Влияние термической обработки на термоэлектрические и механические свойства твердого раствора Bi2Te2.5Se0.5 n-типа проводимости, полученного методом экструзии
- Авторы: Юрьев В.А.1,2, Чуйко А.Г.1, Калинин Ю.Е.2, Гребенников А.А.2, Каширин М.А.2
-
Учреждения:
- АО “РИФ”
- Воронежский государственный технический университет
- Выпуск: Том 60, № 8 (2024)
- Страницы: 909-919
- Раздел: Статьи
- URL: https://bakhtiniada.ru/0002-337X/article/view/290788
- DOI: https://doi.org/10.31857/S0002337X24080018
- EDN: https://elibrary.ru/LOYLKO
- ID: 290788
Цитировать
Полный текст
Аннотация
В работе проведено сравнение механических и термоэлектрических параметров сплава Bi2Te2.5Se0.5, полученного зонной перекристаллизацией и экструзией. Исследовано влияние термической обработки на предел прочности и термоэлектрическую добротность твердого раствора n-типа проводимости, полученного методом экструзии. Измерены термоэлектрические параметры: коэффициент Зеебека, удельная электропроводность и теплопроводность при комнатной температуре и в интервале температур 300–430 К. Рассчитан коэффициент термоэлектрической добротности ZТ. Максимальное значение ZT = 1.0 ± 0.1 при 340 К зафиксировано для образцов, полученных зонной перекристаллизацией, в то время как максимальная величина ZT = 0.90 ± 0.1 установлена для образцов, полученных экструзией. Термическая обработка в вакуумном термостате при температуре 573 К в течение 24 ч образцов, полученных экструзией, привела к росту максимальных значений ZT до 0.96 ± 0.1 и предела прочности σb до 165 МПа.
Ключевые слова
Полный текст
ВВЕДЕНИЕ
Охлаждение особо нагруженных элементов в микроэлектронике играет ключевую роль при проектировании и производстве теплонагруженных электронных плат. Основным устройством для сброса тепла служат радиаторы, но в местах, где их применение технологически невозможно, используют термоэлектрические модули охлаждения (ТЭМО). Само преобразование электрической энергии в тепловую происходит на спаях ветвей из твердых растворов Bi–Sb–Te (р-типа проводимости) и Bi–Te–Se (n-типа проводимости) [1–3].
Для использования ТЭМО в микроэлектронике максимум добротности термоэлектрического материала должен быть вблизи интервала 300–380 К, а сам материал должен также обладать высокой механической прочностью [4, 5]. Использование технологии экструзии позволяет получить хорошо текстурированные термоэлектрические материалы с низким удельным электрическим сопротивлением и высокой механической порочностью, которая существенно превышает прочность образцов, полученных зонной плавкой [6–8]. Эффективность охлаждения зависит от термоэлектрической добротности материалов ветвей р- и п-типа проводимости, которая определяется как [9]
(1)
где α, σ, k, T – коэффициент Зеебека, удельные электропроводность, теплопроводность и температура соответственно. Для получения достаточно высоких значений ZT использовалась концепция полупроводниковых твердых растворов, выдвинутая А.Ф. Йоффе еще в 1950 году [10]. Материалы, полученные экструзией, имеют структурную разориентацию зерен, снижающую термоэлектрическую добротность ZТ. Эффективным методом ее повышения является последующая термическая обработка [11], которая дает положительный эффект на твердых растворах Bi0.5Sb1.5Te3 р-типа проводимости [12].
Особое значение имеет изучение влияния термической обработки на предел прочности экструдированного материала, представляющий фундаментальную характеристику, которая определяет потенциал практического использования материала [12–14]. Основные механические свойства (пластичность и прочность) металлов и полупроводников определяются взаимодействием точечных дефектов, прежде всего примесных атомов, с дислокациями и границами зерен [15, 16]. Так, в результате такого взаимодействия с дислокациями атомы примеси группируются вблизи дислокаций, образуя так называемые атмосферы Коттрелла, и определяют механические свойства материала [17, 18]. Пересыщение материала деформационными вакансиями может существенно влиять на характеристики оборванных дислокационных границ, формирующихся в процессе аккомодационной пластической деформации в окрестности стыковых дисклинаций [19]. Термическая обработка дислокационного материала с примесями обычно сопровождается рассеиванием атмосфер Коттрелла, снижением предела прочности и увеличением пластичности материала [20]. В то же время специальная термическая обработка ультрамелкозернистого (УМЗ) алюминия, структурированного методом интенсивной пластической деформации, позволила достигнуть одновременного увеличения предела прочности (до 30%) и предела текучести (до 50%) [20]. Авторы связывают полученные результаты с существованием особого механизма упрочнения в УМЗ-структуре, ключевую роль в котором, наиболее вероятно, играют неравновесные большеугловые границы зерен.
Отметим, что в металлических поликристаллических материалах доминирующим механизмом взаимодействия дислокации с точечными дефектами является упругое взаимодействие [21]. В исследуемом полупроводниковом сплаве Bi2Te2.5Se0.5 помимо упругого взаимодействия существует электрическое (кулоновское) [22]. Поскольку термическая обработка дислокационных металлов с примесями, как правило, сопровождается снижением предела прочности, исследование влияния термообработки на механические свойства полупроводника n-типа позволит определить доминирующий вклад взаимодействия дислокаций с точечными дефектами, что представляет задачу фундаментального научного характера.
Цель работы – сравнение термоэлектрических и механических свойств твердого раствора Bi2Te2.5Se0.5 n-типа проводимости, полученного методом экструзии и зонной перекристаллизацией, а также исследование влияния термической обработки на механическую прочность и термоэлектрическую добротность экструдированного твердого раствора.
ЭКСПЕРИМЕНТАЛЬНАЯ ЧАСТЬ
Исследован твердый раствор Bi2Te2.5Se0.5 n-типа проводимости, полученный методом экструзии и вертикальной зонной перекристаллизацией. В качестве исходных компонентов использовали висмут Ви-00, селен ОСЧ 15-2, теллур специальной чистоты марки Т-У. Синтез проводили сплавлением исходных компонентов в вакуумированных (~3.5×10–3 мм рт. ст.) и герметизированных кварцевых ампулах в муфельных качающихся печах при температуре 1023 К.
Полученные слитки измельчали в вихревой мельнице и просеивали через сита. Фракция порошка, используемого в данной работе, составляла 0.064 < x < 1 мм. Брикетирование проводили при давлении 200 МПа. Экструзия термоэлектрических сплавов проводилась при температуре 673–718 К, скорости движения плунжера пресса 0.05–0.07 мм/с и давлении не более 750 МПа.
Для зонной перекристаллизации полученные слитки дробили, засыпали в кварцевые ампулы с покрытием из пиролитического углерода и сплавляли. Процесс проводили при температуре 1053 К и скорости движения расплавленной зоны 0.007 мм/с.
Для изучения влияния условий получения и последующей термической обработки на термоэлектрические и механические свойства термоэлектрических сплавов было изготовлено несколько образцов по вышеприведенным методикам. Экструдированные слитки разрезали на станке электроэрозионной резки перпендикулярно оси экструзии на экспериментальные образцы для проведения механических испытаний, а термоэлектрические параметры измеряли вдоль оси экструзии. Термическую обработку проводили в вакуумном термостате при температуре 573 К в течение 24 ч.
Аттестацию синтезированных образцов проводили методом дифракции рентгеновских лучей на приборе Bruker D2 Phaser (CuKa-излучение) и растровом электронном микроскопе TESCAN MIRA 3. Качественный и количественный рентгенофазовый анализ проводили с применением программного обеспечения DIFFRAC.EVA 3.0 с базой данных ICDD PDF Release 2012 [23]. Коэффициент Зеебека определяли методом горячего зонда, электрическую проводимость – четырехзондовым методом на установке Netzsch SBA 458, теплопроводность – методом вспышки на Netzsch LFA467 [24].
Испытания на сжатие проводили на установке Instron 5982 в ЦКП имени профессора Ю.М. Борисова Воронежского государственного технического университета.
Напряжение при сжатии рассчитывали по формуле [25]
sсж = P/F, (2)
где Р – прикладываемая нагрузка, Н; F – средняя площадь поперечного сечения, мм2.
Относительную деформацию при сжатии определяли по формуле:
(3)
где h – текущая высота образца при деформации, мм; h0 – начальная высота образца до испытания, мм.
Для определения концентрации носителей заряда полученных образцов использовали методику измерения эффекта Холла на установке ECOPIA 5500 в постоянном магнитном поле с напряженностью 0.5 Тл [26]. Измерения проводили на образцах квадратной формы со стороной 8 мм с предварительно напаянными методом ультразвуковой пайки контактами из индия.
РЕЗУЛЬТАТЫ И ОБСУЖДЕНИЕ
Дифрактограмма образца, полученного экструзией, представлена на рис. 1, она подтверждает наличие фазы Bi2Te2.5Se0.5, что соответствует заданной стехиометрии.
Рис. 1. Дифрактограмма образца Bi2Te2.5Se0.5.
На рис. 2 представлены оптические микрофотографии шлифа (а, б) и сколов (в, г). На микрофотографиях твердого раствора Bi2Te2.5Se0.5 n-типа проводимости, полученного зонной перекристаллизацией, после травления (рис. 2а) явно просматривается слоистая структура. Плоскости спайности направлены вдоль оси выращивания и повернуты на некоторый угол относительно друг друга. В образцах, полученных экструзией (рис. 2б), также наблюдается слоистая структура, направленная вдоль оси вытяжки, в комбинации с мелкими кристаллитами. Размер слоистого зерна составил не более 5 мкм. Микрофотографии сколов образцов Bi2Te2.5Se0.5, полученных зонной перекристаллизацией (рис. 2в) и экструзией (рис. 2г), существенно различаются как по морфологии, так и по размеру зерна. Экструдированные образцы обладают более мелкозернистой структурой и высокой степенью упаковки.
Рис. 2. Микрофотографии шлифов (а, б) и сколов (в, г) образцов Bi2Te2.5Se0.5, полученных зонной перекристаллизацией (а, в) и экструзией (б, г).
Термическая обработка при температуре 573 К в течение 24 ч твердого раствора Bi2Te2.5Se0.5, полученного экструзией, приводит к небольшому росту зерен, но столь малое время отжига позволяет сохранить мелкие зерна в совокупности с крупными (рис. 3).
Рис. 3. Микрофотографии скола слитка Bi2Te2.5Se0.5, полученного экструзией, до (а) и после отжига (б).
На рис. 4 представлены изображения, сделанные на растровом электронном микроскопе (РЭМ), сколов образцов Bi2Te2.5Se0.5 n-типа проводимости, полученных зонной перекристаллизацией (а) и экструзией (б). На РЭМ-изображении твердого раствора, полученного зонной перекристаллизацией, хорошо просматривается крупноблочная структура с ярко выраженными кристаллитами, вытянутыми вдоль оси выращивания (рис. 4а), в то время как в образце, полученном экструзией, зерна более мелкие и ориентированы вдоль оси прессования (рис. 4б).
Рис. 4. РЭМ-изображения сколов образцов, полученных зонной перекристаллизацией (а) и экструзией (б).
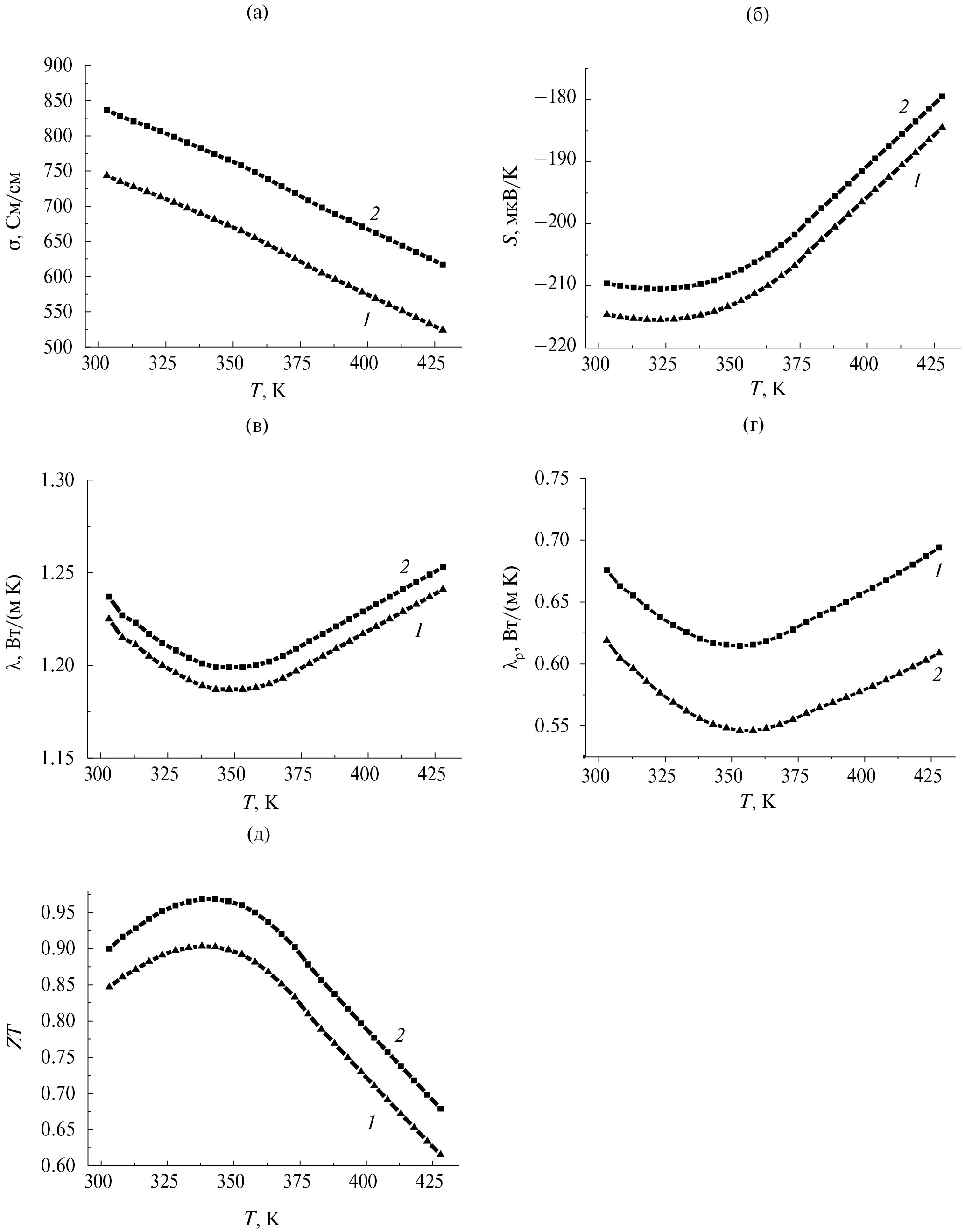
Измерения термоэлектрических параметров твердых растворов Bi2Te2.5Se0.5, полученных зонной перекристаллизацией и экструзией, проведены при комнатной температуре и в интервале 300–430 K (рис. 5).
Рис. 5. Температурные зависимости удельной электропроводности (а), коэффициента Зеебека (б), удельной теплопроводности (в) и термоэлектрической добротности (г) образцов Bi2Te2.5Se0.5, полученных зонной перекристаллизацией (1) и экструзией (2).
Температурные зависимости электрической проводимости (рис. 5а) имеют вид монотонно снижающейся с ростом температуры кривой, характерной для вырожденных полупроводников. Отметим, что для образца, полученного экструзией (кривая 2), электрическая проводимость ниже по сравнению с образцом, полученным зонной перекристаллизацией (кривая 1). Однако коэффициент Зеебека (рис. 5б) у образца, полученного зонной перекристаллизацией (кривая 1), выше, чем у образца, полученного экструзией (кривая 2). Температурные зависимости теплопроводности, а также безразмерной термоэлектрической добротности образцов Bi2Te2.5Se0.5 представлены на рис. 5в и 5г соответственно. Теплопроводность во всем исследованном диапазоне для образца, полученного зонной перекристаллизацией (кривая 1), выше, чем для образца, полученного экструзией (кривая 2), что свидетельствует о более мелкозернистой структуре экструдированных образцов. Это способствует понижению теплопроводности вследствие более интенсивного рассеяния фононов на границах зерен. Отметим, что полученные результаты согласуются с данными [27, 28] для термоэлектрических твердых растворов Bi–Te–Se, n-типа проводимости.
Несмотря на низкие показатели электрической проводимости и коэффициента Зеебека, экструдированные образцы (кривые 2 на рис. 5а, 5б) не сильно уступают по характеристикам добротности ZT зонно-выращенным (кривая 1 на рис. 5г) вследствие низкой теплопроводности.
Как отмечалось выше, эффективным методом повышения термоэлектрической добротности является термическая обработка [11, 12], которая может негативно сказаться на механической прочности. Учитывая вышесказанное, в работе исследовали влияние термической обработки на механическую прочность и термоэлектрическую добротность твердых растворов Bi2Te2.5Se0.5.
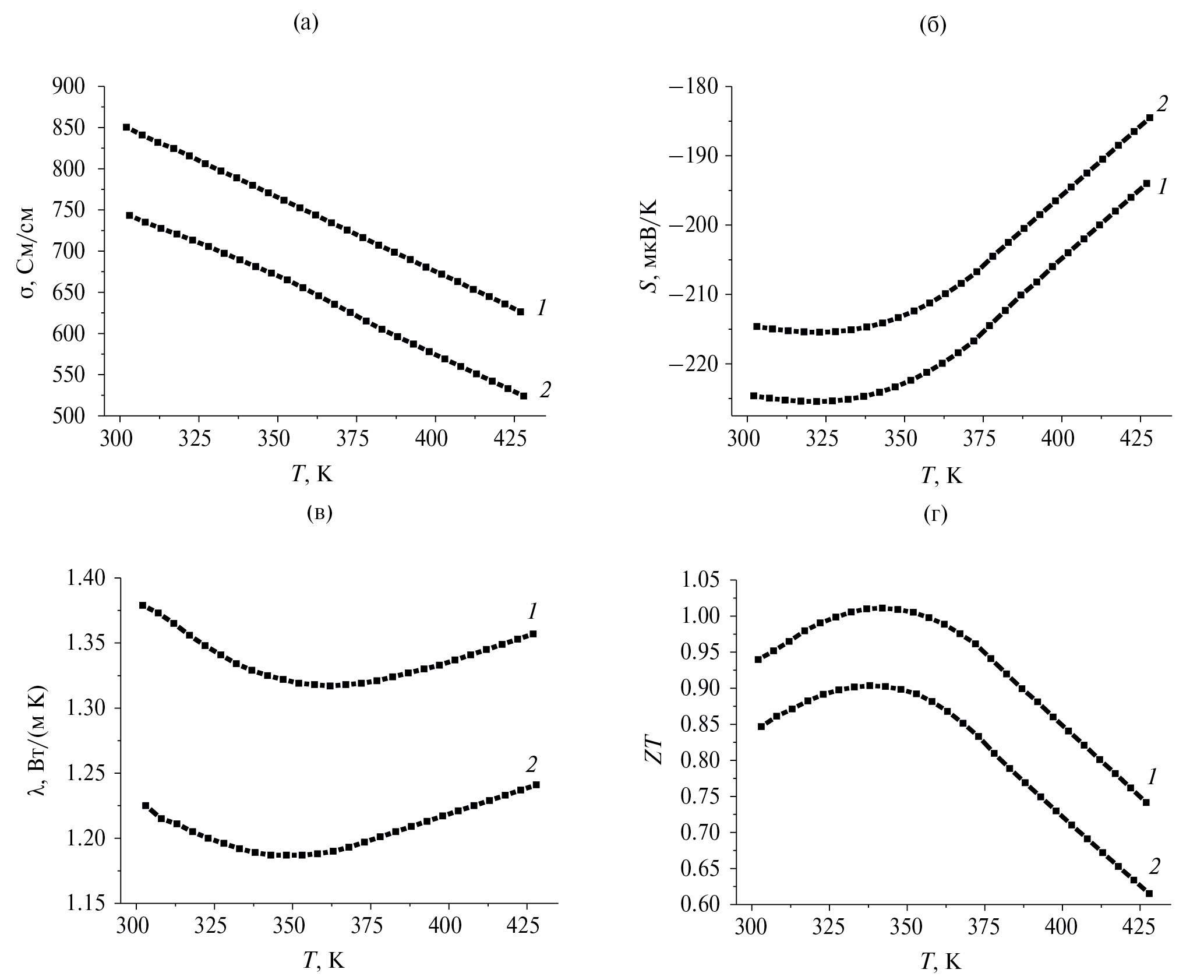
На рис. 6 представлены температурные зависимости термоэлектрических параметров экструдированных образцов Bi2Te2.5Se0.5 до (кривые 1) и после термообработки при температуре 573 К в течение 24 ч (кривые 2). Термическая обработка при Т = 573 К в течение 24 ч приводит к увеличению электрической проводимости во всем исследованном температурном интервале (кривая 2 на рис. 6а), что, вероятно, можно связать с уменьшением рассеяния носителей заряда на границах зерен, а также с изменением концентрации носителей заряда. Для экспериментального подтверждения изменения концентрации носителей заряда были проведены измерения эффекта Холла.
Рис. 6. Температурные зависимости удельной электропроводности (а), коэффициента Зеебека (б), удельной теплопроводности – общей (в) и решеточной (г) – и термоэлектрической добротности (д) образцов Bi2Te2.5Se0.5 до (1) и после термообработки при температуре 573К в течение 24 ч (2).
Установлено, что для экструдированного образца Bi2Te2.5Se0.5 термообработка при температуре 573 К в течение 24 ч приводит к небольшому повышению концентрации носителей заряда (электронов), с 1.53 × 1019 см–3 для исходного состояния до 1.82 × 1019 см–3 после термообработки, что указывает на доминирование первого механизма. Об этом свидетельствуют также результаты исследования теплопроводности.
На рис. 6в и 6г представлены температурные зависимости коэффициента теплопроводности (общей и фононной соответственно) для образца Bi2Te2.5Se0.5, полученного экструзией, до (кривые 1) и после термической обработки (кривые 2). На температурной зависимости коэффициента общей теплопроводности наблюдается минимум при Т ~ 350К, значение которого несколько повышается за счет электронной составляющей (кривая 2 на рис. 6в), а положение практически не изменяется после термической обработки. Фононная же составляющая теплопроводности понижается во всем температурном интервале. Полученный результат свидетельствует о небольшом росте зерен, приводящем к уменьшению фононной составляющей теплопроводности и увеличению общей.
Температурные зависимости безразмерной термоэлектрической добротности ZT исследуемого термоэлектрика Bi2Te2.5Se0.5 представлены на рис. 6д. Термоэлектрическая добротность полученного после термической обработки образца (кривая 2) возрастает до температуры 350 К и снижается при дальнейшем ее повышении, оставаясь выше значений для исходного образца после экструзии (кривая 1).
На рис. 7а представлены зависимости механического напряжения sсж от относительной деформации e при сжатии образцов Bi2Te2.5Se0.5, полученных зонной перекристаллизацией (кривая 1) и экструзией (кривая 2). Они имеют вид прямолинейной зависимости, что говорит об упругой деформации материала при испытаниях. Сравнительная характеристика полученных зависимостей показала, что экструзия термоэлектрических материалов позволяет повысить предел прочности почти в два раза по сравнению с зонной перекристаллизацией.
Рис. 7. Кривые σсж–e образцов Bi2Te2.5Se0.5 в исходном состоянии, полученных экструзией (2), зонной перекристаллизацией (1) (а), а также экструдированных образцов до (1) и после термообработки при температуре 573 К в течение 24 ч (2) (б).
Для изучения влияния термической обработки на механические параметры были проведены испытания на сжатие термообработанных образцов. На рис. 7б представлены диаграммы в координатах напряжение (sсж)–деформация (e) термоэлектрического твердого раствора Bi2Te2.5Se0.5, полученного экструзией, до (кривая 1) и после термообработки при температуре 573 К в течение 24 ч (кривая 2). Термообработка исследуемого сплава привела к некоторому росту предела прочности исследуемого сплава, а площадка текучести при этом уменьшилась. Данный результат отличается от характеристик термоэлектрического сплава Bi0.5Sb1.5Te3 p-типа проводимости, полученного методом экструзии, где термообработка снижала предел прочности и увеличивала площадку текучести [12], что требует дополнительного обсуждения.
Пластическая деформация металлов и сплавов происходит в основном за счет движения дислокаций, а упрочение определяется их взаимодействием друг с другом и с остальными дефектами кристаллической решетки (границы зерна, двойники, примесные атомы и т.д.) [29–31]. Как отмечалось выше, в металлических поликристаллических материалах доминирующим механизмом является упругое взаимодействие дислокации с примесными атомами [23]. В исследуемом полупроводниковом сплаве Bi2Te2.5Se0.5 n-типа, а также сплаве Bi0.5Sb1.5Te3 p-типа проводимости к упругому взаимодействию добавляется электрическое (кулоновское) [24]. Поскольку термическая обработка в указанных сплавах по-разному влияет на механические свойства, можно предположить, что доминирующим типом взаимодействия дислокаций с точечными дефектами в исследуемых термоэлектриках является электрическое (кулоновское). Оборванные связи дислокаций при этом действуют как ловушки для носителей заряда. В сплаве Bi2Te2.5Se0.5 n-типа эти связи захватывают электроны и тем самым обусловливают кулоновское взаимодействие между дислокацией и положительно заряженными ионами примеси. Термообработка такого сплава приводит к росту концентрации свободных носителей заряда, о чем свидетельствуют результаты измерения эффекта Холла, а следовательно, и к росту положительно заряженных ионов примеси. Подвижность дислокаций при этом снижается, что и приводит к росту предела прочности.
ЗАКЛЮЧЕНИЕ
Методом экструзии получены образцы твердого раствора Bi2Te2.5Se0.5 n-типа проводимости и исследовано влияние термической обработки на механическую прочность и термоэлектрические параметры. Установлено, что термическая обработка при Т = 573 К в течение 24 ч приводит к росту предела прочности с 150 до 165 МПа. Показано, что термическая обработка повышает электрическую проводимость, теплопроводность и снижает коэффициент Зеебека термоэлектрического материала. В результате при температуре 340 К наблюдается рост максимальной термоэлектрической добротности ZT с 0.9 до 0.96. Наблюдаемые изменения свойств исследуемого сплава связываются с электрическим (кулоновским) взаимодействием между дислокациями и положительно заряженными ионами примеси.
КОНФЛИКТ ИНТЕРЕСОВ
Авторы заявляют, что у них нет конфликта интересов.
Об авторах
В. А. Юрьев
АО “РИФ”; Воронежский государственный технический университет
Автор, ответственный за переписку.
Email: vlad.yriev@yandex.ru
Россия, ул. Дорожная, 17/2, Воронеж, 394062; ул. 20-летия Октября, 84, Воронеж, 394006
А. Г. Чуйко
АО “РИФ”
Email: vlad.yriev@yandex.ru
Россия, ул. Дорожная, 17/2, Воронеж, 394062
Ю. Е. Калинин
Воронежский государственный технический университет
Email: vlad.yriev@yandex.ru
Россия, ул. 20-летия Октября, 84, Воронеж, 394006
А. А. Гребенников
Воронежский государственный технический университет
Email: vlad.yriev@yandex.ru
Россия, ул. 20-летия Октября, 84, Воронеж, 394006
М. А. Каширин
Воронежский государственный технический университет
Email: vlad.yriev@yandex.ru
Россия, ул. 20-летия Октября, 84, Воронеж, 394006
Список литературы
- Гольцман Б.М., Кудинов В.А., Смирнов И.А. Полупроводниковые термоэлектрические материалы на основе Bi2Te3. М.: Наука, 1972. 320 с.
- Соловьев Б.А., Гамисония Г.К., Димукашева Г.Е., Коломеец Д.А. Применение термоэлектрического модуля Пельтье в технологиях охлаждения и генерации электроэнергии // Электротехнические и информационные комплексы и системы. 2023. Т. 19. № 4. С. 127–136. https://doi.org/10.17122/1999-5458-2023-19-4-127-136
- Иванова Л.Д., Гранаткина Ю.В., Мальчев А.Г., Нихезина И.Ю., Емельянов М.В., Никулин Д.С. Термоэлектрические и механические свойства твердых растворов Sb2Te3–Bi2Te3, легированных свинцом // Неорган. материалы. 2020. Т. 56. № 3. С. 247–252. https://doi.org/10.31857/S0002337X20030057
- Сорокин А.И., Иванцов М.С., Табачкова Н.Ю., Бублик В.Т., Скипидаров С.Я., Дашевский З.М. Разработка технологии высокопрочных термоэлектриков диаметром до 35 мм на основе поликристаллов Bi2Te3 методом горячей экструзии // Физика и техника полупроводников. 2022. Т. 56. № 1. С. 17–21. https://doi.org/10.21883/FTP.2022.01.51805.07
- Скипидаров С.Я., Курганов В.А. Твердые растворы Bi2Te3-Sb2Te3-Sb2Se3-Bi2Se3 n- и p-типов проводимости с повышенной механической прочностью: Патент RU 2774636 C1 от 26.10.2021. Опубликован 21.06.2022 (H01L 35/16, C22C 12/00).
- Lavrentev M.G., Osvenskii V.B., Parkhomenko Yu.N., Sorokin A.I., Pivovarov G.I., Bulat L.P., Snyder G.J., Kim H.S., Witting I.T., Bublik V.T., Tabachkova N.Yu. Improved Mechanical Properties of Thermoelectric (Bi0.2Sb0.8)2Te3 by Nanostructuring // APL Mater. 2016. V. 4. № 10. P. 104807. https://doi.org/10.1063/1.495317
- Lavrentev M.G., Drabkin I.A., Ershova L.B., Volkov M.P. Improved Extruded Thermoelectric Materials // J. Electron. Mater. 2020. № 49. P. 2937. https://doi.org/10.1007/s11664-020-07988-0
- Иванова Л.Д., Петрова Л.И., Гранаткина Ю.В., Никулин Д.С., Райкина О.А. Кристаллизация и механические свойства твердых растворов халькогенидов висмута и сурьмы // Неорган. материалы. 2016. Т. 52. № 3. С. 289–296. https://doi.org/10.7868/S0002337X16030040
- Гриднев С.А., Калинин Ю.Е., Макагонов В.А. Физические основы увеличения термоэлектрической добротности наноструктурированных материалов // Альтернативная энергетика и экология. 2019. № 34–36 (318–323). С. 41–72.
- Иоффе А.Ф. Полупроводниковые термоэлементы. М.: Изд-во АН СССР, 1956. 194 с.
- Lavrent’ev M.G., Osvenskii V.B., Pivovarov G.I., Sorokina A.I., Bulat L.P., Bublik V.T., Tabachkova N.Yu. Mechanical Properties of (Bi,Sb)2Te3 Solid Solutions Obtained by Directional Crystallization and Spark Plasma Sintering // Tech. Phys. Lett. 2016. V. 42. № 1. P. 105–107. https://doi.org/10.1134/S1063785016010260
- Юрьев В.А., Чуйко А.Г., Калинин Ю.Е., Гребенников А.А., Каширин М.А. Влияние термической обработки на термоэлектрические и механические свойства твердого раствора Bi0.5Sb1.5Te3 p-типа проводимости, полученного методом экструзии // Физика и техника полупроводников. 2024. Т. 58. № 2. С. 63–67. https://doi.org/10.61011/FTP.2024.02.57870.14T
- Shtremel M.A. Strnegth of Alloys. Part I. Deformation: Textbook for Institutions of Higher Education. M.: MISiS Publ., 1997.
- Валиев Р.З. Новые исследования парадокса прочности и пластичности в наноматериалах // Вестн. СПбГУ. Математика. Механика. Астрономия. 2020. Т. 7 (65). № 1. С. 112–127. https://doi.org/10.21638/11701/spbu01.2020.112
- Valiev R.Z., Parfenov E.V., Raab G.I., Semenova I.P. Study and Development of Nanostructured Metals for Production of Medical Implants and Equipment // MTD. 2019. V. 1. № 1. Р. 42–47.
- Герасимова Н.С. Кристаллические решетки и их дефекты: уч. пособие по курсу “Материаловедение”. Калуга: МГТУ им. Н.Э. Баумана, 2016. 72 с.
- Ормонт Б.Ф. Введение в физическую химию и кристаллохимию полупроводников: уч. пособие для студентов техн. вузов / Под ред. Глазова В.М. М.: Высш. школа, 1982. 528 с.
- Физическое металловедение / Под ред. Кана Р.У., Хаазена П. В 3 т. Т. 1. Атомное строение металлов и сплавов. М.: Металлургия, 1987. 640 с.
- Петрик М.В., Кузнецов А.Р., Еникеев Н.А., Горностырев Ю.Н., Валиев Р.З. Особенности взаимодействия легирующих элементов с границами зерен и образование сегрегаций в сплавах Al–Mg и Al–Zn // Физика металлов и металловедение. 2018. Т. 119. № 7. С. 647–652.
- Мавлютов А.М., Латынина Т.А., Мурашкин М.Ю., Валиев Р.З., Орлова Т.С. Влияние отжига на микроструктуру и механические свойства ультрамелкозернистого технически чистого Al // Физика твердого тела. 2017. Т 59. № 10. С. 1949–1955. https://doi.org/10.21883/FTT.2017.10.44964.094
- Современная кристаллография (в четырех томах). Т. 4. Физические свойства кристаллов / Шувалов Л.А., Урусовская А.А., Желудев И.С. и др. М.: Наука, 1981.
- Павлык Б.В., Лыс Р.М., Дидык Р.И., Шикоряк И.А. Особенности одноосной упругой деформации кристаллов p-Si, облученных рентгеновскими лучами // Физика и техника полупроводников. 2015. Т. 49. № 5. С. 638–643.
- Gridnev S.A., Kalinin Yu.E., Dybov V.A., Popov I.I., Kashirin N.A., Tolstykh M.A. Internal Friction in Thin-film Ferrite Bismuth with an Amorphous Structure // J. Alloys Compd. 2022. V. 918. P. 165610. https://doi.org/10.1016/j.jallcom.2022.165610
- Белоногов Е.К., Гребенников А.А., Дыбов В.А., Костюченко А.В., Кущев С.Б., Сафонов И.А., Сериков Д.В., Юрьев В.А. Влияние фотонной обработки на структуру и субструктуру термоэлектрического материала Bi2Te3–хSeх // Перспективные материалы. 2019. № 12. С. 31–38. https://doi.org/10.30791/1028-978X-2019-12-31-38
- ГОСТ 25.503-97 Расчеты и испытания на прочность. Методы механических испытаний металлов. Метод испытания на сжатие. 01.07.99. М.: Изд-во стандартов, 1997. 24 с.
- Zhilova O.V., Pankov S.Yu., Sitnikov A.V., Kalinin Yu.E., Volochaev M.N., Makagonov V.A. Structure and Electrophysical Properties of Thin-film SnO2–In2O3 Heterostructures // J. Mater. Sci. – Mater. Electron. 2019. V. 30. P. 11859–11867. https://doi.org/10.1007/s10854-019-01503-w
- Иванова Л.Д. Термоэлектрические материалы для различных температурных уровней // Физика и техника полупроводников. 2017. Т. 51. № 7. С. 948–951.
- Иванова Л.Д., Гранаткина Ю.В., Мальчев А.Г., Нихезина И.Ю., Емельянов М.В., Никулин Д.С. Механические и термоэлектрические свойства твердых растворов халькогенидов висмута, полученных кристаллизацией в жидкости // Неорган. материалы. 2018. Т. 54. № 11. С. 1250–1255. https://doi.org/10.1134/S0002337X18120072
- Bahl S., Xiong L., Allard L.F., Michi R.A., Poplawsky J.D., Chuang A.C., Singh D., Watkins T.R., Shin D., Haynes J.A., Shyam A. Aging behavior and strengthening mechanisms of coarsening resistant metastable θ precipitates in an Al–Cu alloy // Mater. Design. 2021. V. 198. P. 109378. https://doi.org/10.1016/j.matdes.2020.109378
- Chen X., Zhan L., Ma Z., Xu Y., Zheng Q., Cai Y. Study on tensile/compressive asymmetry in creep ageing behavior of Al–Cu alloy under different stress levels // J. Alloys Compd. 2020. V. 843. P. 156157. https://doi.org/10.1016/j.jallcom.2020.156157
- Трусов П.В., Швейкин А.И. Многоуровневые модели моно- и поликристаллических материалов: теория, алгоритмы, примеры применения. Новосибирск: Изд-во СО РАН, 2019. 605 с.
Дополнительные файлы










