Создание тонких пленок YFeO3, допированного Sr2+, обладающих газочувствительными свойствами
- 作者: Кострюков В.Ф.1, Паршина А.С.1, Миттова И.Я.1
-
隶属关系:
- Воронежский государственный университет
- 期: 卷 60, 编号 8 (2024)
- 页面: 1000-1009
- 栏目: Articles
- URL: https://bakhtiniada.ru/0002-337X/article/view/290801
- DOI: https://doi.org/10.31857/S0002337X24080097
- EDN: https://elibrary.ru/LMZUEB
- ID: 290801
如何引用文章
全文:
详细
Золь–гель-методом синтезирован нанокристаллический YFeO3 при наличии и отсутствии допирования ионами Sr2+. Структура материала и элементный состав определены с помощью рентгенофазового анализа и локального рентгеноспектрального анализа. Методом spin-coating на поверхности кремниевой подложки были сформированы тонкие пленки синтезированных нанопорошков. Исследование поверхностного удельного сопротивления на воздухе и в присутствии детектируемых газов продемонстрировало наличие у полученных материалов сенсорного отклика на NH3 и CO. Концентрация исследуемых газов составила 50 ppm, величина сенсорного сигнала – более 50%.
全文:
ВВЕДЕНИЕ
Необходимость измерения концентрации газов, обеспечение контроля обратной связи, мониторинг выбросов в процессах горения стали стимулом для разработки датчиков газов с использованием различных подходов [1]. Чистые ионные проводники используются в потенциометрических, смешанных или амперометрических датчиках [2, 3], а смешанные (ионно-электронные) – в полупроводниковых датчиках [4, 5].
Помимо классических полупроводниковых сенсоров на основе оксидов (преимущественно олова и индия) [6, 7], существенное внимание уделяется сложным оксидам со структурой перовскита и общей формулой ABO3.
По сравнению с простыми оксидами соединения со структурой перовскита имеют ряд преимуществ, основное из которых заключается в возможности изменения состава, структуры, электрофизических свойств и реакционной способности материалов путем частичного замещения катионов в обеих позициях. Это позволяет регулировать зонную структуру, природу и концентрацию адсорбционных центров, концентрацию носителей заряда, а также каталитические свойства. Так, в работах [8, 9] рассмотрены материалы со структурой перовскита, выступающие полупроводниками с проводимостью как n, так и p-типа. Титанаты металлов группы IIА наиболее часто используются в кислородных датчиках и для повышения сенсорного сигнала легируются донорами [10–12]. Помимо титанатов, газочувствительные свойства проявляют также кобальтиты [13, 14] и манганиты [15]. Однако наиболее исследованными являются ферриты, особенно LaFeO3, который применяется для детектирования СО, при этом в качестве легирующих компонентов выступают двухзарядные ионы стронция, свинца и др. [16–19] Одним из близких аналогов LaFeO3 является феррит иттрия, от которого также можно ожидать проявления газочувствительных свойств. Данные об их исследовании в литературе отсутствуют.
Целью данной работы являлось получение нанопорошков системы Y–Fe–O со структурой перовскита, допированных катионами Sr2+, и исследование их газочувствительных свойств.
ЭКСПЕРИМЕНТАЛЬНАЯ ЧАСТЬ
Для синтеза нанопорошков системы Y–Fe–O был выбран золь–гель-метод, который хорошо зарекомендовал себя в ходе предыдущих работ [20–22].
В качестве исходных веществ использовали следующие соли: 6-водный нитрат иттрия(III) Y(NO3)3·6H2O, 9-водный нитрат железа(III) Fe(NO3)3·9H2O, 4-водный нитрат стронция(II) Sr(NO3)2·4H2O. Осадителем выступал NaOH. Все используемые реактивы имели квалификацию “х.ч.”.
К 350 мл кипящей воды при перемешивании через делительную воронку по каплям добавляли 50 мл исходных солей – нитратов иттрия, железа (или кобальта) и стронция. Соли Y(NO3)3·6H2O и Fe(NO3)3·9H2O брали в соотношении 1 : 1. Массу нитрата стронция рассчитывали в стехиометрическом соотношении к нитрату иттрия. Концентрации растворов составляли 0.008 моль/л. После введения солей кипячение продолжали еще 4–5 мин, при этом раствор приобретал коричнево-красный цвет. Полученный золь охлаждали до комнатной температуры. Затем по каплям добавляли осадитель – гидроксид натрия (NaOH) с концентрацией 1 моль/л.
Синтез проходил в соответствии со следующими реакциями:
для системы Y–Fe–O
Y(NO3)3·+ Fe(NO3)3 + 6NaOH = YFeO3 ↓ +
+ 6NaNO3 + 18H2O,
для системы Y–Sr–Fe–O
(1–x)Y(NO3)3 ·+ Fe(NO3)3 + xSr(NO3)2·+
+ 6NaOH = Y1–xSrxFeO3 ↓ + 6NaNO3.
Образовавшийся осадок фильтровали на вакуум-фильтре и высушивали при комнатной температуре, затем отжигали в муфельной печи. Условия отжига: температура 750°С, время 60 мин.
Структуру, элементный состав образцов, а также параметры кристаллической решетки определяли с помощью рентгенофазового анализа (Thermo ARL X`TRA) и локального рентгеноспектрального микроанализа (ЛРСМА) в режиме “окна” (JEOL-6510LV с системой энергодисперсионного микроанализа Bruker). Также в работе использовалась просвечивающая электронная микроскопия (ПЭМ) (ZEISS Libra 120) для установления реального размера частиц. Ширину запрещенной зоны определяли, измеряя диффузное отражение (спектрометр PerkinElmer Lambda 650).
Для исследования газочувствительных свойств синтезированные порошки были диспергированы в этиловом спирте с добавлением в качестве ПАВ бромида цетилтриметиламмония до образования пасты, а затем методом spin-coating (SpinNXG-P1H) нанесены на токопроводящий элемент (кремниевую пластину) и отожжены в течение 1 ч при температуре 100°С. Режим нанесения обеспечивал фиксированную толщину получаемой пленки 150 ± 5 нм. Далее у полученных пленок четырехзондовым методом (ЦИУС-4) определяли удельное поверхностное сопротивление на воздухе и в присутствии детектируемых газов (СО и NH3 концентрации 50 ppm). Требуемая концентрация угарного газа достигалась путем разбавления аттестованной газовой смеси сухим синтетическим воздухом. Измерения проводились в стационарной системе (замкнутая камера объемом 50 л). Перед каждым новым экспериментом система продувалась синтетическим воздухом. Расчет сенсорного сигнала проводили по формуле [23]
(1)
где Sг – сенсорный сигнал, Rв – удельное поверхностное сопротивление пленок на воздухе, Rг – удельное поверхностное сопротивление пленок в присутствии детектируемого газа.
РЕЗУЛЬТАТЫ И ОБСУЖДЕНИЕ
На рис. 1 представлены результаты рентгенофазового анализа синтезированных образцов феррита иттрия номинального состава Y1–xSr xFeO3 (х = 0, 0.05, 0.1). Все пики соответствуют эталонной дифрактограмме YFeO3 с орторомбической структурой (номер карты 01-086-0170), кроме одного пика, принадлежащего фазе Y2O3 с кубической структурой (номер карты 01-086-1326) [24]. Процентный расчет по методу корундовых чисел показал, что образцы содержат 96% феррита иттрия и 4% оксида иттрия(III).
Рис. 1. Рентгеновские дифрактограммы порошков номинального состава Y1–xSrxFeO3 (1 – YFeO3, 2 – Y0.95Sr0.05FeO3, 3 – Y0.9Sr0.1FeO3, 4 – Y0.85Sr0.15FeO3), полученных методом совместного осаждения, после отжига при температуре 750°С в течение 60 мин.
На приведенных дифрактограммах (рис. 1) имеет место небольшое смещение пиков, что свидетельствует о встраивании стронция в позиции иттрия в кристаллической решетке.
При помощи пакета программ UnitCell-Win на основании индексов Миллера, полученных из расшифровки дифрактограмм, был проведен расчет параметров кристаллической решетки (точность – 4-й знак после запятой). Полученные результаты представлены в табл. 1.
Таблица 1. Параметры элементарных ячеек нанокристаллов Y1–xSrxFeO3 после отжига при 750°С в течение 60 мин
x | Эталон 01-086-0170 | 0 | 0.05 | 0.10 | 0.15 |
a, Å | 5.5940 | 5.591(6) | 5.594(0) | 5.590(8) | 5.582(8) |
b, Å | 7.6010 | 7.604(0) | 7.609(2) | 7.614(8) | 7.620(0) |
с, Å | 5.2810 | 5.281(7) | 5.286(2) | 5.295(3) | 5.291(1) |
V, Å3 | 224.55 | 224.566(9) | 225.010(7) | 225.435(6) | 225.089(5) |
Из результатов следует, что при допировании феррита иттрия ионами стронция объем элементарной ячейки растет, что логично исходя из сравнения ионных радиусов стронция (0.127 нм) и иттрия (0.106 нм) и также подтверждает встраивание стронция в кристаллическую решетку феррита иттрия.
Для дополнительного подтверждения включения стронция в кристаллическую решетку YFeO3 был проведен ЛРСМА полученных образцов (табл. 2).
Таблица 2. Результаты ЛРСМА образцов Y1–xSrxFeO3 (х = 0, 0.05, 0.1, 0.15), синтезированных золь–гель-методом, после отжига при 750°С в течение 60 мин
Номинальный состав образцов | Элементный состав, ат.% | |||
Y | Sr | Fe | [Sr]/([Sr]+[Y]) | |
YFeO3 | 19 ± 2 | 0.00 | 19 ± 2 | |
Y0.95Sr0.05FeO3 | 19 ± 2 | 0.6 ± 0.1 | 19 ± 2 | 0.03 |
Y0.9Sr0.1FeO3 | 18 ± 2 | 1.8 ± 0.2 | 19 ± 2 | 0.09 |
Y0.85Sr0.15FeO3 | 17 ± 2 | 2.4 ± 0.3 | 19 ± 2 | 0.12 |
Наблюдается увеличение реального содержания ионов Sr2+ в кристалле при увеличении номинальной степени допирования. При этом экспериментальное содержание стронция несколько меньше теоретического, однако образования отдельной фазы, содержащей ионы стронция, как показывают данные РФА, не происходит.
Для установления размера частиц синтезированных порошков была использована ПЭМ (рис. 2).
Рис. 2. ПЭМ-изображения наночастиц: а – YFeO3, б – Y0.95Sr0.05FeO3, в – Y0.9Sr0.1FeO3, г – Y0.85Sr0.15FeO3.
Как следует из полученных данных, явная зависимость размера частиц от степени допирования отсутствует. Размер частиц для всех образцов схож и колеблется в пределах от 25 до 35 нм.
Анализ картин микродифракции и темнопольного изображения (рис. 3) полученных образцов подтверждает результаты РФА и указывает на их высокую кристалличность. Наличие мелких четких рефлексов и гало на картине микродифракции свидетельствует о том, что объекты являются нанокристаллическими.
Рис. 3. ПЭМ-снимки образца состава Y0.9Sr0.1FeO3: а – микродифракция, б – светлопольное изображение, в – темнопольное изображение.
Необходимым условием проявления у синтезированных образцов газочувствительных свойств является их полупроводниковая природа. Для установления полупроводниковых свойств полученных нанокристаллов были рассчитаны значения оптической ширины запрещенной зоны на основе измерений диффузного отражения образцов с использованием уравнения Кубелки–Мунка. Зная спектр поглощения образца, можно, воспользовавшись моделью Тауца, определить ширину запрещенной зоны. Результаты проведенных расчетов представлены в табл. 3.
Таблица 3. Значения ширины запрещенной зоны нанокристаллов Y1–xSrxCoO3
Образец | Ширина запрещенной зоны, эВ |
YFeO3 | 1.96 |
Y0.95Sr0.05FeO3 | 2.60 |
Y0.90Sr0.10FeO3 | 2.65 |
Y0.85Sr0.15FeO3 | 2.63 |
Полученные значения ширины запрещенной зоны для всех образцов укладываются в интервал, характерный для полупроводниковых соединений. При этом необходимо отметить достаточно высокие значения ширины запрещенной зоны допированных образцов, что должно благоприятно сказаться на их газочувствительных свойствах. Наблюдается определенная корреляция значений ширины запрещенной зоны (максимум для образца с номинальным составом Y0.90Sr0.10FeO3) с приведенными выше значениями объема элементарной ячейки.
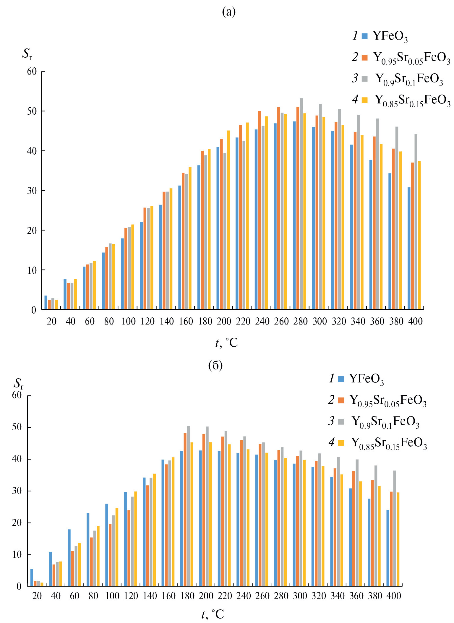
Для установления наличия у синтезированных образцов газочувствительных свойств исследовали температурную зависимость их удельного поверхностного сопротивления на воздухе и в присутствии детектируемых газов, в качестве которых выступали угарный газ и пары аммиака с концентрацией 50 ppm (рис. 4).
Рис. 4. Удельное поверхностное сопротивление полученных нанопорошков на воздухе (а), в присутствии NH3 (50 ppm) (б), СО (50 ppm) (в).
Снижение сопротивления с ростом температуры, сначала незначительное, а затем резкое, подтверждает вывод о полупроводниковых свойствах полученных материалов, сделанный на основании измерений ширины запрещенной зоны. А резкое снижение сопротивления при наличии в атмосфере детектируемых газов, обладающих электродонорными свойствами, свидетельствует о том, что они являются полупроводниками n-типа.
На основании полученных данных по удельному поверхностному сопротивлению по формуле (1) были рассчитаны значения сенсорного отклика, представленные на рис. 5. Видно, что для всех полученных образцов характерны сходные зависимости величины сенсорного сигнала от температуры. Наблюдается достаточно выраженный максимум, совпадающий для всех составов. Максимальная величина сенсорного сигнала чуть превышает 50% и для угарного газа, и для аммиака. При этом недопированные кристаллы YFeO3 характеризуются минимальным значением сенсорного сигнала, что особенно заметно для СО, а максимальное значение достигается при 10% Sr2+, что коррелирует с максимальными значениями объема элементарной ячейки и ширины запрещенной зоны. Допирование феррита иттрия ионами Sr2+ приводит к образованию вакансий кислорода (для компенсации избыточного отрицательного заряда), проявляющих донорные свойства, что и приводит к наблюдаемому (рис. 4) снижению удельного поверхностного сопротивления и усилению сенсорного сигнала вследствие протекания следующих взаимодействий:
с участием кислорода
O2 газ → O2 адс
O2 адс + e– → O–2 адс
O–2 адс + e– → 2O– адс
с участием детектируемого газа (СО)
CO газ → CO адс
CO адс + O– → CO2 адс + e–
CO2 адс → CO2 газ
Рис. 5. Сенсорный отклик нанопорошков Y1–xSrxFeO3 в присутствии NH3 (50 ppm) (а), СО (50 ppm) (б).
Высвобождающиеся электроны являются электронами проводимости, и повышение их концентрации приводит к наблюдаемому понижению удельного поверхностного сопротивления, что в свою очередь свидетельствует об электронном типе проводимости образцов. Таким образом, допирование ионами стронция оказывает благоприятное действие на газочувствительные свойства феррита иттрия.
При этом температуры, при которых сенсорный сигнал достигает максимального значения, для аммиака и угарного газа существенно различаются и составляют 280 и 180°С соответственно.
В табл. 4 представлены полученные в данной работе результаты и данные по сенсорным сигналам других соединений со структурой перовскита на исследуемые газы (СО и пары аммиака). По сенсорному сигналу на угарный газ синтезированные образцы близки к кобальтиту иттрия [23], но значение сенсорного сигнала достигнуто при двукратном снижении концентрации. Сенсорный сигнал на аммиак в 1.5 раза ниже, чем в [26], но при снижении концентрации – в 4 раза.
Таблица 4. Сенсорные свойства соединений со структурой перовскита на СО и NH3
Материал | Детектируемый газ | Концентрация газа, ppm | Сенсорный сигнал,% | Источник |
YCoO3 | CO | 500 | 5 | [23] |
YPd0.1Co0.9O3 | CO | 500 | 15 | [23] |
LaCoO3 | CO | 20 | 18 | [13] |
LaCoO3 | CO | 100 | 45 | [25] |
La0,8Са0,2FeO3 | CO | 200 | 87 | [16] |
Y0.8Sr0.2FeO3 | CO | 50 | 49 | Настоящая работа |
LaCoO3 | NH3 | 200 | 70 | [26] |
LaCoO3 | NH3 | 20 | 7 | [13] |
Y0.8Sr0.2FeO3 | NH3 | 50 | 51 | Настоящая работа |
ЗАКЛЮЧЕНИЕ
Установлено, что феррит иттрия обладает газочувствительными свойствами по отношению к угарному газу и парам аммиака. При легировании ионами стронция величина сенсорного сигнала повышается с 40 до 50%. Максимальное значение сенсорного сигнала на угарный газ достигается при 180°С, на пары аммиака – при 280°С.
КОНФЛИКТ ИНТЕРЕСОВ
Авторы заявляют, что у них нет конфликта интересов.
作者简介
В. Кострюков
Воронежский государственный университет
编辑信件的主要联系方式.
Email: vc@chem.vsu.ru
俄罗斯联邦, Университетская пл., 1, Воронеж, 394018
А. Паршина
Воронежский государственный университет
Email: vc@chem.vsu.ru
俄罗斯联邦, Университетская пл., 1, Воронеж, 394018
И. Миттова
Воронежский государственный университет
Email: vc@chem.vsu.ru
俄罗斯联邦, Университетская пл., 1, Воронеж, 394018
参考
- Kohl D. Function and Applications of Gas Sensors // J. Phys. D.: Appl. Phys. 2001. V. 34. № 19. P. 125–149. https://doi.org/10.1088/0022-3727/34/19/201
- Park C.O., Akbar S.A., Weppner W. Ceramic Electolytes and Electrochemical Sensors // J. Mater. Sci. 2003. V. 38. P. 4639–4660. https://doi.org/10.1023/A:1027454414224
- Wang C., Yin L., Zhang L., Xiang D., Gao R. Metal Oxide Gas Sensors: Sensitivity and Influencing Factors // Sensors. 2010. V. 10. P. 2088–2106. https://doi.org/10.3390/s100302088
- Neri G. First Fifty Years of Chemoresistive Gas Sensors // Chemosensors. 2015. V. 3. № 1. P. 1–20. https://doi.org/10.3390/chemosensors3010001
- Lee S.P. Electrical Behavior in Gas–Solid Interface of Gas Sensors Based on Oxide Semiconductors // Int. J. Appl. Ceram. Technol. 2006. V. 3. № 3. P. 225–229. https://doi.org/10.1111/j.1744-7402.2006.02074.x
- Марикуца А.И., Воробьева Н.А., Румянцева М.Н., Гаськов А.М. Активные центры на поверхности нанокристаллических полупроводниковых оксидов ZnO, SnO2 и газовая чувствительность // Изв. АН. Сер. хим. 2017. № 10. С. 1728–1764.
- Singh N. Yan C., Lee P.S. Room Temperature CO Gas Sensing Using Zn-doped In2O3 Single Nanowire Field Effect Transistors // Sens. Actuators, B. 2010. V. 150. № 1. P. 19–24. https://doi.org/10.1016/j.snb.2010.07.051
- Fergus J.W. Perovskite Oxides for Semiconductor-Based Gas Sensors // Sens. Actuators, B. 2007. V. 123. P. 1169–1179. https://doi.org/10.1016/j.snb.2006.10.051
- Huntera G.W., Xua J.C., Evansa L.J., Vander Walb R.L., Bergerb G.M., Kulis M.J., Liu C.C. Chemical Sensors Based оn Metal Oxide Nanostructures // ECS Trans. 2006. V. 9. P. 199–209. https://doi.org/10.1149/1.2357111
- Meyer R., Waser R. Resistive Donor-doped SrTiO3 Sensors: I. Basic Model for a Fast Sensor Response // Sens. Actuators, B. 2004. V. 101. P. 335–345. https://doi.org/10.1016/j.snb.2004.04.004
- Bak T., Nowotny J., Sorrell C.C., Zhou M.F., Vance E.R. Charge Transport in CaTiO3: I. Electrical Conductivity // J. Mater. Sci. Mater. Electron. 2004. V. 15. № 10. P. 635–644. https://doi.org/10.1023/B:JMSE.0000038917.73334.92
- Zhou M.F., Bak T., Nowotny J., Rekas M. Defect Chemistry and Semiconducting Properties of Calcium Titanate // J. Mater. Sci. Mater. Electron. 2002. V. 13. P. 697–704. https://doi.org/10.1023/A:1021552602704
- Чумакова В.Т., Марикуца А.В., Румянцева М.Н. Нанокристаллический кобальтит лантана как материал для газовых сенсоров // Журн. прикл. химии. 2021. Т. 94. № 12. С. 1390–1398. https://doi.org/10.1134/S1070427221120119
- Wenbo Q., Zhenyu Y., Hongliang G., Renze Z., Fanli M. Perovskite-Structured LaCoO3 Modified ZnO Gas Sensor and Investigation on Its Gas Sensing Mechanism by First Principle // Sens. Actuators, B. 2021. V. 341. Р. 1–15. https://doi.org/10.1016/j.snb.2021.130015
- Balamurugan C., Lee D.W. Perovskite Hexagonal YMnO3 Nanopowder as p-type Semiconductor Gas Sensor for H2S Detection // Sens. Actuators, B. 2015. № 221. Р. 857–866. http://dx.doi.org/10.1016/j.snb.2015.07.018
- Zhao M., Sun L.H., Hu J.F., Qin H.W. CO Sensing Properties of La1–xCaxFeO3 Perovskite Nanocrystalline Materials // Key Eng. Mater. 2011. V. 495. Р. 323–326. https://doi.org/10.4028/www.scientific.net/KEM.495.323
- Zhang L., Qin H., Song P., Hu J., Jiang M. Electric Properties and Acetone-Sensing Characteristics of La1–xPbxFeO3 Perovskite System // Mater. Chem. Phys. 2006. V. 98. № 2. Р. 358–362. https://doi.org/10.1016/j.matchemphys.2005.09.041
- Thuy N.T., Minh D.L., Giang H.T., Toan N.N. Structural, Electrical, and Ethanol-Sensing Properties of La1–хNdхFeO3 Nanoparticles // Adv. Mater. Sci. Eng. 2014. V. 8. P. 1–5. http://dx.doi.org/10.1155/2014/685715
- Lantto V., Saukko S., Toan N.N., Reyes L.F., Granqvis C.G. Gas Sensing with Perovskite-Like Oxides Having ABO3 and BO3 Structures // J. Electroceram. 2004. V. 13. P. 721–726. https://doi.org/10.1007/s10832-004-5182-z
- Nguyen A.T., Knurova M.V., Nguyen T.M., Mittova V.O., Mittova I.Ya. Synthesis and the Study of Magnetic Characteristics of Nano La1–xSrxFeO3 by Co-Precipitation Method // Nanosyst. Phys. Сhem. Math. 2014. V. 5. № 5. P. 692–702.
- Нгуен А.Т., Миттова В.О., Миттова И.Я., Так Д.В. Синтез нанопорошков La1–xSr(Ca)x FeO3 (x = 0; 0.1; 0.2; 0.3) золь-гель методом // Конденсированные среды и межфазные границы. 2010. Т. 12. № 1. С. 56–60.
- Mittova I.Ya., Sladkopevtsev B.V., Mittova V.O., Nguyen A.T., Kopeichenko E.I., Khoroshikh N.V., Varnachkina I.A. Formation of Nanoscale Films of the (Y2O3–Fe2O3) on the Monocrystal InP // Condens. Matter Interphases. 2019. V. 21. № 3. P. 406–418. https://doi.org/10.17308/kcmf.2019.21/1156
- Addabboa T., Bertoccia F., Forta A., Mugnainia M., Shahina L., Vignolia V., Spiniccia R., Rocchia S., Gregorkiewitz M. An Artificial Olfactory System (AOS) for Detection of Highly Toxic Gases in Air Based on YCoO3 // Procedia Eng. 2014. V. 87. P. 1095–1098. https://doi.org/10.1016/j.proeng.2014.11.355
- JCPDS PCPDFWIN: A Windows Retrieval/Display Program for Accessing the ICDD PDF-2 Database, International Centre for Diffraction Data. 1997.
- Ghasdi M., Alamdari H. CO Sensitive Nanocrystalline LaCoO3 Perovskite Sensor Prepared by High Energy Ball Milling // Sens. Actuators, B. 2010. V. 148. P. 478–485. https://doi.org/10.1016/j.snb.2010.05.056
- Chaudhary G., Pawar M. Sensing Behavior of Sr and Bi Doped LaCoO3 Sensors // Sens. Transducers. 2008. V. 88. № 2. P. 74–78. https://www.sensorsportal.com/HTML/DIGEST/february_08/P_241.pdf
补充文件







