчук А. И. (2006) Геодинамика, магматизм и металлогения востока России Владивосток: Дальнаука, 572 с.
- Котов А. Б., Мазукабзов А. М., Сковитина Т. М., Великославянский С. Д., Сорокин А. А., Сорокин А. П. (2013) Структурная эволюция и геодинамическая позиция Гонжинского блока (Верхнее Приамурье). Геотектоника. (5), 48-60.
- Овчинников Р. О., Сорокин А. А., Котов А. Б., Сальникова Е. Б., Ковач В. П., Сорокин А. П. (2019) Экзотический Инимский блок Аргунского континентального массива Центрально-Азиатского складчатого пояса: результаты U-Th-Pb геохронологических (LA-ICP-MS) и Sm-Nd изотопно-геохимических исследований. ДАН. 484(6), 734–738.
- Овчинников Р. О., Козловский В. М., Козаков И. К., Кирнозова Т. И., Фугзан М. М. (2022) Петрографические особенности, оценка возраста метаморфизма высокобарных бластолитов Гонжинского блока Аргунского супертеррейна восточной части Центрально-Азиатского складчатого пояса. Материалы VIII Российской конференции по изотопной геохронологии. Санкт-Петербург. 105–108.
- Парфенов Л. М., Берзин Н. А., Ханчук А. И., Бадарч Г., Беличенко В. Г., Булгатов А. Н., Дриль С. И., Кириллова Г. Л., Кузьмин М. И., Ноклеберг У., Прокопьев А. В., Тимофеев В. Ф., Томуртогоо О., Янь Х. (2003) Модель формирования орогенных поясов Центральной и Северо-Восточной Азии Тихоокеанская геология. 22(6), 7–41.
- Петрук Н. Н., Козлов С. А. (2009) Государственная геологическая карта Российской Федерации масштаба 1: 1 000000. Лист N-51 (Сковородино) (Под ред. Вольского А. С.). СПб. ВСЕГЕИ.
- Ревяко Н. М., Костицын Ю. А., Бычкова Я. В. (2012) Взаимодействие расплава основного состава с вмещающими породами при формировании расслоенного интрузива Кивакка, Северная Карелия. Петрология. 20(2), 115–135.
- Сальникова Е. Б., Котов А. Б., Ковач В. П., Великославинский С. Д., Джан Б.-М., Сорокин А. А., член-корреспондент РАН, Сорокин А. П., Ван К-Л., Чан С.-Л., Ли Х.-Я., Толмачева Е. В. (2012) О возрасте гонжинской серии (Аргунский террейн Центрально-Азиатского складчатого пояса): результаты U-Pb и Lu-Hf- изотопных исследований детритовых цирконов. ДАН. 444(5), 519–522.
- Смирнова Ю. Н., Сорокин А. А. (2019) Возраст и обстановки формирования чаловской серии Аргунского массива восточной части Центрально-Азиатского орогенного пояса. Стратиграфия. Геологическая корреляция. 27(3), 3–23.
- Шуркин К. А. (1957) Методическое руководство по геологическому картированию метаморфических комплексов / Лаборатория геологии докембрия Акад. наук СССР М.: Госгеолтехиздат 451.
- Aranovich L. Ya., Berman R. G. (1996) Optimized standart state and solution properties of minerals: II. Calculation of phase diagrams and geothermobarometry applications Contrib. Mineral. Petrol. 126, 5–7.
- Berman R. G. (1991) Thermobarometry using multiequilibrium calculations: a new technique with petrologic applications. Can. Mineral. 29, 833–855.
- Berman R. G., Aranovich L. Ya. (1996) Optimized standard state and solution properties of minerals I. Model calibration for olivine, orthopyroxene, cordierite, garnet, and ilmenite in the system FeO-MgO-CaO-Al2O3-TiO2-SiO2. Contrib. Mineral.Petrol. 126, 1–4.
- Ludwig K. R. (1999) ISOPLOT/eX – A geochronological toolkit for Microsoft Excel, Version 2.05. Berkeley Geochronology Center Special Publication, No 1a.
- Mader U. K., Berman R. G. (1992) Amphibole Thermobarometry: a Thermodynamic Approach Geological Survey of Canada. Geological Survey of Canada. Paper no. 92–1E, 393–400.
- Sorokin A. A., Zaika V. A., Kovach V. P., Kotov A. B., Xu W., Yang H. (2020) Timing of closure of the eastern Mongol-Okhotsk Ocean: Constraints from U-Pb and Hf isotopic data of detrital zircons from metasediments along the Dzhagdy Transect. Gondwana Research. 81(2) 58–78.
- Sorokin A. A., Zaika V. A., Kadashnikova A. Yu., Ponomar-chuk A. V., Travin A. V., Ponomarchuk V. A., Buchko I. V. (2023) Mesozoic thermal events and related gold mineralization in the еastern Mongol-Okhotsk Orogenic Belt: constraints from regional geology and 40Ar/39Ar dating. Int. Geol. Rev. 65(9), 1476–1499.
- Tanaka T., Togashi S., Kamioka H. et al. (2000) JNdi-1: a neodymium isotopic reference in consistency with LaJolla neodymium. Chem. Geol. 168(3–4), 279–281.
Supplementary files











