Control of the Microbial Block of the Biogeochemical Cycle of Organochlorine Pesticides in Agroecosystems. Message 1. Microbial Transformation of Pesticides
- Authors: Bashkin V.N.1, Galiulina R.A.2
-
Affiliations:
- Institute of Physicochemical and Biological Problems of Soil Science, RAS
- Institute of Fundamental Problems of Biology RAS
- Issue: No 10 (2024)
- Pages: 94-108
- Section: Reviews
- URL: https://bakhtiniada.ru/0002-1881/article/view/271634
- DOI: https://doi.org/10.31857/S0002188124100104
- EDN: https://elibrary.ru/ANJKHH
- ID: 271634
Cite item
Full Text
Abstract
The processes of mineralization of xenobiotic organic compounds and their inclusion in the biogeochemical cycle, which is carried out due to their biochemical (microbiological) transformations, are considered. The state of pesticides in the soil and their degradation potential are assessed. The features of microbiological transformation and degradation of pesticides in soils, natural waters and bottom sediments are shown. The physicochemical and biological properties of agroecosystems affecting the transformation of organochlorine pesticides are characterized. A historical digression into the problem of microbial transformation of pesticides is given and the current state of knowledge of this problem is presented.
Full Text
ВВЕДЕНИЕ
В 2024 г. исполняется 80 лет со дня рождения известного ученого, д. г. н. Рауфа Валиевича Галиулина, многие годы проработавшего в Пущинском научном центре РАН. Галиулин Р.В. – автор многочисленных научных публикаций в журнале “Агрохимия” и других смежных изданиях в области агрохимии, экотоксикологии и агрогеохимии стойких органических поллютантов и, прежде всего, хлорорганических пестицидов (ХОП), таких как ДДТ и ГХЦГ.
ДДТ (4,4-дихлордифенилтрихлорэтан) является одним из стойких органических загрязнителей, который широко использовали с 1940-х гг. в качестве инсектицида для борьбы с малярией и вредителями растений. Несмотря на то что этот препарат был запрещен с 1970 г., ДДТ и его метаболиты по-прежнему повсеместно присутствуют в окружающей среде и оказывают негативное воздействие на здоровье человека. Известно, что в прошлом ДДТ и гексахлорциклогексан (ГХЦГ) в значительных количествах применяли в сельском хозяйстве в качестве инсектицидов, т. е. химических препаратов, предназначенных для борьбы с различными вредными насекомыми (жужелицей хлебной, совкой кукурузной, пьявицой рисовой, блошкой свекловичной, молью капустной, жуком картофельным, молью яблоневой, листоверткой виноградной и др.). Например, за более чем 50 лет было применено свыше 5 млн т ДДТ. Повторное применение ДДТ для борьбы с комарами было рекомендовано Всемирной организацией здравоохранения в 2007 г. После запрещения ДДТ в большинстве стран мира с 1970 г. и резкого сокращения использования ГХЦГ с 1986 г. место их наиболее интенсивного применения (из-за низкой стоимости и достаточной эффективности) переместилось в развивающиеся страны Азии, Африки и Латинской Америки. ДДТ, ГХЦГ и другие стойкие пестициды до сих пор обнаруживаются в почвах агроландшафтов, поэтому необходимо продолжать изучать особенности аккумуляции и миграции этих соединений в различных экологических и биогеохимических цепях (почва – вода – человек, почва – вода – растение – человек, почва – вода – растение (фураж) – домашнее животное – человек) в целях снижения их негативного воздействия на человека. Следовательно, происходит миграция пестицидов из почвы к человеку через воду, используемую для питья, и продукты растительного и животного происхождения. Риск поступления данных пестицидов в организм человека заключается в том, что они могут вызывать злокачественные новообразования, приводить к спонтанным абортам, мертворождениям, врожденным уродствам и другим патологиям [1].
Соответственно, исследования проблемы загрязнения окружающей среды такими стойкими хлор- органическими инсектицидами, как ДДТ и ГХЦГ, сохраняют свою актуальность и в настоящее время. Об этом свидетельствуют продолжающийся мониторинг их остатков в почвах и поверхностных водах и разработка экспрессных методов анализа. Главной причиной обнаружения остатков данных инсектицидов в окружающей среде является их необычайно высокая стойкость, характеризуемая величиной Т99, которая, по нашим расчетам, для отдельного природно-экономического региона изменяется в пределах 14–142 лет в зависимости от почвенных условий.
Загрязнение почв сельскохозяйственных угодий и многолетних насаждений другими пестицидами носит, как правило, ситуационный характер и не имеет таких масштабов и стабильности, как для стойких хлорорганических препаратов. Продолжающееся обнаружение остатков ДДТ и ГХЦГ в окружающей среде в виде исходных соединений, основных метаболитов и изомеров наводит на мысль о необходимости реконструкции загрязнения почв как депонирующей среды наземных экосистем и поверхностных вод, транзитной среды водных экосистем по данным их мониторинга. Это важно для полномасштабного представления экотоксикологической ситуации в конкретном природно-экономическом регионе и принятия при необходимости профилактических или ремедиационных мер в отношении весьма опасных для человека остатков ДДТ и ГХЦГ. Данные [2] свидетельствуют о высокой канцерогенности остатков ДДТ. При пероральном их введении частота рака печени, карциномы легких, злокачественных лимфом у подопытных животных (мышей, крыс и хомяков) существенно повышалась. К канцерогенным веществам отнесены также альфа- и бета-изомеры ГХЦГ. Кроме того, ДДТ и ГХЦГ причислены к носителям и предшественникам диоксинов – более опасным для человека веществам, вызывающим в клетке те же изменения, что и ионизирущее излучение. Персистентность и токсичность ДДТ составляет основу предлагаемой величины – экотокса, позволяющего проводить сравнение опасности загрязнения почв тем или иным пестицидом; при этом экотокс ДДТ принят за единицу [3].
Известно, что пестициды в наземных экосистемах в основном накапливаются в почве, куда они либо непосредственно помещаются (при допосадочном, довсходовом или послевсходовом внесении), либо поступают с протравленными семенами или с атмосферными осадками, поливной водой и т. п.
Большинство пестицидов участвует в почвообразовательном процессе: они сорбируются почвенным адсорбирующим комплексом, связываются с органическим веществом, перераспределяются по почвенному профилю, трансформируются и минерализуются под действием почвенных микроорганизмов и т. д. [4].
В ряде случаев появление пестицидов в почве приводит к положительным педогеохимическим аномалиям [5], которые характеризуются повышенным содержанием этих ксенобиотиков по сравнению с их фоновыми или предельно допустимыми концентрациями. Эти аномалии могут занимать различные по размеру участки и сохраняться в течение некоторого времени в зависимости от условий самоочищения почвы. По размерам территории следует уметь различать, например, региональные аномалии, характерные для природных зон в случае повсеместного применения пестицидов, и локальные аномалии, отражающие биогеохимические особенности в непосредственной близости от предприятия-производителя пестицидов или случайного выброса препаратов.
В связи с этим для успешного решения задач, связанных с рекультивацией почв, загрязненных пестицидами, требуется четкое представление об особенностях микробиологической трансформации и деградации пестицидов. Известно, что микробиологическая трансформация и деградация пестицидов обусловливают истинное самоочищение почв от этих ксенобиотиков, в результате чего образуются простые неорганические соединения (СО2, NH3, N2, Н2О, минеральные соли и др.), т. е. происходит биоремедиация почв, загрязненных пестицидами. Современные теории, законы и модели в основном касаются отдельных аспектов микробиологической трансформации и деградации пестицидов в почве.
Особое внимание было уделено исследованиям, касающимся так называемого концептуального биогеохимического моделирования. Такие модели представляют собой схематические, символические описания системы или подсистемы как совокупности: 1 – сфер, аккумулирующих ксенобиотик и характеризующихся соответствующей качественной информацией о поведении или биогеохимическом статусе ксенобиотика, 2 – потоков, которые переносят ксенобиотик из одной сферы в другую в процессе миграции, 3 – звеньев биогеохимической пищевой цепи. Считается, что концептуальные модели природных объектов и процессов представляют собой первый шаг к организации и интеграции эмпирического материала и позволяют сформировать представление об изучаемом объекте как о системе тесно связанных переменных. Кроме того, такие модели могут быть основой разработки и верификации математических моделей. Особо следует отметить необходимость понимания того факта, что эти ХОП уже включаются в природные биогеохимические циклы в первую очередь под воздействием микробов [6]. Важно определить факторы, связанные с микробной трансформацией пестицидов в почвах и природных водах в процессах их биогеохимического круговорота [7].
Цель работы – разработка приемов управления микробной трансформацией ХОП в различных агроэкосистемах.
МИКРОБНАЯ ТРАНСФОРМАЦИЯ ПЕСТИЦИДОВ
При рассмотрении проблемы микробной трансформации пестицидов прежде всего необходимо создание концептуальной модели данного биогеохимического процесса. Это может позволить реконструировать загрязнение почв и поверхностных вод ДДТ и ГХЦГ по данным их мониторинга в различных природно-экономических регионах. В целом микробиологическую трансформацию и деградацию пестицидов в почве, поступающих в эту среду различными путями, можно представить в виде концептуальной модели (рис. 1).
Рис. 1. Концептуальная модель управления микробиологической трансформацией пестицидов в почве.
Под превращением понимают структурную модификацию химического вещества и деградацию–образование продуктов трансформации, которые структурно проще исходного соединения из-за действия микроорганизмов. Трансформация и деградация большинства пестицидов в почвах тесно связаны с жизнедеятельностью микрофлоры. Поэтому важно рассматривать почву прежде всего как среду обитания микроорганизмов, чтобы вывести критерии оценки микробиологической трансформации и деградации пестицидов. Наблюдают также включение ХОП в биогеохимические циклы. В результате происходит самоочищение почвы от этих ксенобиотиков, приводящее в конечном итоге к образованию простых неорганических соединений. Взаимодействие микроорганизмов с пестицидами выражается, с одной стороны, в атаке микробных клеток на молекулы пестицидных соединений, а с другой стороны, во влиянии последних как физиологически активных соединений на клетки. Потенциал трансформации и деградации пестицидов под влиянием микроорганизмов в почве зависит от так называемого статуса пестицидного соединения, т. е. доступного или недоступного для микробных клеток.
Следует выделить 2 группы факторов, определяющих микробиологическую трансформацию и деградацию пестицидов в почве: естественные, обусловленные определенными почвенно-климатическими условиями, и антропогенные, связанные с особенностями применения пестицидов, а также сопутствующим влиянием других вносимых агрохимикатов. В связи с этим возникает проблема выбора между этими двумя группами возможно управляемых факторов для микробиологической реабилитации почв, загрязненных остатками пестицидов. Трансформация и деградация большинства пестицидов в почве тесно связаны с жизнедеятельностью микрофлоры, поэтому для выведения критериев этих процессов крайне важно рассматривать почву прежде всего как среду обитания.
Почва как среда обитания микроорганизмов. Почва является важнейшим звеном биогеохимического круговорота. Она представляет собой систему, в которой развитая твердая фаза сосуществует с жидкой и газообразной фазами. Важнейшее значение имеет также и наличие живой фазы почвы, биоты в разных ее проявлениях, и прежде всего в виде микробиоты. Твердые частицы и агрегаты делят почву на многочисленные микрозоны. Из-за микроскопических размеров микробных клеток (от долей микрона до десятков микрон) они населяют микроокружение, исчисляемое сотнями и тысячами на 1 г почвы. Рассмотрена модель структурного грунта (горизонта Aj), свободного от живых растений и беспозвоночных, и состоящего из агрегатов, органического вещества, водных пленок, внутри- и межагрегатных пор и микроорганизмов (рис. 2).
Рис. 2. Схема взаимодействия микроорганизмов и пестицидов в почве: С – свободные клетки в почвенном растворе; К – колонии, пленки, группы микроорганизмов на поверхности почвенных частиц; И – микроорганизмы, иммобилизованные в органоминеральных гелях и структурных элементах почвы; I – пестициды (частицы, капли, пленки); II – пестициды в растворе; III – физически связанные пестициды; IV – пестициды в межпакетном пространстве глинных минералов; IV – химически связанные пестициды.
Микробы существуют на поверхности почвенных агрегатов и в межагрегатном пространстве. Развитие микроорганизмов на поверхности агрегата возможно: 1 – в почвенном растворе, 2 – в пленочной воде с микробами, свободно плавающими или адсорбированными на поверхности твердых частиц, и 3 – в капиллярах разного радиуса с клеточным статусом, сходным таковым в пленочной воде. Микроорганизмы могут развиваться и в микроскоплениях органического вещества. Внутри агрегатов микробы могут располагаться в более тонких пленках и капиллярах. В целом подвижность микроорганизмов в почве низкая, поэтому считается, что миграция с водными потоками по каналам, образованным корнями растений или почвенной фауной, является основным механизмом перемещения микробов в верхнем слое почвы [8].
Особенности микробиологической рансформации и деградации пестицидов. Пестициды подвергаются разложению в почве под действием химических факторов (гидролиза и окисления), различных микроорганизмов (бактерий, грибов и актиномицетов) и фауны, что в конечном итоге приводит к образованию простых неорганических соединений.
Принято рассматривать трансформацию и деградацию пестицидов под действием микроорганизмов вместе с метаболизмом природных веществ (органических остатков), происходящим различными путями: при полной минерализации, микробном синтезе и гумификации.
В то же время не исключена относительно быстрая деградация некоторых пестицидов до их конечных продуктов. Однако это справедливо для простейших пестицидов, которые структурно схожи с природными веществами. Результаты балансового эксперимента представили доказательства того, что микроорганизмы могут быть основной причиной исчезновения некоторых пестицидов из почвы. Установлено, что до 80–85% общего остаточного пропанила (в качестве исходного гербицида и его метаболита 3,4-дихлоранилина) в почве метаболизировалось микроорганизмами и почвенными ферментами в период вегетации культур при умеренном солнечном облучении, около 5% загрязняющих веществ были прочно зафиксированы почвенными коллоидами. Было обнаружено, что неферментативный гидролиз и окисление не имеют большого значения для исчезновения изученных ксенобиотиков.
Однако еще в 1970-х гг. Головлева и Головлев выдвинули гипотезу о том, что большинство микроорганизмов способно только трансформировать молекулы пестицидов, а экологическая деградация пестицидов происходит под синергетическим действием многочисленных организмов и абиотических факторов. Трансформация большинства пестицидов сопровождается накоплением медленно разлагающихся метаболитов. Причина стойкости пестицидов в почве, как правило, заключается в отсутствии условий, благоприятных для микробной деградации. Важнейшими из них являются следующие: доступность пестицидов для микробных ферментов, что зависит от сорбции ксенобиотиков частицами почвы и коллоидами, наличие органических соединений, способных служить энергетическими субстратами для микрофлоры, влагосодержание, аэрация, температура, рН почвы и т. п. Микробиологическое разложение ксенобиотика в почве, как правило, зависит от индукции соответствующей ферментативной системы в потенциально активных микроорганизмах. Адаптированная таким образом микробная популяция размножается на новом источнике углерода и постепенно разлагает молекулу ксенобиотика до CО2, H2О и других простых соединений. Другой механизм микробной трансформации или деградации некоторых ксенобиотиков включает трансформацию других, более легкодоступных субстратов (ко-субстратов) таким образом, чтобы их метаболизм стимулировал разложение ксенобиотиков. Это явление называется ко-окислением, или совместным метаболизмом [9].
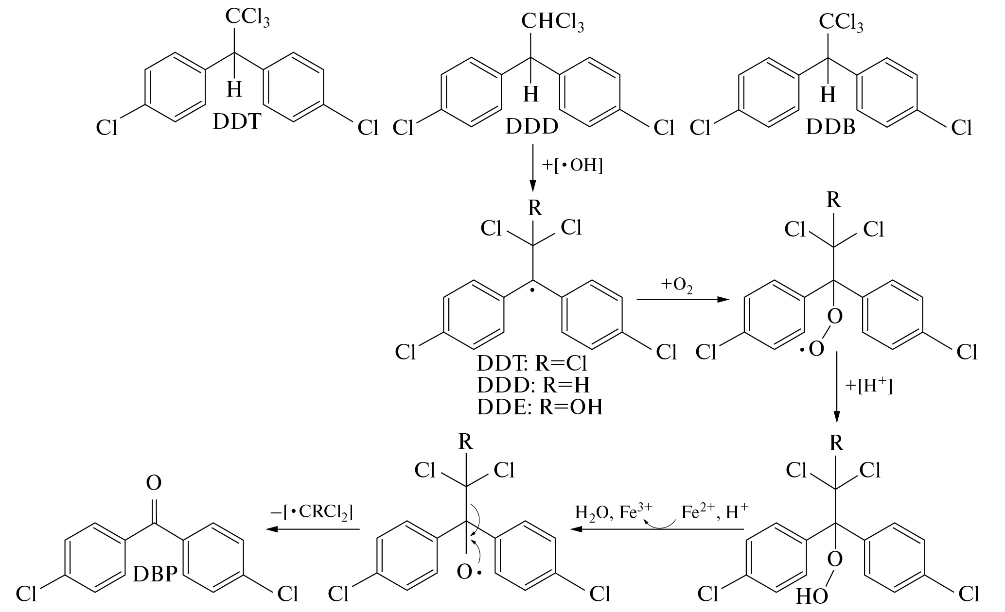
В случае ДДТ его трансформация может быть представлена следующей схемой (рис. 3).
Рис. 3. Трансформация DDT (R = Cl), DDD (R = H) или DDE (R = OH) в DBP в реакции Фентона [10].
Важным является и видовая спецификация микроорганизмов. Сообщали [11–15], что Daedalea dickinsii, один из видов гриба бурой гнили (BRF), обладает способностью разлагать ДДТ с помощью реакции Фентона. D. dickinsii может разлагать ДДТ примерно на 47% в картофельном бульоне с декстрозой (PDB) после 14-суточного инкубационного периода. Однако степень разложения ДДТ D. dickinsii по-прежнему невелика и требует длительного времени инкубации. Следовательно, процесс необходимо усовершенствовать путем модификации культуры таким образом, чтобы повысить способность D. dickinsii разлагать ДДТ. Были разработаны модифицированные методы усиления биоремедиации. Смешанные культуры грибов и бактерий обладают наибольшим потенциалом из-за их способности разлагать сложную смесь органических загрязнителей в загрязненных агроэкосистемах. В некоторых исследованиях биоремедиации с использованием смешанных культур грибов и бактерий сообщали, что добавление бактерий может увеличить способность грибов к разложению. Например, добавление бактерий, продуцирующих биосурфактанты, таких как Bacillus subtilis и синегнойной палочки, усиливало биодеградацию ДДТ за счет Pleurotus ostreatus. Кроме того, добавление B. subtilis также усиливало разложение ДДТ Phlebia brevispora. Внесение B. subtilis ускоряло биодеградацию ДДТ грибом бурой гнили Fomitopsis pinicola [14].
Удаление различных органических поллютантов, включая ароматические соединения, из почвы может быть увеличено с 20 до 73% путем добавления Ralstonia picketii и P. aeruginosa к Penicillium sp. при культивировании в качестве со-культур. Известно также, что R. pickettii обладает способностью к восстановлению некоторых органических загрязнителей, таких как хлорбензол, нефть и BTEX23-26 [16, 17].
Кроме того, R. pickettii также обладает способностью продуцировать биосурфактант [18]. Биосурфактанты могут повышать растворимость ДДТ и оптимизировать процесс его разложения. При исследовании влияния R. pickettii на биодеградацию ДДТ D. dickinsii показано, что добавление 10 мл R. pickettii к культуре D. dickinsii привело к наибольшему разложению ДДТ – ≈68.6%. Этот результат был больше, чем при разложении ДДТ только D. dickinsii (≈53.6%), а при добавлении 10 мл R. pickettii – только на 19.8% [21].
Оценивая различные ассоциации почвенных микроорганизмов, способных к биоразложению ХОП, важно знать и наличие таких микроорганизмов в почвах, в которые не вносили в предыдущем эти препараты. Соответственно, была изучена возможность биодеградации ДДТ почвенными микроорганизмами путем обогащения и выделения биоразлагающих ДДТ микроорганизмов из почв без предшествующего внесения ДДТ. Микроорганизмы из культивируемых и невозделываемых почв росли в среде с минимальным содержанием ДДТ (100 частей на миллион) в качестве единственного источника углерода. Шесть бактерий, закодированных как изоляты 101, 102, 103, 104, 105 и 110, разлагали ДДТ до l,l-дихлор-2,2-бис (п-хлорфенил)этана (ДДД). Ни один из изолятов не разлагал ДДТ до l,l-дихлор-2,2-бис(п-хлорфенил)этилена (ДДЭ). Деградация при смешанной культуре 6-ти изолятов была выше (82.6%), чем у любого отдельного изолята, диапазон которого составлял 28.5–58.1%. Идентичность изолятов была определена с помощью биохимических, морфологических, физиологических и молекулярных методов. Изолят 101 принадлежал к роду Bacillus, изоляты 102 и 110 принадлежали к роду Staphylococcus, в то время как изоляты 103, 104 и 105 группировались с представителями рода Stenotrophomonas. Это исследование показало, что в почве имеются микроорганизмы, способные разлагать ДДТ, и что скорость разложения зависит от присутствия и количества микробов в почве с требуемой способностью к разложению, факторов окружающей среды и доступа микробов к ДДТ [19].
Изучены механизмы микробной трансформации ДДТ функциональными бактериями в 2-х разных почвах Китая: Haiyan (HY) and Chenghai (CH). Показали, что микробиологическая деятельность оказала устойчивое дехлорирующее воздействие на ДДТ и его метаболиты (ДДх). Добавление лактата или глюкозы в качестве источников углерода увеличивало количество бактерий Desulfuromonas, Sedimentibacter и Clostridium, что приводило к увеличению адсорбированного Fe(II) и скорости трансформации ДДТ. Происходило увеличение отрицательного потенциала почвы за счет переноса электронов от бактерий к ДДТ. Более того, бактерий, разлагающих ДДТ, в почве CH было больше, чем в почве HY, что привело к более высокой трансформации ДДТ. Наиболее стабильным соединением DDx оказался 1,1-дихлор-2,2-бис(n-хлорфенил)этан, который также является основным метаболитом дехлорирования ДДТ, а также 1-хлор-2,2-бис-(n-хлорфенил)этан и 4,4'-дихлорбензофенон. Установлено, что они являются конечными метаболитами в анаэробных почвах [20].
ФАКТОРЫ МИКРОБИОЛОГИЧЕСКОЙ ТРАНСФОРМАЦИИ И ДЕГРАДАЦИИ ПЕСТИЦИДОВ
Самоочищение почвы от пестицидов, в том числе их микробиологическая трансформация и деградация, определяются следующими факторами:
— физико-химическими параметрами пестицида (молекулярной массой, растворимостью в воде, летучестью и др.);
— пестицидной нагрузкой (частотой обработки и нормой внесения);
— климатическими условиями (средней температурой воздуха, общим количеством осадков и т. п.);
— почвенными и другими параметрами (содержанием гумуса, величиной рН, текстурой, содержанием соединений фосфора и азота, составом микрофлоры, типом покровной культуры, типом пестицида в почве, средней температурой почвы, влажностью почвы и др.).
Биологическая трансформация и деградация пестицида в почве зависят от его химического состава, физико-химической формы, концентрации, заселенности активной почвенной биотой, активности специфических почвенных ферментов, химических параметров почвы и других факторов среды. Хотя биологические превращения пестицидов обычно связывают только с функционированием почвенной микрофлоры, простейшие (микрофауна) и почвенные беспозвоночные (мезофауна) также могут играть важную роль, по крайней мере для некоторых соединений. Вклад почвенных экзоферментов в эти процессы еще требует изучения.
Оценка дегидрогеназной активности почвы при взаимодействии пестицидов с микроорганизмами. Взаимодействие пестицидов с почвенными микроорганизмами происходит в 2-х основных процессах токсического действия данных ксенобиотиков как физиологически активных соединений на микрофлору и их микробиологической трансформации, что в целом проявляется через изменение дегидрогеназной активности почвы.
Токсическое действие пестицидов на микрофлору заключается в нарушении механизма синтеза ее ферментов, замедлении и остановке метаболизма, задержке роста и развития, что приводит к дезорганизации клеток и их гибели. Кроме того, пестициды при попадании в почву могут блокировать ферменты путем образования комплекса “пестицид–фермент” и выводить их из реакции с субстратом, нарушая тем самым определенные биохимические процессы. Последующее восстановление ферментативной активности почвы происходит за счет жизнедеятельности микроорганизмов, устойчивых к использованным дозам пестицидов. Для 2-го процесса характерны трансформация пестицида при использовании его микроорганизмами в качестве источника углерода и (или) азота, а также превращение ксенобиотика, связанное со стимулирующим влиянием метаболизма более доступных субстратов (ко-субстратов). При этом важное значение имеет наличие условий, способствующих микробиологической трансформации пестицидов, а именно их доступность ферментам микроорганизмов, которая определяется степенью сорбции ксенобиотиков почвенными частицами и коллоидами, наличие ко-субстратов, а также влажность почвы, ее аэрация, температура и pH.
Адекватным отражением описанного функционального состояния микрофлоры при загрязнении почвы пестицидами может стать ее дегидрогеназная активность, которая на 95% обусловлена ферментами живой микрофлоры, что подтверждено, например, тем фактом, что почва, подверженная действию стерилизующей гамма-радиации, практически теряла способность к образованию этого фермента.
Результаты экспериментов, проведенных с образцами выщелоченного чернозема, обработанными гербицидами линуроном и прометрином, а также инсектицидом ГХЦГ в дозах 5–50 мг/кг, показали, что относительно более растворимый в воде и одновременно более стойкий линурон осказывал более продолжительное ингибирование дегидрогеназной активности – до 6.2 мес. по сравнению с менее растворимыми и стойкими прометрином и ГХЦГ – до 3.7–5.5 мес. Это могло указывать на выраженную во времени перестройку метаболизма микробных клеток в зависимости от токсичности ксенобиотиков. Следует также отметить, что если депрессия какого-либо функционального состояния микрофлоры под действием пестицида, характеризуемая в данном случае снижением ее дегидрогеназной активности, будет продолжаться свыше 2-х мес., то влияние ксенобиотика оценивается как критическое.
В лабораторных условиях при испытании действия гербицида хлорсульфурона в концентрации 0.009 мг/кг, соответствующей рекомендуемой для применения в сельскохозяйственной практике дозе и увеличенной в 10 раз, на дегидрогеназную активность 3-х различных типов почв показано, наибольшее и продолжительное (60 сут) ингибирующее влияние гербицид при обеих дозах оказывал на ферментативную активность иллювиально-луговой почвы (гумус – 0.9%, рНН2О 6.0 ед.), чем на активность серой лесной почвы (гумус – 2.2%, рНН2О 6.2 ед.) и особенно выщелоченного чернозема(гумус – 2.6%, рНН2О 7.9 ед.). Дегидрогеназная активность аллювиально-луговой почвы составляла в период наблюдения 7–60 сут всего 57–69 и ~29–65% от контроля соответственно при минимальной и максимальной дозах хлорсульфурона. Такой ингибирующий эффект гербицида объясняется относительно низкой его сорбцией при внесении данных доз и поэтому большей возможностью взаимодействия ксенобиотика с микроорганизмами, обусловливающих дегидрогеназную активность.
Анализ динамики содержания гербицида монолинурона (Со = 50 мг/кг) и его основного метаболита – 4-хлоранилина (Со = 50 мг/кг) в серой лесной почве (Московская обл.) и ее дегидрогеназной активности показал снижение этих показателей со временем. Это значит, что по мере утилизации ксенобиотиков микробными клетками и накопления метаболитов скорость роста микроорганизмов тормозилась – культура вступала в фазу замедления роста и поэтому снижалась дегидрогеназная активность почвы. Аналогичная зависимость между рассматриваемыми показателями была получена в ряде опытов с выщелоченным черноземом и ГХЦГ (Со = 5 мг/кг), лугово-аллювиальной почвой и 2,4-Д при концентрациях 50 и 100 мг/кг, а также с серой лесной почвой и 4-хлоранилином (Со = 100 мг/кг) при 30 и 45°C.
Дегидрогеназная активность почвы является четким отражением взаимодействия пестицидов с микроорганизмами, что выражается в ее адекватной реакции на токсическое действие ксенобиотиков на микрофлору и на их микробиологическую трансформацию. Дегидрогеназная активность почвы проявляет высокую чувствительность к относительно более растворимым в воде и одновременно более стойким пестицидным соединениям, зависит от их концентрации, температуры почвы, коррелирует с убылью содержания пестицидов в пределах биологического оптимума их трансформации. Данный биохимический показатель предлагают использовать при экологической оценке внедряемых в сельское хозяйство новых средств химической защиты растений.
В качестве другого примера оценки активности микроорганизмов при мониторинге состояния ХОП в почвах является использование микрофототрофов, с помощью которых определяют сравнительную чувствительность различных видов к действию пестицидов [21] и, наоборот, сравнительную токсичность различных пестицидов. Например, использование альгологически чистой культуры цианобактерий (ЦБ) Nostoc muscorum для тестирования почвенной вытяжки позволило выстроить ряд токсичности пестицидов старого и нового поколений, имеющего вид по мере нарастания токсичности: ДДТ > гексахлорбензол = круйзер > симазин = дивидендстар > гербитокс = пивот. В последнем случае использование ЦБ как тест-организмов опирается на методику определения жизнеспособности клеток по их дегидрогеназной активности с использованием 2,3,5-трифенилтетразолий хлорида (ТТХ). ТТХ, акцептируя мобилизованный дегидрогеназой водород, превращается в 2,3,5-трифенилформазан, имеющий красную или малиновую окраску, образуя кристаллы в живых клетках [22].
Данный метод оказался универсальным для определения степени токсичности различных поллютантов, включая и пестициды. Используя несколько штаммов ЦБ рода Nostoc, определили уровень токсичности почвы при ее хроническом загрязнении пестицидами (в районе полигона их захоронения), а также в серии модельных опытов с использованием пестицидов, применяемых в современном сельском хозяйстве [23]. Одновременные опыты с открытой наземной модельной экосистемой и в полевых исследованиях, проведенные в различных европейских странах – Германии, Нидерландах, Великобритании и Португалии, показали, что по величине индуцированного субстратного дыхания, дегидрогеназной и фосфатазной активности, а также по включению тимидина в микробные клетки, т. е. при проведении кольцевого тестирования, можно установить уровень влияния пестицидов, вычленяя опасные дозы [24]. В научной литературе приведены многочисленные примеры трансформации различных пестицидов под действием микроорганизмов в определенных условиях и определенных почвах. Например, хлор- органические препараты (ДДТ) под действием микрофлоры подвергаются глубокому разложению с расщеплением ароматических колец. Однако эффективность самоочищения окружающей среды от ДДТ не всегда достаточна вследствие малочисленности популяций разлагающих его микроорганизмов. Другое хлорорганическое соединение – гамма-изомер ГХЦГ – в клетках микроорганизмов метаболизируется в конечном итоге до фенолов, которые затем подвергаются разрушению с полной деструкцией молекулы. Факторами, влияющими на деградацию такого пестицида, как 2.4-Д, являются композиционный состав и количество микроорганизмов в почве, зависящие от глубины слоя, а также температура, которая определяет скорость роста микроорганизмов. При этом показано, что скорость деградации 2.4-Д и количество бактерий в почве в зависимости от глубины слоя коррелируют с изменением количества в почве органического углерода [25–27].
Влияние физико-химических факторов. Факторы и параметры, влияющие на биологическую трансформацию и деградацию пестицидов в обрабатываемой почве, можно подразделить на первичные (температура почвы, влажность и водорастворимое органическое вещество) и вторичные (аэрация почвы и связанный с ней окислительно-восстановительный потенциал, величина рН, текстура и минералогический состав дерна, особенности культур, органические удобрения, агротехника). Можно определить содержание влаги в почве, аэрацию, окислительно-восстановительный потенциал, pH, питательные вещества (энергетический субстрат) и температуру как “шесть волшебных факторов”, контролирующих биодеградацию ксенобиотиков in situ.
Наиболее полную картину совокупного влияния факторов окружающей среды на биологическую трансформацию и деградацию пестицидов можно получить из экограмм. На рис. 4 представлена экограмма деградации 3,4-дихлоранилина (метаболита некоторых фениламидных гербицидов) в дерново-бледно-подзолистой почве (Беларусь) при нормальных температурах и влажности. Показано ранжирование этих факторов, когда из почвы исчезло 50 и 95% ксенобиотика.
Рис. 4. Экограммы трансформации и деградации 3,4-дихлоранилина (Со = 50 мг/кг) в дерново-подзолистой почве (Беларусь). Т50 и Т95 являются периодами трансформации и деградации ксенобиотиков на 50 и 95% соответственно. ТМС – суммарная влагоемкость.
Оптимальная площадь, соответствующая наиболее быстрой деградации ксенобиотика, со временем уменьшается, что может быть связано с дальнейшим функционированием деструктивных микроорганизмов в более узком диапазоне температур и влажности почвы. Известно, что уровень влажности почвы определяет не только оптимальные условия для развития микроорганизмов, но и воздушный режим почвы. Доля связанных пестицидов всегда уменьшается с увеличением влажности почвы, а для большинства соединений – с повышением ее температуры.
Взаимодействие микроорганизмов и пестицидов. Современные пестициды, как правило, представляют собой органические соединения, мало растворимые в воде. Соответственно химические средства защиты растений используют в виде эмульгируемых концентратов, смачиваемых порошков, дуста, гранул и капсул. Размер частиц препарата в почве варьируется от нескольких микрон до нескольких миллиметров. В настоящее время можно считать доказанным, что распределение пестицидов в почве имеет дискретный характер при любом способе применения. Уже были представлены обобщенные схемы, отражающие формирование микрофлоры в почве, обработанной пестицидами [28]. Различают 2 основных типа микробного распределения вокруг частиц пестицида. Первый тип характерен для пестицидов с широким спектром токсичности. В этом случае вокруг частиц пестицида образуется стерильная зона, и на некотором расстоянии от них начинается развитие микроорганизмов. Стерильная зона со временем уменьшается, и микроорганизмы проникают внутрь. Это связано с микробной адаптацией микробов и снижением концентрации пестицидов из-за диспергирования, сорбции и разложения. Второй тип микробного распределения характерен для пестицидов с узким селективным действием. В этом случае вокруг частиц пестицидов отсутствуют стерильные зоны, а последние оказываются окружены микроколониями и пленками микроорганизмов. По мере накопления микробной массы происходит трансформация и деградация вещества. Считается, что превращение этих пестицидов в почве в водорастворимые продукты опосредовано микробными экзоферментами.
Также предложена модель распределения микроорганизмов и их действия на пестициды в почве, включающая 3 формы микробного распределения:
— свободные клетки в почвенном растворе;
— колонии, пленки и группы микроорганизмов на поверхности частиц почвы;
— микроорганизмы, иммобилизованные в органо-минеральных гелях и структурных элементах почвы.
Пестициды в то же время существуют в почве в 5-ти формах: в виде частиц, капель и пленок, в виде растворенных форм, как физически связанные системы, как формы в межрешеточном пространстве глинистых минералов и как химически связанные системы.
Предполагают, что микроорганизмы в любой форме распространения способны атаковать как пестициды в почвенном растворе, так и их химически связанные формы. Микроорганизмы, локализующиеся на поверхности частиц почвы, действуют как на пестицидные препараты, так и на их физически связанные формы. В последнем случае также задействованы обездвиженные микроорганизмы. Предполагают, что аналогичные механизмы деградации пестицидов существуют как в почвенном растворе, так и в жидкой микробной культуре. Деградация сорбированных пестицидов зависит от скорости их десорбции в почвенный раствор, физико-химических свойств препарата, минералогического состава почвы, содержания гумуса. Пестициды, вклинивающиеся в межрешеточное пространство глинистых минералов, практически недоступны для микроорганизмов.
О важности распределения бактерий в почве для биодеградации ксенобиотиков можно судить, используя различные модели, например [28]. Два упрощенных сценария (с отдельными микробными клетками, равномерно распределенными по всему почвенному телу, и одинаковым количеством клеток, объединенных в колонии, 1000 клеток на колонию) показали, что частота столкновений (ударов) молекулы ксенобиотика с почвенными микробами является функцией распределения клеток.
Cчитается, что многие бактерии, участвующие в разложении ксенобиотиков, демонстрируют положительный хемотаксис (т. е. они движутся в сторону более высокой концентрации разлагаемого соединения). Существует и негативный хемотаксис, при котором мицеллярные формы микроорганизмов (гифы грибов и актиномицетов) “обходят” частицы различных пестицидов. Возможно, последний случай более распространен и играет более важную роль во взаимодействии этих микроорганизмов с пестицидами.
Еще в конце 20-го века была представлена модель [29], в которой описан ксенобиотик, распределенный между твердой, жидкой и газообразной фазами и микроорганизмами в почвенном растворе или адсорбированный на частицах почвы. Эта модель показала свою работоспособность. Она определяет сложное взаимодействие между микробами и ксенобиотиком. Концентрации ксенобиотика в системах твердая фаза–почвенный раствор и почвенный раствор–почвенный воздух находятся в динамическом равновесии. Предположили, что доля микробиологической деградации ксенобиотика определяется его растворением или степенью его улетучивания. Ксенобиотик в почве не только сорбируется в твердой фазе или растворяется в жидкой фазе, но и связан с органическим веществом, главным образом с гуминовыми веществами в поровом растворе. Считается, что биологическая доступность и, следовательно, микробиологическая трансформация ксенобиотика являются функциями его концентрации в жидкой фазе почвы, поскольку только растворенные молекулы ксенобиотиков могут легко проходить через биологические мембраны. Биологическая доступность ксенобиотика значительно снижается из-за его сорбции твердой фазой почвы. Аналогичное предположение использовано и в другой гипотезе [30], согласно которой как биологическая доступность пестицидов в почве, так и их токсическое действие на организмы определяются только концентрацией пестицидов в поровом растворе. Доступное содержание пестицидов в жидкой фазе почвы может быть охарактеризовано с помощью коэффициента распределения в системе почва–вода, рассчитанного для долевого (%) содержания органического вещества в определенном типе почвы. Исходя из этого, пестициды группируются по их доступности в 14 классов. Пестициды, концентрация которых в поровом растворе составляет >75% от их общего содержания в почве, относятся к 1-му классу; соединения, концентрация которых в поровом растворе <0.01%, причисляют к пестицидам 14-го класса.
Механизм деградации (гидролиза) некоторых гербицидов включает в себя следующие компоненты: продукты деградации ксенобиотика, вещество на почвенном поглотителе и вещество в почвенном растворе, последние два находятся в динамическом равновесии. Гидролиз снижает концентрацию гербицидов в почвенном растворе, что приводит к десорб- ции вещества из почвенного поглотителя. Данная модель может быть применена к соединениям, легко разлагаемым обычной почвенной микрофлорой или при наличии признаков деградации отдельного ксенобиотика специфической микрофлорой. Эта модель хорошо согласуется с результатами эксперимента, проведенного с легко разлагающимся гербицидом 2,4-Д. Установлено, что при повторном извлечении почвенного раствора (центрифугированием) из одних и тех же образцов (после предварительного увлажнения почвы водой до 70% ППВ – суммарной влагоемкости) выделялось дополнительное количество ксенобиотика. Эта часть гербицида была классифицирована как “резервная”, или обратимо сорбированная, форма, которая постепенно просачивалась в жидкую фазу почвы по мере разложения ранее извлеченного 2,4-Д. Применение высокоскоростного центрифугирования (>16 000 об./мин) значительно сократило время, необходимое для естественной десорбции вещества из почвенного поглотителя.
Соответственно трансформация и деградация пестицидов в почве может быть представлена в виде 4-фазной системы (рис. 5).
Рис. 5. Трансформация и деградация пестицида в почве: DP – растворенный пестицид, IP – обездвиженный пестицид, PM – метаболит пестицидов, DPM – растворенный метаболит пестицидов. IPM представляет собой иммобилизованный метаболит пестицидов, DPM – растворенный конечный метаболит пестицидов, IPM – иммобилизованный конечный метаболит пестицидов, SA – почвенный воздух, ESA находится в ловушке почвенного воздуха.
Относительно нелетучие пестициды могут существовать в почве до полного исчезновения в следующих формах: в твердой фазе в виде пестицидов, иммобилизованных частицами почвы, в жидкой фазе почвы, не связанной с ее органоминеральными коллоидами. Ксенобиотик в капиллярной влаге наиболее доступен для микробов, поскольку микробы в почвах, илах и грунтах развиваются в капиллярах, заполненных водным раствором. Пестициды и продукты их превращения, сорбированные твердой фазой, не подвергаются действию почвенных микроорганизмов и экзоферментов до их перехода в почвенный раствор при нарушении сорбционно-десорбционного равновесия. Поэтому, чем больше поглощение пестицида почвой, тем меньше степень его деградации (при прочих равных условиях). Биологическая трансформация и разложение пестицида происходят в почве только тогда, когда пестицид не оказывает ни угнетающего, ни нарушающего действия на деятельность почвенной биоты. Скорость разложения пестицидов может оставаться стабильной, уменьшаться или увеличиваться с их концентрацией.
Состояние пестицидов в почве и потенциал их деградации. Когда мало растворимые пестициды попадают в почву в виде дуста или эмульсий, истинное равновесие не обязательно устанавливается, поскольку скорость сорбции пестицида определяется его очень медленным растворением в почвенной воде, а не самим процессом сорбции. Однако некоторые составы (например, инсектицид ГХГ) могут существовать в нескольких формах одновременно в течение длительного времени после применения: в свободном виде, сорбированном на частицах почвы, в почвенном растворе и в газообразной фазе из-за улетучивания.
Представлены гипотетические формы и процессы инактивации симазина в почве, в том числе: 1 – исходное состояние соединения при применении в виде мелкокристаллической суспензии в воде, 2 – “легкоэкстрагируемое” состояние, т. е. растворенный и физически сорбированный гербицид, и 3 – “трудноизвлекаемый” гербицид, входящий в состав гумуса и неразложившихся растительных остатков. Первые 2 группы называются слабосвязанными формами, а 3-я группа – сильносвязанными формами. Гербицид переходит из мелкокристаллической водной суспензии в легко извлекаемую форму путем разведения и физической сорбции и в прочносвязанную форму путем химической сорбции. Сильно связанная форма становится легко извлекаемой формой путем десорбции. Комплексная дифференциация некоторых форм неионогенных пестицидов и их метаболитов в почве может быть представлена в следующем виде:
— неабсорбированный пестицид в почвенном растворе;
— обратимо сорбированный пестицид, подразделяемый на слабо-, умеренно- и сильносорбированные формы (за счет физической и физико-химической адсорбции);
— фиксированные или иммобилизованные (хемосорбцией) пестициды, подразделяемые на гидролизуемые и негидролизуемые формы.
Соответственно для таких ХОП, как, например, хлорсульфурон, можно выделить следующие состояния: 1 – ксенобиотик в почвенном растворе находится в динамическом равновесии с 2 – обратимо сорбированным ксенобиотиком, превращающимся в 3 – необратимо сорбированный гербицид и продукты 4 – микробиологического и 5 – химического разложения. Последние препараты также характерны для обратимо сорбируемой формы гербицида. При этом микробиологическому разложению подвергается только хлорсульфурон в почвенном растворе, причем химическому гидролизу подвергаются как растворенные, так и обратимо сорбируемые формы гербицидов.
Установлено, что большая доля (обычно 20–70%) пестицидов, используемых в сельском хозяйстве, задерживается в почве в виде стойких связанных остатков. Следовые количества адсорбированных пестицидов и их метаболитов существуют в равновесии с почвенным раствором и разлагаются химически или под действием микроорганизмов, а связанный остаток способен медленно разлагаться. Хотя многие пестициды подвергаются разложению при попадании в почвенный раствор, некоторые адсорбированные соединения также могут подвергаться атаке микроорганизмов или химическому разложению. Деградация несорбированных гербицидов происходит преимущественно в почвенном растворе, но это не исключает возможной деградации ксенобиотика, фиксированного почвой. Химическая и биологическая деструкция сорбированных молекул пестицидов может происходить в почвах разных типов с различными физико-химическими свойствами и специфическими микробоценозами, факторами окружающей среды и т. п. Тем не менее, влияние адсорбционных характеристик ксенобиотика в почве на скорость его разложения трудно предсказать. Например, сильно адсорбированное соединение может удерживаться поверхностью почвы, и поверхностная реакция может привести к увеличению скорости деградации или, наоборот, может привести к переходу соединения в форму, недоступную для других процессов разложения (например, для деградации с участием почвенной микробной популяции).
С одной стороны, адсорбция почвы может снизить доступность пестицидов для микробов, но, с другой стороны, концентрация микроорганизмов на поверхности больше, чем в поровом растворе, что может способствовать разложению пестицидов. Однако химические и микробиологические механизмы разложения трудно различить, когда разложение происходит медленно. Тем не менее, когда разложение пестицидов в значительной степени вызвано микроорганизмами, существует лаг-фаза, когда микроорганизмы размножаются, за которой следует быстрое разложение. Например, микробиологическая природа ксенобиотических превращений в поч- вах Кубанской низменности становится очевидной по результатам наших опытов с гербицидом 2,4-Д. Графическое представление этих данных позволило четко выделить лаг-периоды, варьирующиеся от 2-х до более чем 6-ти сут, и стадии быстрого исчезновения, варьирующиеся от 2-х до более чем 4-х сут.
Влияние агрохимической практики на состояние микробоценоза. Изменения в почвенном микробиоме могут служить индикатором воздействия различных агротехник на качество почвы. В сельском хозяйстве широко используют неорганические удобрения и пестициды, что может приводить к изменению рН почвы и ее деградации. Однако данные о влиянии этих веществ на микробное сообщество почвы на сегодняшний день противоречивы [31–33]. Установлено [34], что чувствительными к внесению удобрений и пестицидов филумами являлись Gemmatimonadetes и Chlorobi. С помощью критерия Краскела– Уоллиса были выявлены статистически значимые различия в их относительной численности между почвами с различной обработкой (Gemmatimonadetes: χ2 = 8.381, p = 0.035; Chlorobi: χ2 = 8.360, p = 0.039). На относительную численность филумов Actinobacteria (p = 0.018), FBP (p = 0.041), OD1 (p = 0.003), OP11 (p = 0.040) и SR1 (p = 0.032) больше влияло возделывание растений. Например, время отбора проб было статистически значимым фактором, влияющим на численность этих таксонов. В процессе роста культур относительное обилие Actinobacteria увеличивалось (с 26.0 до 28.2%), FBP (с 0.25 до 0.16%), OD1 (с 1.08 до 0.34%), OP11 (с 0.05 до 0.02%)) и SR1 (с 0.004 до 0.0%) уменьшилось. Существенных различий между культурами на уровне типов не наблюдали, за исключением ТМ7 (p = 0.031), относительное обилие которого было больше в почвах под горохом (0.81%), чем под нутом (0.58%). Статистически значимых различий в α-разнообразии микробных сообществ в зависимости от условий эксперимента не обнаружено [35].
Следует также учитывать кумулятивный эффект совместного применения удобрений и пестицидов и на здоровье человека как конечного консумента биогеохимической пищевой цепи [36]. Об этом свидетельствуют по-прежнему многочисленные данные о накоплении этих ксенобиотиков в организме человека как конечного консумента, в частности в грудном молоке [37, 38].
ЗАКЛЮЧЕНИЕ
Главнейшей особенностью почвенных микроорганизмов является их способность доводить разложение природных органических соединений до полной минерализации. В природе не существует органического соединения, идет ли речь о мономерах или полимерах, которые не разлагались бы гетеротрофными (хемоорганотрофными) микроорганизмами до углекислоты и воды. Однако в последние десятилетия в окружающую среду непрерывно поступают синтетические органические соединения, включая пестициды, с которыми микроорганизмы никогда ранее не сталкивались. Поэтому негативные последствия применения современных пестицидов определяются тем, в какой мере и как долго они сами или их основные метаболиты сохраняются в элементах ландшафта. Более того, современные представления о включенности хлорорганических пестицидов (ХОП) в биогеохимический круговорот различных элементов и даже соединений свидетельствуют об усилении данных процессов.
Как правило, процесс минерализации природных и ксенобиотических органических соединений и включения в биогеохимический круговорот осуществляется за счет их биохимических (микробиологических) превращений. В наибольшей степени эти процессы присущи прокариотным почвенным микроорганизмам. Однако бактерии реализуют лишь те процессы, которые запрограммированы у них генетически. И в природных условиях, и в эксперименте необходима взаимосвязанная триада для того, чтобы имели место микробиологическая деструкция и (или) минерализация пестицида: во-первых, в микробном почвенном ценозе должны присутствовать соответствующие микроорганизмы-деструкторы; во-вторых, в ответ на присутствие в среде субстрата-ксенобиотика эти микроорганизмы должны продуцировать специфические (индуцибельные) ферменты биодеградации; в-третьих, экологические условия для жизнедеятельности микробов-деструкторов должны быть по возможности близкими к оптимальным, чтобы скорость ферментативных реакций была значительной.
Бактерии-деструкторы содержат окислительные ферменты биодеградации – монооксигеназы и диоксигеназы, которые вместе с соответствующими кофакторами (Cu, Mn, Fe и др.) способны окислять, например, различные галоидзамещенные бензола. При этом, как правило, к кольцу присоединяются две гидроксильные группы (в орто- или пара-положении). И лишь после этого под действием соответствующей галогеназы происходит отщепление галоида и образование промежуточных ароматических соединений с двойной углеродной связью. Лишь в некоторых случаях атом галоида удаляется из ароматического кольца до расщепления последнего. Для всех отмеченных процессов необходимы аэробные условия, однако биохимическое дегалогенирование может происходить и в анаэробных условиях. В последнем случае у арил- и алкенгалоидзамещенных соединений галоген замещается водородом. Поскольку существуют природные галоидорганические соединения, становится понятным, почему почвенные микроорганизмы имели достаточно времени для генетической адаптации к этим субстратам, их трансформации и деструкции.
Ферменты микроорганизмов, катализирующие биоразложение пестицидов, не должны обладать высокой специфичностью. В то же время субстрат не должен оказывать блокирующее действие на активную группу фермента. Ксенобиотик, как правило, способен индуцировать синтез фермента биодеградабельности, что определяется его сходством с естественным субстратом. Только этим можно объяснить, почему скорость биодеградации уменьшается, например, с увеличением числа атомов галоида в молекуле пестицида. Если ксенобиотик не способен к индукции фермента, то его деструкция будет происходить лишь при наличии в среде естественного индуктора.
Часто в почвенном микробоценозе индуцируется синтез ферментов, разлагающих как субстрат, так и образующийся при этом метаболит. Полная минерализация ксенобиотика осуществляется лишь в том случае, когда он атакуется биотой микробного сообщества, а не одного какого-то вида. Это объясняется тем, что ни один из видов микроорганизмов не содержит полного набора ферментов биодеградации. Возможность полной утилизации ксенобиотика в условиях микробного сообщества повышается и благодаря гораздо большему генетическому пулу различных ферментов. При этом успешнее осуществляется и передача (обмен) от клетки к клетке разно- образного генетического материала. Наиболее важным механизмом генного переноса является конъюгация, в процессе которой конъюгативные плазмиды переносятся от одной бактерии к другой. Такие плазмиды способны преодолевать генетические барьеры 2-х разных видов и тем самым обеспечивать себе более широкий круг хозяев. Плазмида, кодирующая ДНК, должна встроиться в хромосому реципиента, после чего появляется возможность репликации или передачи наследственной информации для синтеза фермента биодеградации. В последнее время мы являемся свидетелями того, как генная инженерия добилась новых неожиданных успехов: свойство устойчивости микробной клетки к гербицидам сейчас оказывается возможным передавать высшим растениям и тем самым конструировать такие сорта ценнейших злаковых культур (например, пшеницы), которые оказываются устойчивыми к действию гербицидов. Нет сомнения в том, что в недалеком будущем мы научимся конструировать in situ и ассоциации микроорганизмов-деструкторов, способные очищать почвы и другие элементы ландшафта от остатков самых стойких органических пестицидов. В условиях закрытых экосистем успешность подобного подхода неоднократно демонстрировали. При этом, очевидно, речь должна идти не о замене естественных почвенных микробных ценозов искусственными, а о внедрении в геном обычных микробных клеток носителей наследственной информации (плазмид, транскозонов и др.), кодирующей свойство продуцировать ферменты биодеградации в ответ на содержание в окружающей среде разнообразных органических поллютантов.
About the authors
V. N. Bashkin
Institute of Physicochemical and Biological Problems of Soil Science, RAS
Author for correspondence.
Email: vladimirbashkin@yandex.ru
Russian Federation, ul. Institutskaya 2, Moscow region, Pushchino 142290
R. A. Galiulina
Institute of Fundamental Problems of Biology RAS
Email: vladimirbashkin@yandex.ru
Russian Federation, ul. Institutskaya 2, Moscow region, Pushchino 142290
References
- Башкин В.Н., Галиулина Р.А. Оценка риска загрязнения окружающей среды и биологических субстратов человека пестицидом ДДТ и его метаболитами // Проблемы анализа риска. 2023. Т. 20. № 4. С. 28–42. doi: 10.32686/1812-5220-2023-20-4-28-42
- Евстафьева Е.В. Современные аспекты экологической медицины: теория и практика на Крымском полуострове. М.: Научн.-изд. центр “ИНФРА-М”, 2023, 251 с.
- Галиулина Р.А., Галиулин Р.В. Реконструкция загрязнения почв и поверхностных вод инсектицидами ДДТ и ГХЦГ по данным их мониторинга // Агрохимия,. 2004. № 4. С. 73–77.
- Соколов М.С., Галиулин Р.В. Микробиологическое самоочищение почвы от пестицидов. Обзор. информ. М.: ВНИИТЭИ, 1987. 51 с.
- Bashkin V.N. Modern biogeochemistry: environmental risk assessment, 2d ed. Springer Publishers, 2006. 444 p.
- Башкин В.Н. Биогеохимия. М.: Научный мир, 2004, 582 с.
- Galiulin R.V., Bashkin V.N., Galiulina R.А., Birch P. The theoretical basis of microbiological transformation and degradation of pesticides in soil // Land Contam. Reclamat. 2001. V. 9. № 4. P. 367–376.
- Holden P.A., Firestone M.K. Soil microorganisms in soil cleanup: how can we improve our understanding? // J. Environ. Qual. 1997. V. 26. № 1. P. 32–40.
- Головлева Л.А., Головлев Е.Л. Микробиологическая деградация пестицидов // Усп. микробиол. 1980. Т. 15. С. 137–179.
- Purnomo Adi Setyo, Rizqi Hamdan Dwi, Fatmawati Sri, Putro Herdayanto Sulistyo, Kamei Ichiro. Effects of bacterium Ralstonia pickettii addition on DDT biodegradation by Daedalea dickinsii // Res. J. Chem. Environ. 2018. V. 22 (Special Issue II). № 8. Р. 151–156.
- Purnomo A.S., Kamei I., Kondo R. Degradation of 1,1,1-trichlro-2,2-bis (4-chlorophenyl) ethane (DDT) by brown-rot fungi // J. Biosci. Bioeng. 2008. V. 105. P. 614–621.
- Purnomo A.S., Mori T., Takagi K., Kondo R. Bioremediation of DDT contaminated soil using brown-rot fungi // Inter. Biodet. Biodeg. 2011. V. 65. P. 691–695.
- Purnomo A.S., Mori T., Kamei I., Kondo R. Basic studies and applications on bioremediation of DDT: A review // Inter. Biodet. Biodeg. 2011. V. 65. P. 921–930.
- Purnomo A.S., Ashari K., Hermansyah F.T. Evaluation of the synergistic effect of mixed cultures of White-Rot Fungus Pleurotus ostreatus and biosurfactant producing bacteria on DDT biodegradation // J. Microbiol. Biotechnol. 2017. V. 27. P. 1306–1315.
- Purnomo A.S., Ashari K.A., Hermansyah F.T. Evaluation of the synergistic effect of mixed cultures of white-rot fungus Pleurotus ostreatus and biosurfactant-producing bacteria on DDT biodegradation // J. Microbiol. Biotechnol. 2017. V. 27. № 7. P. 1306–1315. doi: 10.4014/jmb.1701.01073
- Purnomo A.S. Pengaruh penambahan Bacillus subtilis pada biodegradasi DDT oleh Phlebia brevispora // Akta Kimindo. 2017. № 2. P. 58–65.
- Wahyuni S., Suhartono M.T., Khaeruni A., Purnomo A.S., Holilah A., Riupassa P.A. Purification and characterization of thermostable chitinase from Bacillus SW42 for chitin oligomer production // Asian J. Chem. 2016. V. 28. P. 2731–2736. doi: 10.1007/s12010-008-8328-7
- Wahyuni S., Khaeruni A., Purnomo A.S., Holilah A. Characterization of mannanase isolated from corncob waste bacteria // Asian J. Chem. 2017. V. 29. P.1119–1120. doi: 10.14233/ajchem.2017.20437
- Parthipan P., Preetham E., Machuca L.L., Rahman P.K.S.M., Murugan K., Rajasekar A. Biosurfactant and degradative enzymes mediated crude oil degradation by bacterium Bacillus subtilis A1 // Front. Microbiol. 2017. V. 8. P. 193. doi: 10.3389/fmicb.2017.00193
- Mwangi K., Boga H.I., Muigai A.W., Kiiyukia C., K. Tsanuo M. Degradation of dichlorodiphenyltrichloroethane (DDT) by bacterial isolates from cultivated and uncultivated soil // Afric. J. Microbiol. Res. 2010. V. 4. № 3. P. 185–196.
- Chen M., Cao F., Li F., Liu Ch., Tong H., Wu W., Hu M. Anaerobic transformation of DDT related to iron(III) reduction and microbial community structure in paddy soils // J. Agric. Food Chem. 2013. V. 61. P. 2224−2233. doi: 10.1021/jf305029p
- Fairchild J.F., Ruessler D.S., Carlson A.R. Comparative sensitivity of five species of macrophytes and six species of algae to atrazine, metribuzin, alachlor, and metolachlor // Environ. Toxicol. Chem. 1998. V. 17. № 9. P. 1830–1834.
- Домрачева Л.И., Кондакова Л.В., Ашихмина Т.Я., Огородникова С.Ю., Олькова А.С., Фокина А.И. Применение тетразольно-топографического метода определения нитрогеназной активности цианобактерий в загрязненных средах // Теор. и прикл. экол. 2008. № 2. С. 23–28.
- Домрачева Л.И., Ашихмина Т.Я., Кондакова Л.В., Березин Г.И. Реакция почвенной микробиоты на действие пестицидов (обзор) // Теор. и прикл. экол. 2012. № 3. С. 4–18.
- Sousa J.P., Rodrigues J.M.L., Loureiro S., Soares A.M.V.M., Jones S.E., Forster B., van Gestel C.A.M. Ring-testing and field-validation of a Terrestrial Model Ecosystem (TME) – an instrument for testing potential lyharmful substances: effects of carbendazim on soil microbial parameters // Ecotoxicology. 2004. V. 13. № 1. P. 43–60.
- Veeh R.H., Inskeep W.P., Camper A.K. Soil depth and temperature effects on microbial degradation of the 2,4-D // J. Environ. Qual. 1996. V. 25. № 1. P. 5–12.
- Галиулин Р.В. Оценка поведения гербицида 2,4-Д в системе почва–вода–донные отложения в модельных условиях // Агрохимия. 2000. № 7. С. 65–71.
- Сергеева H.P., Соколов M.C., Васильева Г.К. Ускорение разложения 3,4-дихлоранилина в рыбоводных прудах с помощью бактерий // Агрохимия. 1998. № 4. С. 84–90.
- Круглов Ю.В. Распределение микроорганизмов в почве при обработке пестицидами // Тр. ВНИИСХМ. 1983. Т. 52. С. 32–36.
- Samson R., Cseh T., Hawar, J. Biotechnologies appliquees a la restauration de sites contamines avec exemple d’application d’une technique physico–chimique et biologique pour les sols contamines par des BPC // Sci. Tech. Eau. 1990. V. 23. № 1. P. 15–23.
- Houx N.W.H., Aben W.J.M. Bioavailability of pollutants to soil organisms via the soil solution // Sci. Total Environ. 1993. Рart 1. P. 387–395.
- Khmelevtsova L.E., Sazykin I.S., Azhogina, T.N., Sazykina M.A. Influence of agricultural practices on bacterial community of cultivated soils // Agriculture. 2022. V. 12. № 3. P. 371–392.
- Gomiero T., Pimentel D., Paoletti M.G. Environmental impact of different agricultural management practices: conventional vs. organic agriculture // Critic. Rev. Plant Sci. 2011. V. 30. № 1–2. P. 95–124.
- Yang L., Barnard R., Kuzyakov Y., Tian J. Bacterial communities drive the resistance of soil multifunctionality to land-use change in karst soils // Europ. J. Soil Biol. 2021. V. 104. P. 103313–103322.
- Ажогина Т.Н., Климова М.В., Карчава Ш.К., Хмелевцова Л.Е. Влияние пестицидов и минеральных удобрений на бактериальное сообщество возделываемых почв // Мат-лы Всерос. конф. молод. ученых “Экология: факты, гипотезы, модели”, посвящ. Международ. году фундамент. наук 18–22 апреля 2022 г. С. 5–7.
- Khmelevtsova L., Konstantinova E., Karchava S., Klimova M., Azhogina T., Polienko E., Khammami M., Sazykin I., Sazykina M. Influence of pesticides and mineral fertilizers on the bacterial community of arable soils under pea and chickpea crops // Agronomy. 2023. V. 13. Р. 750. doi: 10.3390/agronomy13030750
- Sharma N., Singhvi R. Effects of chemical fertilizers and pesticides on human health and environment: a review // Inter. J. Agricult. Environ. Biotechnol. 2017. V. 10. № 6. P. 675–679. doi: 10.5958/2230-732X.2017.00083.3
- Alcock R., Bashkin V. Health risk of persistent organic pollutants from long-range transboundary air pollution. WHO, 2003. 252 p.
- Башкин В.Н. Стойкие органические поллютанты: оценка риска при трансграничном переносе и биотрансформации // Пробл. анализа риска. 2024. Т. 21. № 1. С. 11–25. doi: 10.32686/1812-5220-2024-21-1-11-25
Supplementary files







