Assessment of enzymative and microbiological activity of soil rhizosphere Solanum tuberosum L. under the influence of treatment of tubers with endophyte bacteria Bacillus subtilis in the conditions of the Cis-Ural Region
- Authors: Garipova S.R.1,2, Pusenkova L.I.1, Sidorova L.V.3, Valieva V.A.1, Chistoedova A.V.1, Matyunina V.D.1, Grigoriadi A.S.2
-
Affiliations:
- Bashkir Research Institute of Agriculture –Ufa Federal Research Center, RAS Research Center of the RAS
- Ufa University of Science and Technologies
- Institute of Biology – Ufa Federal Research Center, RAS
- Issue: No 12 (2024)
- Pages: 54-63
- Section: Agroecology
- URL: https://bakhtiniada.ru/0002-1881/article/view/273591
- DOI: https://doi.org/10.31857/S0002188124120085
- EDN: https://elibrary.ru/vvpxel
- ID: 273591
Cite item
Abstract
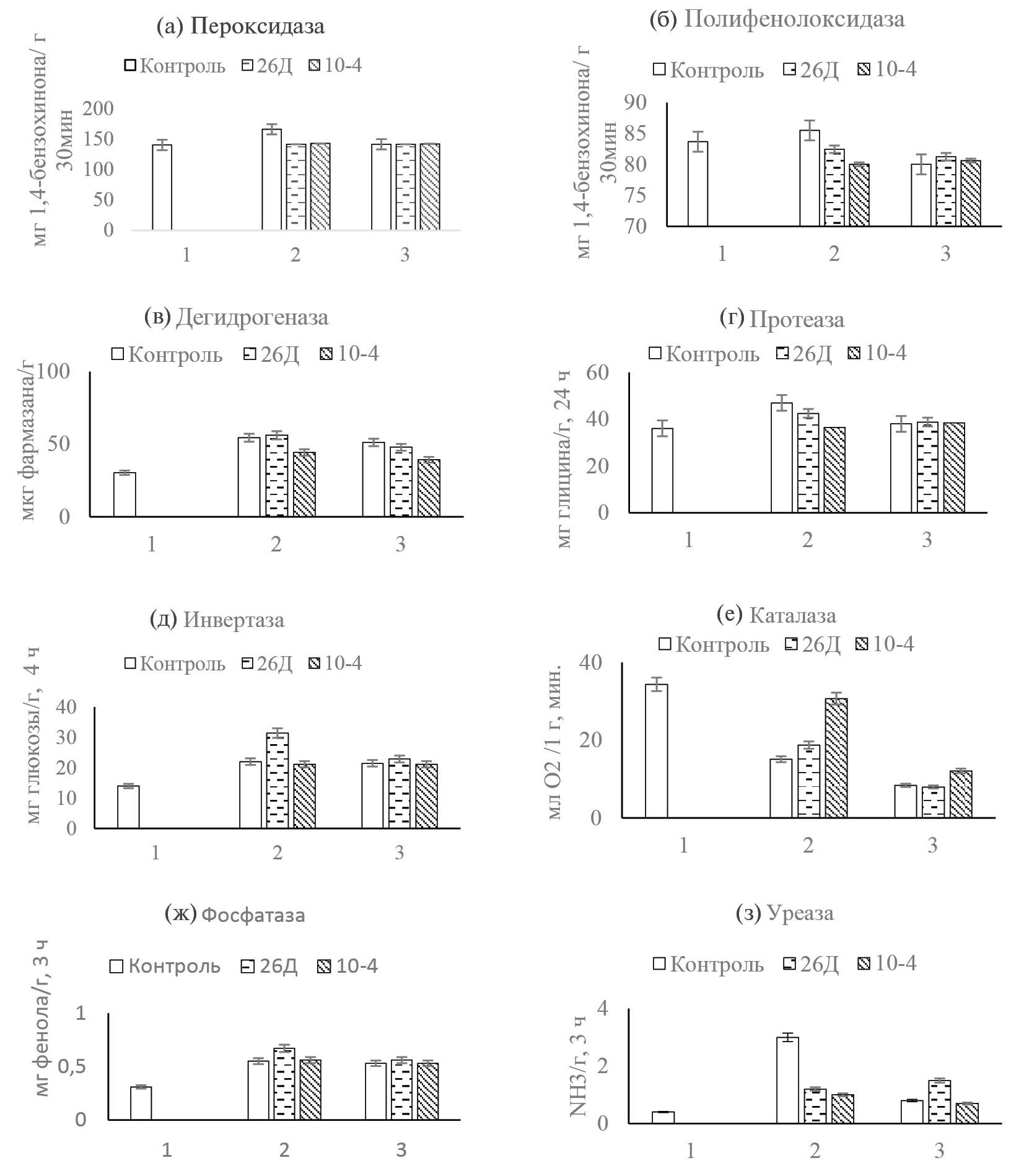
The effect of inoculation by endophytic bacteria Bacillus subtilis 26D and 10-4 on potato yield, its commercial quality, the prevalence of tuber diseases, the number of bacteria in different organs of the plant endosphere, the enzymatic activity of the soil of the rhizosphere of inoculated and non-inoculated (control) plants and the number of different trophic groups of microorganisms in dynamics were studied. Treatment with the B. subtilis 10-4 strain led to an increase in the total number of tubers from the bush by 35.4, their weight by 16.5%, and a decrease in the number of diseased tubers with signs of scab and dry rot. Treatment with strain B. subtilis 26D contributed to protection against dry rot while maintaining productivity at the control level without inoculation. The number of endophytic bacteria in different organs of the plant varied from 106 to 8×107 CFU/g of crude mass. A larger number of endophytes than in the control and inoculation variant with strain 26D was recorded in the treatment variant with strain 10-4 in the budding phase in the roots, and in the flowering phase in the stems and leaves. According to the ratio of polyphenol oxidase/peroxidase activity in the rhizosphere of the inoculated variants, the humus accumulation coefficient increased from 0.51 in the control without inoculation to 0.56 and 0.57 in the inoculation variants with endophytic bacteria. The intensity coefficient of hydrolysis of organic soil compounds (invertase/catalase activity ratio) it was 2 times less in the variant of inoculation with strain 10-4. The high and prolonged catalase activity in the rhizosphere of plants inoculated with strain 10-4 indicated a positive effect of endophytes not only on the preservation of soil fertility, but also on the effectiveness of biocontrol of phytopathogens. Differences in the microbiome of the rhizosphere of inoculated plants were associated with an increase in the number of micromycetes and a high coefficient of microbial mineralization in the treatment variant with strain 26D and the predominance of the number of oligonitrophils in the treatment with strain 10-4.
Full Text
About the authors
S. R. Garipova
Bashkir Research Institute of Agriculture –Ufa Federal Research Center, RAS Research Center of the RAS; Ufa University of Science and Technologies
Author for correspondence.
Email: garipovasvetlana@gmail.com
Russian Federation, ul. R. Zorge 19, Ufa 450059; ul. Z. Validi 32, Ufa 450076
L. I. Pusenkova
Bashkir Research Institute of Agriculture –Ufa Federal Research Center, RAS Research Center of the RAS
Email: garipovasvetlana@gmail.com
Russian Federation, ul. R. Zorge 19, Ufa 450059
L. V. Sidorova
Institute of Biology – Ufa Federal Research Center, RAS
Email: garipovasvetlana@gmail.com
Russian Federation, prosp. Oktyabrya 69, Ufa 450054
V. A. Valieva
Bashkir Research Institute of Agriculture –Ufa Federal Research Center, RAS Research Center of the RAS
Email: garipovasvetlana@gmail.com
Russian Federation, ul. R. Zorge 19, Ufa 450059
A. V. Chistoedova
Bashkir Research Institute of Agriculture –Ufa Federal Research Center, RAS Research Center of the RAS
Email: garipovasvetlana@gmail.com
Russian Federation, ul. R. Zorge 19, Ufa 450059
V. D. Matyunina
Bashkir Research Institute of Agriculture –Ufa Federal Research Center, RAS Research Center of the RAS
Email: garipovasvetlana@gmail.com
Russian Federation, ul. R. Zorge 19, Ufa 450059
A. S. Grigoriadi
Ufa University of Science and Technologies
Email: garipovasvetlana@gmail.com
Russian Federation, ul. Z. Validi 32, Ufa 450076
References
- Singh J., Yadav A.N. Natural bioactive products in sustainable agriculture // Springer Nat. 2020. P. 307. https://doi.org/10.1007/978-981-15-3024-1
- Hafez M., Rashad M., Popov A. The biological correction of agrophotosynthesis of soil plant productivity // J. Plant Nutr. 2020. V. 43. № 19. P. 2929–2980. https://doi.org/10.1080/01904167.2020.1799008
- Rani S., Kumar P., Dahiya P, Maheshwari R., Dang A.S., Suneja P. Endophytism: A Multidimensional approach to plant–prokaryotic microbe interaction // Front. Microbiol. 2022. № 13. P. 861235. https://doi: 10.3389/fmicb.2022.861235
- Lastochkina O., Garshina D., Allagulova C., Pusenkova L., Garipova S., Maslennikova D., Fedorova K., Shpirnaya I., Ibragimov A., Koryakov I., Sakhapova A., Yuldasbaeva G., Dmitrieva A., Sobhani M., Aliniaeifard S. Potential aspects of plant growth promoting bacteria to improve horticultural crop production // International J. Horticult. Sci. Technol. 2021. Т. 8. № 2. С. 103–122.
- Веселова С.В., Сорокань А.В., Бурханова Г.Ф., Румянцев С.Д., Алексеев В.Ю., Черепанова Е.А., Максимов И.В. Бактерии рода Bacillus как перспективный источник для создания биопрепаратов от патогенов и вредителей сельскохозяйственных культур // Тр. КубанГАУ. 2022. № 97. С. 40–45.
- Devaux A., Goffart J.-P., Petsakos A., Kromann P., Gatto M., Okello J., Suarez V., Hareau G. Global food security, contributions from sustainable potato agri-food systems // The Potato Crop / Еds. Campos H., Ortiz O. Cham: Springer, 2020. https://doi.org/10.1007/978-3-030-28683-5_1
- Hao J., Ashley K. Irreplaceable role of amendment-based strategies to enhance soil health and disease suppression in potato production // Microorganisms. 2021. V. 9. P. 1660. https://doi.org/10.3390/microorganisms9081660
- Пусенкова Л.И., Гарипова С.Р., Ласточкина О.В., Федорова К.А., Марданшин И.С. Влияние эндофитных бактериий Bacillus subtilis на урожай, качество клубней и послеуборочные болезни картофеля // Агрохим. вестн. 2021. № 5. С. 73–79.
- Гергиева Ф.Т., Газданова И.О., Дзедаев Х.Т., Моргоев Т.А., Бекмурзов Б.В. Применение биологических препаратов в производстве картофеля на почвах Северной Осетии // Аграрн. научн. журн. 2021. № 12. С. 4–8. http://dx.doi.org/10.28983/asj.y2021i12pp4-8
- Карамова Н.С., Туама А.А., Сташевски З. Эндофитные микроорганизмы картофеля (Solanum tuberosum L.): разнообразие, функции и биотехнологический потенциал // Экол. генет. 2023. Т. 21. № 2. С. 123–135.
- Пусенкова Л.И., Ильясова Е.Ю., Ласточкина О.В., Максимов И.В., Леонова С.А. Изменение видового состава микофлоры ризосферы и филлосферы сахарной свеклы под влиянием биопрепаратов на основе эндофитных бактерий и их метаболитов // Почвоведение. 2016. № 10. С. 1205–1213.
- Масленникова В.С., Цветкова В.П., Нерсесян С.М., Бедарева Е.В., Калмыкова Г.В., Дубовский И.М., Литвина Л.А. Влияние инокуляции клубней картофеля бактериями рода Bacillus на популяцию ризосферных микроорганизмов // Вестн. НГАУ. 2022. № 1(62). С. 46–55.
- Petrushin I.S., Filinova N.V., Gutnik D.I. Potato microbiome: relationship with environmental factors and approaches for microbiome modulation // Inter. J. Mol. Sci. 2024. V. 25. P. 750. https://doi.org/10.3390/ijms25020750
- Поляк Ю.М., Сухаревич В.И. Почвенные ферменты и загрязнение почв: биодеградация, биоремедиация, биоиндикация // Агрохимия. 2020. № 3. С. 83–93.
- Алексеева А.А., Фомина Н.В. Оценка воздействия фунгицидов на активность гидролитических почвенных ферментов // Вестн. КрасГАУ. 2017. № 3. С. 144–153.
- Практикум по микробиологии / сост. А.И. Нетрусов, М.А. Егорова, Л.М. Захарчук и др. М.: Изд. центр «Академия», 2005. 608 с.
- Хазиев Ф.Х. Методы почвенной энзимологии. М.: Наука, 2005. 252 с.
- Shi W., Su G., Li M., Wang B., Lin R., Yang Y., Wei T., Zhou B., Gao Z. Distribution of bacterial endophytes in the non-lesion tissues of potato and their response to potato common scab // Front. Microbiol. 2021. № 12. P. 616013. https://doi org/10.3389/fmicb.2021.616013
- Boer S.H., Copeman R.J. Endophytic bacterial flora in solanum tuberosum and its significance in bacterial ring rot diagnosis // Canad. J. Plant Sci. 1974. V. 54. № 1. P. 115–122. https://doi.org/10.4141/cjps74-019
- Битов Х.А., Бжеумыхов В.С. Влияние сидеральных культур на ферментативную активность почвы // Вестн. аграрн. науки. 2023. № 2(101). С. 6–11. https://doi.org/10.17238/issn2587-666X.2023.2.6
- Зинченко М.К. Система биологических показателей при оценке экологического состояния серой лесной почвы на примере стационарного опыта // Владимир. земледелец. 2022. № 1. С. 9–15. https://doi.org/10.24412/2225-2584-2022-1-9-15
- Ларикова Ю.С., Волобуева О.Г. Современные представления об эколого-физиологической роли корневых экссудатов растений (обзорная статья) // Зернобоб. и круп. культ. 2021. № 4(40). С. 93–101.
- Lyu D., Smith D.L. The root signals in rhizospheric inter-organismal communications // Front. Plant Sci. 2022. № 13. P. 1064058. https://doi.org/10.3389/fpls.2022.1064058
- Зинченко М.К., Зинченко С.И. Ферментативная активность серой лесной почвы при различных приемах основной обработки // Достиж. науки и техн. АПК. 2021. Т. 35. № 4. С. 17–21. https://doi.org/10.24411/0235-2451-2021-10402
- Самусик Е.А., Головатый С.Е. Ферментативная активность дерново-подзолистых почв в условиях воздействия выбросов предприятия по производству строительных материалов // Журн. Белорус. гос. ун-та. Экология. 2022. № 1. С. 104–113.
- Jabborova D., Davranov K., Jabbarov Z., Bhowmik S.N., Ercisli S., Danish S., Singh S., Desouky S.E., Elazzazy A.M., Nasif O., Datta R. Hydrolysis of tetrafluoroborate and hexafluorophosphate counter ions in imidazolium-based ionic liquids // ACS Omega. 2022. № 7(39). P. 34779–34788. https://doi.org/10.1021/acsomega.2c02353
- Niewiadomska A., Sulewska H., Wolna-Maruwka A., Ratajczak K., Głuchowska K., Waraczewska Z., Budka A. An Assessment of the influence of co-inoculation with endophytic bacteria and Rhizobia, and the influence of PRP SOL and PRP EBV fertilisers on the microbial parameters of soil and nitrogenase activity in yellow lupine (Lupinus luteus L.) cultivation // Pol. J. Environ. Stud. 2018. V. 27. № 6. P. 2687–2702. https://doi.org/10.15244/pjoes/78890
- Любимова Н.А., Рабинович Г.Ю. Влияние биопрепарата с наночастицами железа на активность почвенных ферментов и урожайность картофеля // Аграрн. наука Евро-Северо-Востока. 2023. Т. 24. № 3. С. 417–429.
- Романов В.Н., Заушинцена А.В., Кожевников Н.В. Применение показателей активности ферментов для оперативной диагностики экологического состояния агрогенных почв // Достиж. науки и техн. АПК. 2019. Т. 33. № 7. С. 44–47. https://doi.org/10.24411/0235-2451-2019-10711
- Зинченко М.К., Автономова И.Н. Активность ферментов в почвенных разностях серой лесной почвы агроландшафтов // Современные тенденции в научном обеспечении агропромышленного комплекса. Суздаль–Иваново, 2022. С. 12–16.
- White J.F., Kingsley K.L., Verma S.K., Kowalski K.P. Rhizophagy cycle: An Oxidative process in plants for nutrient extraction from symbiotic microbes // Microorganisms. 2018. V. 6. № 3. P. 95. https://doi.org/10.3390/microorganisms6030095
Supplementary files




