К вопросу образования диастеранов в нефти и органическом веществе пород
- Авторы: Юсупова А.А.1, Гируц М.В.1, Васильева А.В.1, Вылекжанина Д.С.1, Гордадзе Г.Н.1
-
Учреждения:
- РГУ нефти и газа (НИУ) им. И.М. Губкина, Факультет химической технологии и экологии
- Выпуск: Том 68, № 7 (2023)
- Страницы: 687-694
- Раздел: Статьи
- URL: https://bakhtiniada.ru/0016-7525/article/view/134821
- DOI: https://doi.org/10.31857/S0016752523070051
- EDN: https://elibrary.ru/TKNILM
- ID: 134821
Цитировать
Полный текст
Аннотация
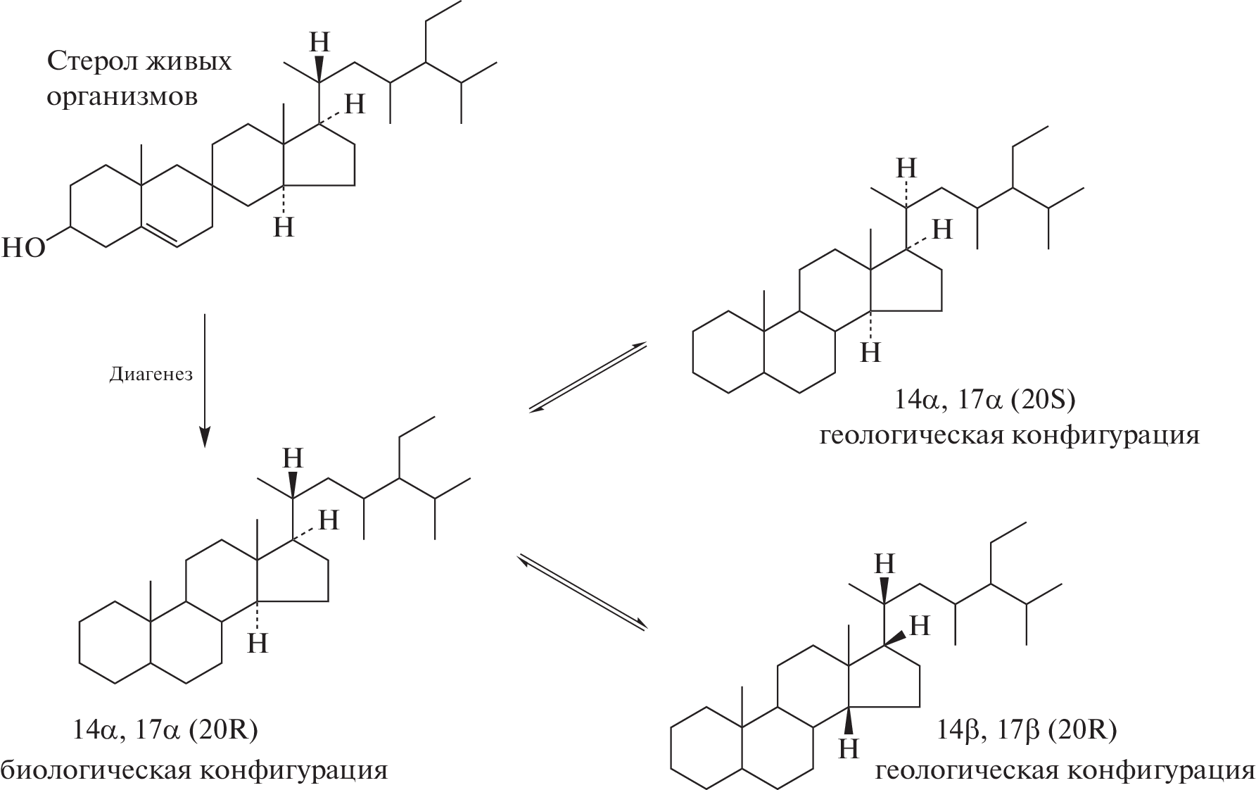
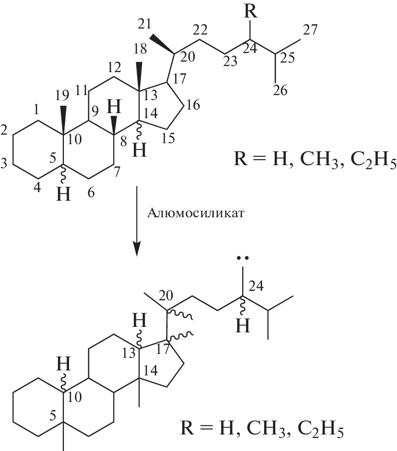
На основании изучения закономерностей распределения углеводородов-биомаркеров (н-алканов, изопренанов, стеранов и терпанов) в нефтях, органическом веществе пород, прокариотах и продуктах термолиза нерастворимой части биомассы прокариотов сделан вывод о том, что относительно высокая концентрация диастеранов (перегруппированных стеранов) в органическом веществе пород и нефтях, генерированных глинистыми толщами, связана с особенностями исходного органического вещества, а не с процессом изомеризации регулярных стеранов, как считалось ранее.
Об авторах
А. А. Юсупова
РГУ нефти и газа (НИУ) им. И.М. Губкина, Факультет химической технологии и экологии
Email: gordadze@rambler.ru
Россия, 119991, Москва, проспект Ленинский, д. 65, корпус 1
М. В. Гируц
РГУ нефти и газа (НИУ) им. И.М. Губкина, Факультет химической технологии и экологии
Email: gordadze@rambler.ru
Россия, 119991, Москва, проспект Ленинский, д. 65, корпус 1
А. В. Васильева
РГУ нефти и газа (НИУ) им. И.М. Губкина, Факультет химической технологии и экологии
Email: gordadze@rambler.ru
Россия, 119991, Москва, проспект Ленинский, д. 65, корпус 1
Д. С. Вылекжанина
РГУ нефти и газа (НИУ) им. И.М. Губкина, Факультет химической технологии и экологии
Email: gordadze@rambler.ru
Россия, 119991, Москва, проспект Ленинский, д. 65, корпус 1
Г. Н. Гордадзе
РГУ нефти и газа (НИУ) им. И.М. Губкина, Факультет химической технологии и экологии
Автор, ответственный за переписку.
Email: gordadze@rambler.ru
Россия, 119991, Москва, проспект Ленинский, д. 65, корпус 1
Список литературы
- Гордадзе Г.Н., Грунис Е.Б., Зонн М.С. (2001). Роль исследования углеводородов на молекулярном уровне в нефтяной геохимии. Геология, геофизика и разработка нефтяных месторождений. (11), 19-23.
- Гордадзе Г.Н. (2015) Углеводороды в нефтяной геоxимии. Теория и практика. М.: РГУНиГ им. И.М. Губкина, 559 с.
- Гордадзе Г.Н., Пошибаева А.Р., Гируц М.В., Перевалова А.А., Кошелев В.Н. (2018) Образование углеводородов нефти из биомассы прокариот. Сообщение 1. Образование нефтяных углеводородов–биомаркеров из биомассы архей Thermoplasma sp. Нефтехимия. 58(2), 135-139.
- Гордадзе Г.Н., Пошибаева А.Р., Гируц М.В., Гаянова А.А., Семенова Е.М., Кошелев В.Н. (2018а) Образование углеводородов нефти из биомассы прокариот. Сообщение 2. Образование нефтяных углеводородов–биомаркеров из биомассы бактерий Geobacillus jurassicus, выделенных из нефти. Нефтехимия. 58(6), 657-664.
- Петров Ал.А. (1971) Химия нафтенов. М.: Наука, 388 с.
- Петров Ал.А. (1984) Углеводороды нефти. М.: Наука, 260 с.
- Юсупова А.А., Гируц М.В., Семенова Е.М., Гордадзе Г.Н. (2020) Образование углеводородов нефти из биомассы прокариот. Сообщение 3. Образование нефтяных углеводородов–биомаркеров из биомассы бактерий Shewanella putrefaciens и асфальтенов, выделенных из нефти. Нефтехимия. 60(6), 755-764.
- Юсупова А.А., Гируц М.В., Гордадзе Г.Н. (2021) Прокариоты как источник нефтяных углеводородов–биомаркеров. ДРН. Науки о земле. 497(1), 30-36.
- Юсупова А.А., Гируц М.В., Вылекжанина Д.С., Семенова Е.М., Гордадзе Г.Н. (2022) Образование углеводородов нефти из биомассы прокариот. Сообщение 4. Образование нефтяных углеводородов–биомаркеров из биомассы бактерий Halomonas titanicae, выделенных из нефти Ромашкинского месторождения. Нефтехимия. 62(2), 405-410.
- Connan J., Bouroullec J., Dessort D., Albrecht P. (1986) The microbial input in carbonate–anhydrite facies of a sabkha palaeoenvironment from Guatemala: A molecular approach. Org. Geochem. 10, 29-50.
- MacKenzie A.S., Disko U., Rullkotter J. (1983) Determination of hydrocarbon distributions in oils and sediment extracts by gas chromatography–high resolution mass spectrometry. Organic Geochemistry. 5(2), 57-63.
- Peters K.E., Walters C.C., Moldowan J.M. (2005) The Biomarker Guide, 2nd Edition. Vol. I. Biomarkers and Isotopes in the Environment and Human History. Cambridge University Press, 471 p. Vol. II. Biomarkers and Isotopes in Petroleum Exploration and Earth History/Cambridge University Press, 679 p.
- Peters, K.E. and Moldowan, J.M. (2017) Biomarker: Assessment of Thermal Maturity. In: White, W.M., Ed., Encyclopedia of Geochemistry: A Comprehensive Reference Source on the Chemistry of the Earth. Springer International Publishing AG.
- Rubinstein I., Sieskind O., Albreeht P. (1975) Rearranged sterenes in a shale: occurrence and simulated formation. J. Chem. Soc., Perkin Transaction I, 1833-1836.
- Seifert W.K., Moldowan J.M. (1981) Paleoreconstruction by biological markers. Geochim. Cosmochim. Acta. 45, 783-794.
- Van Kaam-Peters H.M.E., Köstter J., Van der Gaast S.J., Dekker M., De Leeuw J.W., Sinninghe Damste J.S. (1998) The effect of clay minerals on diasterane/sterane ratios. Geochim. Cosmochim. Acta. 62, 2923-2929.
- Waples D.W., Machihara T. (1990) Application of sterane and triterpane biomarkers in petroleum exploration. Bull. Can. Petrol. Geol. 38, 357.
- Waples D.W., Machihara T. (1991) Biomarkers for geologist – A practical guide to the application of steranes and triterpanes in petroleum geology. In AAPG Methods in Exploration Series 9. Tulsa, Oklahoma: American Association of Petroleum Geologists, 91 p.
Дополнительные файлы







