Agromeliorative Methods of Preserving Fertility of Chernozem Soils of Fruit Plantations under Conditions of Irrigation with Mineralized Water
- Authors: Fomenko T.G.1, Popova V.P.1, Yaroshenko O.V.1, Arutyunyan Z.V.1
-
Affiliations:
- North Caucasus Federal Scientific Center for Horticulture, Viticulture, Winemaking
- Issue: No 10 (2024)
- Pages: 23-31
- Section: Soil Fertility
- URL: https://bakhtiniada.ru/0002-1881/article/view/271573
- DOI: https://doi.org/10.31857/S0002188124100033
- EDN: https://elibrary.ru/ANSPUZ
- ID: 271573
Cite item
Full Text
Abstract
The effectiveness of agro-reclamation techniques for preserving the fertility of chernozem soils of fruit plantations under conditions of irrigation with mineralized waters in the conditions of the steppe zone of fruit growing in the Krasnodar Territory in irrigated intensive plantations of apple varieties of winter ripening on a low-growing rootstock M9 was studied. The effect of the use of chemical meliorants (phosphogypsum), soil mulching, application of water-soluble organo-mineral fertilizers through a drip irrigation system and a combination of these agricultural techniques on the basic agrochemical and physico-chemical properties of ordinary chernozem was studied. In fruit plantations, with drip irrigation with mineralized waters, the use of a complex of agro-reclamation techniques contributed to the normalization of the reaction of the soil environment, a decrease in the accumulation of water-soluble sodium salts in the root layer of ordinary chernozem by 39.7%, a decrease in the content of exchangeable sodium in the zone of local soil moisture by 33–34%, an increase in the content of mobile phosphorus in the soil under droppers by 18.9% compared with traditional zonal cultivation technology.
Full Text
ВВЕДЕНИЕ
Территория Кубано-Приазовской низменности характеризуется в основном как зона недостаточного и неустойчивого увлажнения. Основные источники воды для полива сельскохозяйственных культур отличаются преимущественно неудовлетворительным качеством. Воды степных рек имеют высокую минерализацию, по мере продвижения на север Краснодарского края минерализация их увеличивается. Воды артезианских скважин содержат меньше солей, но со значительным преобладанием катионов натрия (50% и более от суммы катионов), а в некоторых случаях отмечено наличие сероводорода. Нехватка водных ресурсов в регионе вынуждает использовать оросительные воды с повышенной минерализацией.
В условиях юга России получение стабильных урожаев плодов высокого качества возможно в условиях достаточной водообеспеченности. Применение фертигации оказывает положительное влияние на продуктивность и формирование товарной продукции [1, 2].
Однако установлено, что продолжительное увлажнение черноземных почв при капельном орошении в садах, особенно с использованием воды с высоким содержанием вредных солей, снижает уровень их плодородия [3, 4]. Длительное орошение обусловливает увеличение щелочности почв, накопление токсичных солей, вымывание кальция, нарастание процесса осолонцевания, нарушение равновесия ионов в почвенно-поглощающем комплексе (ППК), сокращение численности микроорганизмов основных эколого-функциональных групп и подавление ферментативной активности почв [5–9].
Для устранения негативного воздействия капельного орошения минерализованными водами требуются научно обоснованные агромелиоративные приемы сохранения свойств черноземных почв. При возделывании плодовых насаждений наиболее распространенные агромелиоративные приемы – это применение химических мелиорантов, удобрительно-мелиорирующих компостов, органических удобрений, мульчирование почвы, внесение через систему капельного орошения водорастворимых органоминеральных и кальцийсодержащих удобрений.
Одним из важных агромелиоративных мероприятий повышения плодородия засоленных почв является внесение фосфогипса [10]. Применение химического мелиоранта способствует замещению обменного натрия на кальций, что обеспечивает улучшение физико-химических свойств засоленных почв, их оструктуренность, водопроницаемость и микробиологическую активность [11–13]. Достаточно эффективно применение мелиорирующих компостов на основе фосфогипса, глауконита и органического удобрения (птичьего помета), использование которых способствует снижению солонцеватости почвы и оптимизации физических свойств деградированного чернозема [14].
Мульчирование растительными остатками обеспечивает сохранение продуктивной влаги в корнеобитаемом слое почвы, оптимизацию температурного режима, улучшение структуры почвы и сохранение биоразнообразия почвенной биоты [15]. Мульчирование почвы сокращает испарение воды с ее поверхности и снижает вторичное засоление за счет регулирования вертикального распределения солей [16]. Установлено, что совместное внесение гипса в сочетании с различными органическими материалами или полезными микроорганизмами оказывает более эффективное воздействие на мелиорацию засоленных почв, чем использование отдельных агроприемов [17, 18].
Удобрение сельскохозяйственных культур является одним из источников повышения концентрации водорастворимых солей в почве, поэтому на засоленных почвах рекомендуется избегать чрезмерного внесения питательных веществ и выбирать удобрения высокой чистоты, не содержащие хлоридов [19]. Отмечено, что внесение удобрений через систему капельного орошения (фертигация) может смягчить последствия солевого стресса, поскольку повышает эффективность использования удобрений, увеличивает доступность питательных веществ и позволяет контролировать их подачу в соответствии с потребностями растений [20, 21].
Несмотря на крайнюю необходимость применения приемов воспроизводства почвенного плодородия в условиях орошения минерализованными водами, до последнего времени системных исследований эффективности применения агромелиоративных приемов в плодовых насаждениях не проводили. В связи с вышеизложенным, цель работы – разработка комплекса агромелиоративных приемов по сохранению и воспроизводству почвенного плодородия черноземной почвы плодовых насаждений в условиях орошения минерализованными водами.
МЕТОДИКА ИССЛЕДОВАНИЯ
Объектами исследования являлись черноземы обыкновенные мощные слабогумусные легкоглинистые и насаждения яблони сортов зимнего срока созревания Брэбвэл и Гала в степной зоне плодоводства Краснодарского края (ОА “Трудовое”). Капельное орошение насаждений яблони осуществляли со времени закладки сада.
Перед закладкой опыта был осуществлен отбор почвенных проб по проекции кроны в слое 0–30 см почвы. Почвы плодовых насаждений характеризовались слабощелочной реакцией почвенный среды (рНН2О 8.35 ед.), средним уровнем обеспеченности органическим веществом (3.45%), низким содержанием нитратного азота (5.3 мг/кг), средней обеспеченностью подвижным фосфором (27.6 мг/кг) и повышенной – обменным калием (394 мг/кг).
Воду для орошения насаждений яблони использовали из р. Сосыка (табл. 1).
Таблица 1. Химический состав поливной воды, использованной для капельного орошения насаждений яблони (сентябрь 2020 г.)
Показатель | Величина | |
рН | 6.96 | |
Удельная электропроводность, мСм/см | 6.43 | |
Ионный состав | мг-экв/л | мг/л |
ионы бикарбоната (НСО3–) | 4.70 | 287 |
ионы хлорида (Cl) | 5.20 | 184 |
ионы сульфата (SO4) | 69.60 | 3340 |
ионы кальция (Са2+) | 14.90 | 298 |
ионы магния (Мg2+) | 30.70 | 374 |
ионы натрия (Nа+) | 33.90 | 780 |
Сумма солей, г/л | 5.26 | |
Установлено высокое содержание водорастворимых солей в воде – 5.26 г/л, превышающее допустимый уровень для полива сельскохозяйственных культур. Следует отметить повышенное содержание ионов натрия – 42.7% от суммы катионов. Показатель натрий-адсорбционного соотношения указывал на очень высокую вероятность осолонцевания почв при регулярном орошении (SAR = 21.3).
В летний период капельное орошение проводили каждые 2–3 сут с поливной нормой 30–35 м3/га. В среднем за вегетационный период проведено от 36 до 44 капельных полива (в течении 2021–2022 гг.). Поливы назначали по результатам оценки влажности почвы термостатно-весовым методом при отборе почвенных образцов между капельницами. Влажность почвы в пределах контуров увлажнения поддерживали на уровне 80% НВ. Поливные нормы сокращали за 1 мес. до созревания плодов и влажность почвы поддерживали на уровне 65–70% НВ. Норма внесения удобрений при фертигации составила N21P40K16 в течение вегетационного периода.
Опыт по изучению влияния агроприемов, направленных на нивелирование воздействия минерализованных поливных вод на свойства орошаемых черноземных почв, включал следующие опытные варианты: 1 – контроль (без применения агромелиоративных приемов), 2 – внесение фосфогипса, 3 – мульчирование почвы приствольных полос, 4 – внесение фосфогипса с последующим мульчированием, 5 – применение удобрения Супернат 93 через систему капельного орошения, 6 – внесение фосфогипса с последующим мульчированием и применением удобрения Супернат 93.
Внесение фосфогипса проводили в фазе распускания плодовых почек яблони в дозе 5 т/га разбросным способом в приствольную полосу плодовых насаждений. Для мульчирования почвы приствольных полос использовали солому слоем 15 см. Внесение водорастворимого органического удобрения Супернат 93 на основе гуминовых кислот (68.7%) и фульвокислот (24%) осуществляли через систему капельного орошения. За вегетационный период проведено 3 внесения в дозе по 5 л/га, первое – в фазе выдвижения бутонов и далее с интервалом в 21 сут.
Почвенные пробы отбирали в 2 срока: размер плода яблони “грецкий орех” и окончание вегетационного периода агрохимическим буром в слоях- 0–30, 30–60 см непосредственно под капельницами, а также на расстоянии 20 см и 40 см от точки падения раствора питательных веществ по направлению к центру междурядий.
Лабораторные исследования выполняли в научном центре агрохимии и почвоведения СКФНЦСВВ на основе приборной базы Центра коллективного пользования “Приборно-аналитический”. В почвенных образцах определяли реакцию почвенной среды (pHН2О) по ГОСТ 26423-85, удельную электропроводность почвы (EC1:5) – по ГОСТ 26423-85, содержание водорастворимых ионов хлорида и ионов натрия – с помощью ионоселективных электродов в водной суспензии при соотношении почва : раствор = 1 : 5, содержание обменного натрия – по ГОСТ 26950-86, содержание нитратов – ионометрическим методом по ГОСТ 26951-86, подвижных соединений фосфора и калия – по методу Мачигина в модификации ЦИНАО по ГОСТ 26205-91.
РЕЗУЛЬТАТЫ И ИХ ОБСУЖДЕНИЕ
Применение фосфогипса в ранневесенний период не оказало продолжительного эффекта на изменение показателей реакции почвенной среды (рис. 1).
Рис. 1. Влияние агроприемов на изменение реакции почвенной среды орошаемого чернозема обыкновенного.
Реакция почвенной среды в слое 0–30 см почвы в фазе интенсивного роста плодов спустя 2.5 мес. после внесения мелиоранта характеризовалась как слабощелочная (рНН2О 8.02–8.09), что было близко к контрольному варианту (рНН2О 8.06–8.16). Внесение фосфогипса в ранневесенний период с последующим мульчированием почвы соломой способствовало более продолжительному действию фосфогипса на почвенный раствор в верхнем слое 0–30 см почвы. В летний период в зоне увлажнения реакция почвенной среды была меньше контроля на 2.0–5.5% и составила рНН2О = 7.71–7.91.
В конце вегетационного периода во всех опытных вариантах отмечена тенденция к увеличению показателей реакции почвенной среды в увлажненной почве под капельницами (рНН2О 8.21–8.51). Связано это в большей степени с увеличением содержания обменного магния и натрия.
Существенной разницы между опытными вариантами в изменении реакции почвенной среды в слое 30–60 см почвы не установлено. К окончанию вегетационного периода отмечена тенденция к снижению реакции почвенной среды, особенно в образцах почвы, отобранных на расстоянии 20 см от капельниц (рНН2О 7.90–7.99) за счет значительного накопления вредных нейтральных солей.
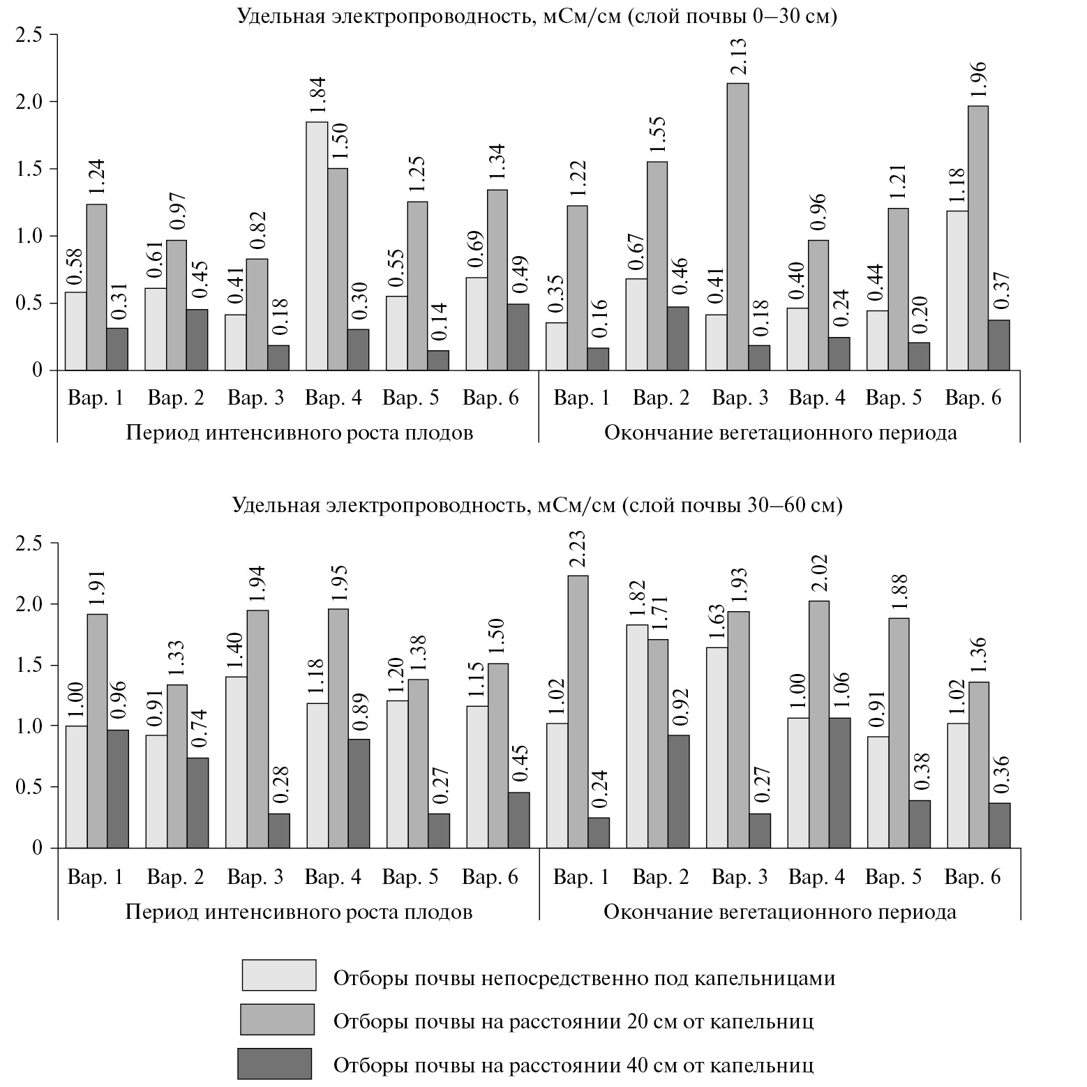
Использование поливной воды с высоким содержанием вредных солей привело к накоплению водорастворимых солей в зоне локального увлажнения почвы плодовых насаждений. В варианте с внесением фосфогипса с последующим мульчированием за счет более длительного сохранения мелиоранта показатель удельной электропроводности почвы (EC1:5) в слое 0–30 см почвы был больше, чем в других вариантах, и составил 1.84 мСм/см под капельницами (рис. 2).
Рис. 2. Влияние агроприемов на изменение удельной электропроводности орошаемого чернозема обыкновенного.
В середине вегетационного периода в варианте мульчирования почвы зафиксированы самые низкие показатели удельной электропроводности поч-вы (0.18–0.82 мСм/см). Можно предположить, что мульчирование почвы приствольных полос плодовых насаждений в засушливый летний период способствовало меньшему локальному накоплению водорастворимых солей в поверхностном слое почвы за счет уменьшения испарения воды с поверхности почвы и миграции солей за пределы основного корнеобитаемого слоя. Однако по окончании вегетационного периода наибольшее содержание водорастворимых солей на границе контура увлажнения почвы отмечено именно в варианте с мульчированием почвы (EC1:5 = 2.13 мСм/см), что, вероятно, было обусловлено более слабым вымыванием водорастворимых солей при выпадении осадков в осенний период.
Существенного влияния агроприемов на содержание хлорид-ионов в почве не выявлено. В слое 0–30 см их содержание на протяжении вегетационного периода во всех опытных вариантах было невысоким и составляло 0.037–0.092 мг-экв/100 г (табл. 2).
Таблица 2. Влияние агроприемов на содержание водорастворимых ионов хлорида и натрия в орошаемом черноземе обыкновенном (отбор почвы на расстоянии 20 см от капельниц)
Вариант | Хлорид-ионы | Ионы натрия | ||
мг-экв/100 г | ||||
Слои почвы | ||||
0–30 см | 30–60 см | 0–30 см | 30–60 см | |
Период интенсивного роста плодов | ||||
1 | 0.092 | 0.066 | 1.855 | 3.972 |
2 | 0.061 | 0.042 | 1.498 | 2.604 |
3 | 0.065 | 0.056 | 0.671 | 3.157 |
4 | 0.037 | 0.041 | 1.452 | 3.226 |
5 | 0.038 | 0.034 | 1.244 | 2.764 |
6 | 0.049 | 0.050 | 1.118 | 2.535 |
Окончание вегетационного периода | ||||
1 | 0.068 | 0.173 | 1.722 | 5.059 |
2 | 0.090 | 0.165 | 2.071 | 3.769 |
3 | 0.074 | 0.148 | 1.806 | 4.803 |
4 | 0.064 | 0.128 | 1.707 | 3.175 |
5 | 0.073 | 0.112 | 1.889 | 4.547 |
6 | 0.047 | 0.086 | 1.621 | 2.622 |
Примечание. Варианты: 1 – контроль (без применения агромелиоративных приемов), 2 – внесение фосфогипса, 3 – мульчирование почвы приствольных полос, 4 – внесение фосфогипса с последующим мульчированием, 5 – применение удобрения Супернат 93 через систему капельного орошения, 6 – внесение фосфогипса с последующим мульчированием и применением удобрения Супернат 93.
В середине вегетационного периода в опытном варианте с применением мульчирования почвы зафиксировано наименьшее содержание ионов натрия – 0.671 мг-экв/100 г, наибольшее – в контрольном варианте, 1.855 мг-экв/100 г. При окончании вегетационного периода наименьшая концентрация ионов натрия отмечена в варианте с применением фосфогипса с последующим мульчированием почвы и внесением через систему капельного орошения удобрения Супернат 93–1.621 мг-экв/100 г.
Выявлена значительная миграция водорастворимых солей в нижележащие слои почвы плодовых насаждений, что способствовало существенному увеличению содержания водорастворимых ионов натрия в слое 30 – 60 см по сравнению с поверхностным слоем почвы.
За счет содержания натрия в поливной воде увеличилось количество обменного натрия в зоне увлажнения почвы (рис. 3).
Рис. 3. Влияние агроприемов на содержание обменного натрия в орошаемом черноземе обыкновенном.
Внесение только мелиоранта не оказало заметного и продолжительного воздействия на снижение солонцеватости почвы, содержание обменного натрия в период интенсивного роста плодов было на уровне контроля. Применение фосфогипса и последующего мульчирования почвы способствовало снижению содержания обменного натрия на 36–38% в слое 0–30 см в зоне локального увлажнения почвы. Вариант применения фосфогипса с последующим мульчированием почвы и внесением через систему капельного орошения удобрения Супернат 93 также был эффективным и способствовал снижению содержания обменного натрия в почве на 33–34%. При окончании вегетационного периода различия между опытными вариантами были менее выраженными, при этом меньшая степень солонцеватости почвы под капельницами установлена в вариантах с применением мульчирования (варианты 3, 4, 6).
Установлено значительное увеличение солонцеватости почвы в слое 30–60 см. Следует отметить, что различия в содержании обменного натрия в образцах, отобранных в местах падения капель и на расстоянии 20 см к междурядьям сада, были менее выражены, что свидетельствовало об увеличении горизонтальной миграции водорастворимых солей в основном контуре увлажнения по сравнению с поверхностным слоем почвы. В вариантах с внесением удобрения на основе гуминовых и фульвокислот Супернат 93 содержание обменного натрия в слое 30–60 см было меньше, чем в других вариантах.
Примененные агромелиоративные приемы не оказали значительного влияния на изменение содержания нитратного азота в почве, уровень обеспеченности был преимущественно высоким (рис. 4).
Рис. 4. Изменение агрохимических свойств почв (содержания элементов питания) плодовых насаждений на фоне применения различных агромелиоративных приемов (слой почвы 0–30 см).
Интенсивное внесение азота в первой половине вегетационного периода увеличило содержание нитратного азота в почве непосредственно под капельницами во всех опытных вариантах. При окончании вегетационного периода содержание нитратов соответствовало в основном очень низкому и низкому уровню обеспеченности.
Содержание подвижного фосфора в середине вегетационного периода в местах локального внесения минеральных удобрений, согласно общепринятой группировке, соответствовало очень высокому уровню обеспеченности во всех опытных вариантах (143–178 мг/кг). Установлена тенденция к увеличению содержания фосфора в почве под капельницами в вариантах с применением фосфогипса (варианты 2, 4, 6), содержание которого увеличилось на 4.9–28.4 мг/кг. Наибольшее содержание подвижного фосфора установлено в варианте с применением фосфогипса с последующим мульчированием почвы и внесением удобрения Супернат 93 (178 мг/кг).
В середине вегетационного периода значительное увеличение содержания обменного калия установлено только в варианте с мульчированием почвы. Известно, что температура и влажность почвы оказывают непосредственное влияние на улучшение микробиологической активности почвы и, как результат, на повышение подвижности в почвенном растворе ионов калия [22]. Именно в этом варианте установлено наименьшее содержание водорастворимых солей в почве и более низкий уровень содержания обменного натрия. Совместное применение фосфогипса и мульчирования почвы не оказало значимого влияния на изменение обеспеченности обменным калием.
ЗАКЛЮЧЕНИЕ
Проблема деградации черноземных почв при многолетнем капельном орошении водами с содержанием вредных солей в плодовых насаждениях интенсивного типа остается весьма актуальной. Для нивелирования процесса деградации почв эффективным является применение комплекса агромелиоративных приемов, направленных на сохранение плодородия орошаемых минерализованными водами черноземных почв.
Внесение фосфогипса с последующим мульчированием почвы и использование при капельном орошении удобрения на основе гуминовых кислот и фульвокислот способствовало нормализации реакции почвенной среды, снижению накопления водорастворимых солей натрия в корнеобитаемом слое чернозема обыкновенного на 39.7%, уменьшению содержания обменного натрия в зоне локального увлажнения почвы на 33–34%, повышению содержания подвижного фосфора в почве под капельницами на 18.9% по сравнению с традиционной зональной технологией возделывания плодовых насаждений. Применение комплекса агроприемов обусловливало улучшение эколого-агрохимического состояния плодового ценоза и предотвращение деградации орошаемых черноземных почв.
About the authors
T. G. Fomenko
North Caucasus Federal Scientific Center for Horticulture, Viticulture, Winemaking
Author for correspondence.
Email: sad-fertigation@mail.ru
Russian Federation, ul. 40th Anniversary of Victory 39, Krasnodar 350901
V. P. Popova
North Caucasus Federal Scientific Center for Horticulture, Viticulture, Winemaking
Email: sad-fertigation@mail.ru
Russian Federation, ul. 40th Anniversary of Victory 39, Krasnodar 350901
O. V. Yaroshenko
North Caucasus Federal Scientific Center for Horticulture, Viticulture, Winemaking
Email: sad-fertigation@mail.ru
Russian Federation, ul. 40th Anniversary of Victory 39, Krasnodar 350901
Zh. V. Arutyunyan
North Caucasus Federal Scientific Center for Horticulture, Viticulture, Winemaking
Email: sad-fertigation@mail.ru
Russian Federation, ul. 40th Anniversary of Victory 39, Krasnodar 350901
References
- Фоменко Т.Г., Попова В.П., Белоусова К.В. Эффективность применения новых отечественных удобрений при фертигации в плодоносящих насаждениях яблони // Сад-во и виноград-во. 2019. № 2. С. 10–17.
- Aragüés R., Medina E.T., Martínez-Cob A., Faci J. Effects of deficit irrigation strategies on soil salinization and sodification in a semiarid drip-irrigated peach orchard // Agricult. Water Manag. 2014. V. 142. P. 1–9.
- Фоменко Т.Г., Попова В.П., Черников Е.А., Макарова А.А., Ярошенко О.В. Влияние многолетнего капельного орошения плодовых насаждений на трансформацию свойств черноземных почв // Почвоведение. 2022. № 9. С. 1154–1166.
- Клименко О.Е., Евтушенко А.П., Клименко Н.И. Изменение солевого состава почв при орошении солоноватыми водами в степном Крыму // Почвоведение. 2022. №. 12. С. 1557–1570.
- Щедрин В.Н. Влияние регулярного и циклического видов орошения на почвенное плодородие и продуктивность чернозема обыкновенного Азовской оросительной системы // Почвоведение. 2016. № 2. С. 249–256.
- Хитров Н.Б., Клименко О.Е., Роговнева Л.В., Дунаева Е.А., Попович В.Ф. Долговременные последствия орошения почв водами Северо-Крымского канала в садах // Тавр. вестн. аграрн. науки. 2017. № 1(9). С. 87–98.
- Бабичев А.Н., Докучаева Л.М., Юркова Р.Е. Факторы, усиливающие отрицательное воздействие длительного орошения на свойства чернозема обыкновенного // Мелиорац. и гидротехн. 2020. № 4(40). С. 1–22.
- Phogat V., Mahadevan M., Skewes M., Cox J.W. Modelling soil water and salt dynamics under pulsed and continuous surface drip irrigation of almond and implications of system design // Irrigat. Sci. 2012. V. 30. P. 315–333.
- Naydyonova O., Baliuk S. Biological degradation of chernozems under irrigation // Euras. J. Soil Sci. 2014. V. 3. P. 267–273.
- Некрасов Р.В., Шеуджен А.Х., Байбеков Р.Ф., Аканова Н.И., Шкуркин С.И. Агроэкономические и экологические аспекты химической мелиорации засоленных почв // Земледелие. 2021. № 8. С. 3–7.
- Фоменко Т.Г., Попова В.П., Черников Е.А. Влияние химической мелиорации на физико-химические свойства черноземных почв орошаемых плодовых питомников // Рос. сел.-хоз. наука. 2018. № 2. С. 44–49.
- Чевердин Ю.И., Титова Т.В., Беспалов В.А. Влияние химических мелиорантов на микробиологическую активность черноземно-луговых почв // Агрохимия. 2023. № 6. С. 12–21
- Годунова Е.И., Шаповалова Н.Н., Шкабарда С.Н., Хрипунов А.И. Состояние и пути повышения продуктивности орошаемых земель в Ставропольском крае // Плодородие. 2017. № 5. С. 44–47.
- Докучаева Л.М., Долина Е.В. Физические свойства чернозема обыкновенного после химической мелиорации удобрительно-мелиорирующими компостами // Научн. журн. Рос. НИИ проблем мелиорации. 2011. № 2. С. 9.
- Fang K., Li H., Wang Z., Du Y., Wang J. Comparative analysis on spatial variability of soil moisture underdifferent land use types in orchard // Sci. Horticulturae. 2016. V. 207. P. 65–72.
- Cuevas J., Daliakopoulos I. N., del Moral F., Hueso J.J., Tsanis I.K. A review of soil-improving cropping systems for soil salinization // Agronomy. 2019. V. 9. № 6. P. 295.
- Bello S.K., Alayafi A.H., Al-Solaimani S.G., Abo-Elyousr K.A. Mitigating soil salinity stress with gypsum and bio-organic amendments: A review // Agronomy. 2021. V. 11. № 9. P. 1735.
- Волкова Н.Е., Кременской В.И. Подходы к снижению негативных последствий использования слабо- и маломинерализованных вод в орошаемом земледелии // Мелиорац. и гидротехн. 2023. Т. 13. № 4. С. 224–242.
- Фоменко Т.Г., Попова В.П., Пестова Н.Г. Влияние локального применения удобрений и водных мелиораций на изменение параметров почв садовых ценозов и их продуктивность // Плод-во и виноград-во Юга России. 2015. № 33. С. 60–73.
- Machado R.M.A., Serralheiro R.P. Soil salinity: effect on vegetable crop growth. Management practices to prevent and mitigate soil salinization // Horticulturae. 2017. V. 3. № 2. P. 30.
- Фоменко Т.Г., Попова В.П., Черников Е.А., Дрыгина А.И., Лебедовский И.А., Узловатый Д.В., Мязина А.Н. Миграция биогенных элементов в черноземе типичном при фертигации плодовых насаждений // Агрохимия. 2021. № 3. С. 60–70.
- Kuzin A., Solovchenko A. Essential role of potassium in apple and its implications for management of orchard fertilization // Plants. 2021. V. 10, № 12. P. 2624.
Supplementary files





