Potassium sorption by saline soils of Western Transbaikalia
- Autores: Sosorova S.B.1, Merkusheva M.G.1, Lavrentieva I.N.1, Bologneva L.N.1
-
Afiliações:
- Institute of General and Experimental Biology SB RAS
- Edição: Nº 1 (2025)
- Páginas: 11-25
- Seção: Soil Fertility
- URL: https://bakhtiniada.ru/0002-1881/article/view/285066
- DOI: https://doi.org/10.31857/S0002188125010027
- EDN: https://elibrary.ru/VCSZEK
- ID: 285066
Citar
Resumo
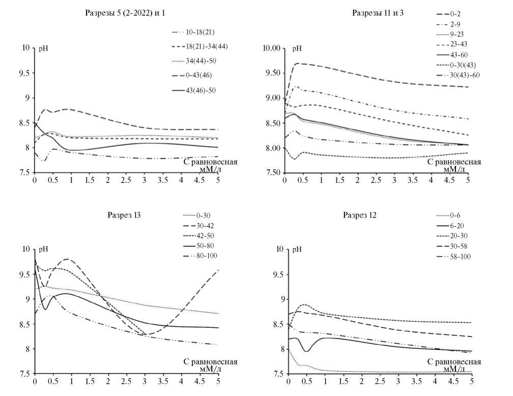
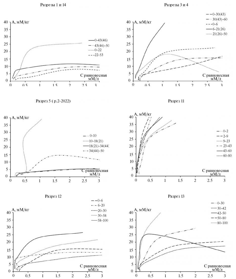
For the first time, potassium sorption in saline soils of Western Transbaikalia was studied under static conditions and a quantitative assessment of its parameters was given. It was found that the Langmuir and Freundlich equations satisfactorily describe the adsorption of potassium by the studied soils. It was shown that the maximum sorption capacity of soils (Amax) with respect to potassium varied within 5.1–137 mM K+/kg, which indicated a difference in sorption sites. A relatively high sorption of K+ by gley and typical salt marshes was revealed. The Amax value in the humus horizons varied by 2.6 times, in the underlying horizons – by 15.6 times and was minimal in the quasi-clay salt marsh. The adsorption equilibrium constant (CL) varied in a wide range from 0.32 to 26.8 l/mM with lower values in humus horizons, which indicated less strong binding of potassium in them. The values of the capacity coefficient of the Freundlich equation (KF) ranged from 3.1 to 91 l/kg=mM K+/kg in the humus horizon, from 3.2 to 69.5 in the mineral horizon. High values of the distribution coefficient (Kd) were typical for gley salt marsh and low values for quasi-gley (4.28–184 l/kg). A relatively high value of the maximum buffer capacity in relation to potassium (MBEc) was found in the gley and typical salt marshes, and a relatively minimum value was found in quasi-gley. According to the ability to sorb potassium, the saline soils of Western Transbaikalia formed the following decreasing series (weighted average in a layer of 0–30 cm): gley salt marsh > typical salt marsh > alluvial light humus saline > salt marsh > dark salt marsh > quasi-clay salt marsh. There was no clear correlation between the parameters of potassium adsorption and some indicators of soil properties. Only a weak dependence of the absorption of potassium ions on the reaction of the soil environment and the content of physical clay was observed.
Palavras-chave
Texto integral
Sobre autores
S. Sosorova
Institute of General and Experimental Biology SB RAS
Autor responsável pela correspondência
Email: soelma_sosorova@mail.ru
Rússia, ul. Sakhyanovoy 6, Ulan-Ude 670004
M. Merkusheva
Institute of General and Experimental Biology SB RAS
Email: soelma_sosorova@mail.ru
Rússia, ul. Sakhyanovoy 6, Ulan-Ude 670004
I. Lavrentieva
Institute of General and Experimental Biology SB RAS
Email: soelma_sosorova@mail.ru
Rússia, ul. Sakhyanovoy 6, Ulan-Ude 670004
L. Bologneva
Institute of General and Experimental Biology SB RAS
Email: soelma_sosorova@mail.ru
Rússia, ul. Sakhyanovoy 6, Ulan-Ude 670004
Bibliografia
- Ильин Б.В. Элементный химический состав растений. Новосибирск: Наука, 1985. 129 с.
- Шеуджен А.Х. Биогеохимия. Майкоп: ГУРИПП “Адыгея”, 2003. 1028 с.
- Давлятшин И.Д., Лукманов А.А., Бадиков А. Калий в пахотных почвах лесостепи // Плодородие. 2013. № 2. С. 27–28.
- Минеев В.Г. Агрохимия и экологические функции калия. М.: Изд-во МГУ, 1999. 332 с.
- Сычев В.Г. Возможности совершенствования градации содержания “доступного” калия // Агрохим. вестн. 2000. № 5. С. 30–34.
- Якименко В.Н. Калий в агроценозах Западной Сибири. Новосибирск: Изд-во СО РАН, 2003. 231 с.
- Убугунов Л.Л., Лаврентьева И.Н., Убугунова В.И., Меркушева М.Г. Разнообразие почв Иволгинской котловины: эколого-агрохимические аспекты. Улан-Удэ: БГСХА, 2000. 208 с.
- Абидуева Т.И., Соколова Т.А. Глинистые минералы и калийное состояние степных почв Западного Забайкалья. Новосибирск: Изд-во СО РАН, 2005. 101 с.
- Пьянкова Н.А., Рузавин Ю.Н., Билтуев А.С. Агрохимическая характеристика серых лесных неоподзоленных почв Селенгинского среднегорья // Вестн. Бурят. ГСХА им. В.Р. Филиппова. 2008. № 2(11). С. 39–44.
- Пигарева Н.Н. Агрохимические свойства дерновых лесных почв Бурятии // Агрохимия. 2012. № 6. С. 13–22.
- Меркушева М.Г., Убугунов Л.Л., Болонева Л.Н., Лаврентьева И.Н. Содержание, запасы и формы калия в каштановых почвах Забайкалья в зависимости от орошения и возрастающих доз калийных удобрений (на фоне NPS) под картофель // Агрохимия. 2020. № 3. С. 3–10.
- Меркушева М.Г., Убугунов Л.Л., Болонева Л.Н. Калийное состояние неорошаемых и орошаемых аллювиальных дерновых почв Забайкалья // Агрохим. вестн. 2008. № 4. С. 10–11.
- Рузавин Ю.Н., Чимитдоржиева И.Б., Норбованжилов Р.Д., Тарасова Л.А. Изменение содержания форм калия при длительном сельскохозяйственном использовании черноземных почв Республики Бурятия // АгроЭко-Инфо. 2020. № 4.
- Сосорова С.Б. Сорбция калия некоторыми типами почв Западного Забайкалья // Биота, генезис и продуктивность почв. Мат-лы XIX Всерос. совещ. по почвенной зоологии / Под ред. А.В. Тиунова, К.Б. Гонгальского, А.В. Уварова. Улан-Удэ, 2022. С. 155–156.
- Сосорова С.Б. Особенности сорбции калия почвами Западного Забайкалья // Географ. и природ. ресурсы. 2023. Т. 44. № 3. С. 51–60.
- Чиркова Т.В. Физиологические основы устойчивости растений. СПб.: Изд-во СПбГУ, 2002. 244 с.
- Кузнецов В.В., Дмитриева Г.А. Физиология растений. М.: Высш. шк., 2006. 742 с.
- Веселов Д.С., Маркова И.В., Кудоярова Г.Р. Реакция растений на засоление и формирование солеустойчивости // Усп. соврем. биол. 2007. Т. 127. № 5. С. 482–493.
- Веселов Д.С., Шарипова Г.В., Кудоярова Г.Р. Сравнительное изучение реакции растений ячменя (Hordeum vulgare) и пшеницы (Triticum durum) на кратковременное и длительное действие натрий-хлоридного засоления // Агрохимия. 2007. № 7. С. 41–48.
- Rus A., Lee B., Munoz-Mayor A., Sharhuu A., Miura K., Zhu J.-K., Bressan R., Hasegawa P.M. AtHKT1 facilitates Na+ homeostasis and K+ nutrition in planta // Plant Physiol. 2004. V. 136. Iss. 12. P. 2500–2511.
- Pardo J.M., Quintero F.J. Plants and sodium ions: Keeping company with the enemy // Genome Biol. 2002. Rev. 3. P. 1017.1–1017.4.
- Панкова Е.И., Горохова И.Н. Анализ сведений о площади засоленных почв России на конец XX и начало XXI веков // Бюл. Почв. ин-та им. В.В. Докучаева. 2020. Вып. 103. С. 5–33.
- Ефремов Е.Н. Плодородие почв и удобрения. URL: https://www.agroxxi.ru/journal/199804/199804001.pdf. (дата обращения: 02.02.2023).
- Панкова Е.И., Новикова А.Ф. Засоленные почвы России (диагностика, география, площади) // Почвоведение. 1995. № 1. С. 73–83.
- Убугунов Л.Л., Ральдин Б.Б., Убугунова В.И. Почвенный покров Бурятии как базовый компонент природных ресурсов Байкальского региона. Улан-Удэ: Изд-во БНЦ СО РАН, 2002. 53 с.
- Убугунов Л.Л., Меркушева М.Г., Андреева И.М. Натрий в экосистемах Забайкалья и его агрохимическая эффективность. Новосибирск: СО РАН, 2022. 239 с.
- Национальная стратегия сохранения биоразнообразия России. М., 2012. 129 с.
- Классификация и диагностика почв России. Смоленск: Ойкумена, 2004. 342 с.
- Герасимова М.И., Лебедева И.И., Хитров Н.Б. Индексация почвенных горизонтов: состояние вопроса. проблемы и предложения // Почвоведение. 2013. № 5. С. 627–638.
- Агрохимические методы исследования почв. М.: Наука, 1975. 656 с.
- Сосорова С.Б., Меркушева М.Г., Болонева Л.Н., Балданова А.Л., Убугунов Л.Л. Содержание микроэлементов в со-лончаках Западного Забайкалья // Почвоведение. 2016. № 4. C. 459–474.
- Убугунов Л.Л., Лаврентьева И.Н., Меркушева М.Г. Биологическая продуктивность и гумусное состояние почв Иволгинской котловины (Западное Забайкалье) // Почвоведение. 2001. № 5. С. 557–568.
- https://soil-db.ru/soilatlas/razdel-6-funkcii-pochv/sorbcionnye-funkcii-pochv
- Зеленцов В.И., Дацко Т.Я. Применение адсорбционных моделей для описания равновесия в системе оксигидроксид алюминия–фтор // Электр. обработка мат-лов. 2012. № 48(6). С. 65–73.
- Scherrer R.A., Howard S.M. The Use of distribution coefficients in quantitative structure-activity relationships // J. Med. Chem. 1977. V. 20. P. 53–58.
- Ayenew B., Tadesse A.M., Kibret K. Phosphorous status and adsorption characteristics of acid soils from Cheha and Dinsho districts, southern highlands of Ethiopia // Environ. Syst. Res. 2018. V. 7. P. 17. doi: 10.1186/s40068-018-0121-1
- Грег С., Синг К. Адсорбция, удельная поверхность, пористость. Пер. с англ. 2-е изд. М.^ Мир, 1984. 306 с.
- Гаврилова Н.Н., Назаров В.В. Анализ пористой структуры на основе адсорбционных данных: учеб. пособ. М.: РХТУ им. Д.И. Менделеева, 2015. 132 с.
- Парфит Г., Рочестер К. Адсорбция из растворов на поверхности твердых тел. М.: Мир, 1986. 488 с.
- Кучер Л.И. Калий органической части почв в почвозащитном земледелии // SCI-ARTICLE.RU. № 38 (октябрь) 2016. URL: https://www.sci-article.ru/stat.php?i=1477062216
- Кулакова Н.Ю., Соколова Т.А. Влияние агролесомелиорации на калийное состояние лугово-каштановых почв в глинистой полупустыне // Аридн. экосист. 2010. Т. 16. № 5(45). С. 79–89.
- Калиновская А.А. Распределение тяжелых металлов и радионуклидов в почвах природных и агроэкосистем северо-востока Лужской возвышенности: Дис. … канд. биол. наук. СПб.: СПбГАУ, 2021. 159 с.
- Ягодин Б.А., Жуков Ю.П., Кобзаренко В.И. Агрохимия / Под ред. Б.А. Ягодина. М.: Колос, 2002. 584 с.
- Якименко В.Н. Фиксация калия и магния почвой агроценоза // Агрохимия. 2023. № 3. С. 3–11.
- https://agric4profits.com/potassium-content-of-soils-forms-sources
- Магомедалиев З.Г. Калий в почвах Дагестана и эффективность калийных удобрений под зерновые культуры в Прикаспийской низменности: Автореф. дис. … д-ра с-х. наук. Нальчик, 2006. 42 с.
- Загузина Н.А., Рузавин Ю.Н. Минералогический состав почв Бурятской АССР и содержание в них различных форм соединений калия // Почвенные ресурсы Забайкалья / Под ред. В.М. Корсунова. Новосибирск: Наука, СО, 1989. С. 59–66.
- Авакян Н.О. Агроxимия калия почв Армении: Автореф. дис. ... д-ра с.-х. наук. Баку, 1971. 52 с.
- Pal Y., Wong M.T.F., Gilkes R. The forms of potassium and potassium adsorption in some virgin soils from South-Western Australia //Austral. J. Soil Res. 1999. V. 37. P. 695–709.
- Середина В.П. Геохимические особенности поведения калия в почвах // Вестн. ТомскГУ. Биология. 2007. № 1. C. 106–118.
- Петрофанов В.Л. Подвижность калия гранулометрических фракций дерново-подзолистых почв и чернозема: Автореф. дис. … канд. с.-х. наук. М.: Почв. ин-т им. В.В. Докучаева РАСХН, 2012. 23 с.
- Voud rias E., Fytianos F., Bozani E. Sorption description isotherms of dyes from aqueous solutions and waste waters with different sorbent materials // Glob. Nest. Inter. J. 2002. V. 4(1). P. 75–83.
- Kenyanya O., Muthengia J., Mbuvi H. Determination of potassium levels in intensive subsistence agricultural soils in Nyamira County, Kenya // Inter. J. Agric. 2013. V. 3(7). P. 294–302.
- Dada A.O., Olalekan A.P., Olatunya A.M., Dada O. Langmuir, Freundlich, Temkin and Dubinin–Radushkevich isotherms studies of equilibrium sorption of Zn unto phosphoric acid modified rice husk // IOSR J. Appl. Chem. (IOSR-JAC). 2012. V. 3(1). P. 38–45.
- Пардаев О.Т., Даминова Ш.Ш. Cорбция ионов серебра на твердых экстрагентах на основе полимерных матриц // Universum: хим. и биол.: электр. научн. журн. 2021. № 10(88).
Arquivos suplementares





